Stress Evaluation of Welded Joints with Metal Magnetic Memory Testing Based on Tension–Compression Fatigue Test
Abstract
:1. Introduction
2. Experimental Procedure
2.1. Specimen Preparation
2.2. Experimental Instruments
2.3. Experimental Arrangement
3. Results and Discussion
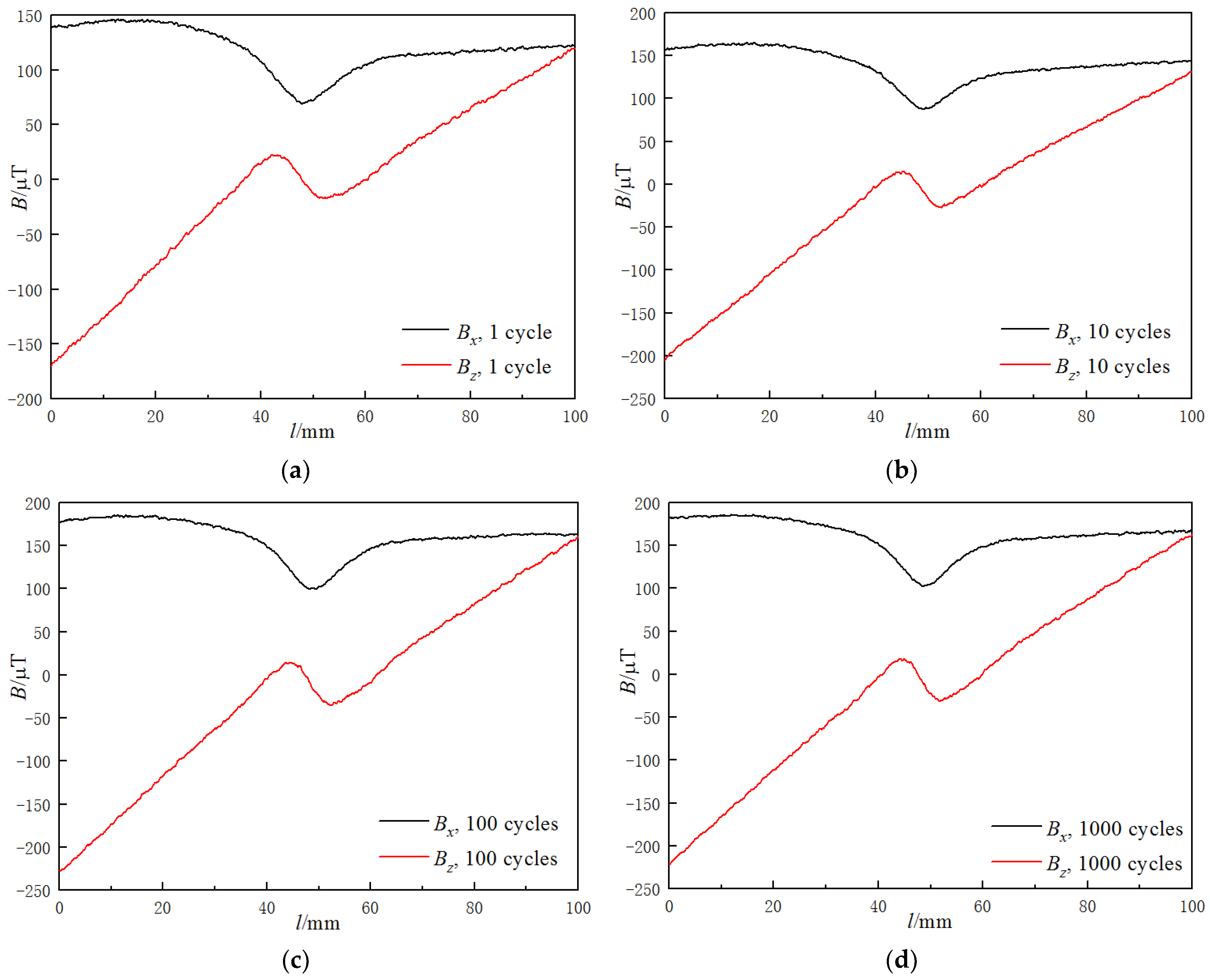
3.1. MMMT Signals Variation during Fatigue Test
3.2. Characteristics of MMMT Signals under Different Fatigue Stress
4. Conclusions
- (1)
- The Bx signal elevated upward, and the Bz signal rotated counterclockwise dramatically with an increase in the fatigue cycle number in the first few fatigue cycles; after that, both signals were stable with a little fluctuation.
- (2)
- When the welded joint is about to fracture (about 90% of the fatigue life in this work), the mean value of the Bx signal barely changes, while the peak value increases obviously, which can be used as a service status pre-warning for weld structures.
- (3)
- Fatigue stress of welded joints can be estimated and monitored by the mean value and peak value, i.e., and , of the Bx signal.
Author Contributions
Funding
Institutional Review Board Statement
Informed Consent Statement
Data Availability Statement
Conflicts of Interest
References
- Dubov, A. A study of metal properties using the method of magnetic memory. Met. Sci. Heat Treat. 1997, 39, 401–405. [Google Scholar] [CrossRef]
- Dubov, A. Screening of weld quality using the magnetic metal memory effect. Weld. World 1998, 41, 196–199. [Google Scholar]
- Shi, P.P.; Su, S.Q.; Chen, Z.M. Overview of Researches on the Nondestructive Testing Method of Metal Magnetic Memory: Status and Challenges. J. Nondestruct. Eval. 2020, 39, 43. [Google Scholar] [CrossRef]
- Bao, S.; Jin, P.; Zhao, Z.; Fu, M. A Review of the Metal Magnetic Memory Method. J. Nondestruct. Eval. 2020, 39, 11. [Google Scholar] [CrossRef]
- LI, Y.F.; Zeng, X.G.; Wei, L.M.; Wan, Q. Characterizations of damage-induced magnetization for X80 pipeline steel by metal magnetic memory testing. Int. J. Appl. Electromagn. Mech. 2017, 54, 23–35. [Google Scholar] [CrossRef]
- Singh, W.S.; Stegemann, R.; Kreutzbruck, M.; Mukhopadhyay, C.K.; Rao, B.P. Mapping of deformation-induced magnetic fields in carbon steels using a GMR sensor based metal magnetic memory technique. J. Nondestruct. Eval. 2018, 37, 352–358. [Google Scholar] [CrossRef]
- Fu, M.; Bao, S.; Lou, H. Characterization of Stress Concentration by Tangential Component Hp(x) of Metal Magnetic Memory Signals. J. Wuhan Univ. Technol. 2018, 33, 1486–1490. [Google Scholar] [CrossRef]
- Moonesan, M.; Kashefi, M. Effect of sample initial magnetic field on the metal magnetic memory NDT result. J. Magn. Magn. Mater. 2018, 460, 285–291. [Google Scholar] [CrossRef]
- Jung, G.J.; Seo, J.S.; Park, Y.W. Comparison between Magnetic Field Distribution Analysis and Metal Magnetic Memory (MMM) Testing Results Around Artificial Cracks under Loads. J. Magn. 2019, 24, 281–285. [Google Scholar] [CrossRef]
- Li, C.C.; Dong, L.H.; Wang, H.D.; Li, G.L.; Xu, B.S. Metal magnetic memory technique used to predict the fatigue crack propagation behavior of 0.45%C steel. J. Magn. Magn. Mater. 2016, 405, 150–157. [Google Scholar]
- Venkatachalapathi, N.; Jameel Basha, S.M.; Janardhan Raju, G.; Raghavulu, P. Charact-erization of fatigued steel states with metal magnetic memory metho. Mater. Today Proc. 2018, 5, 8645–8654. [Google Scholar] [CrossRef]
- Ni, C.; Hua, L.; Wang, X.K. Crack propagation analysis and fatigue life prediction for structural alloy steel based on metal magnetic memory testing. J. Magn. Magn. Mater. 2018, 462, 144–152. [Google Scholar] [CrossRef]
- Zhou, W.; Fan, J.C.; Ni, J.L.; Liu, S.J. Variation of magnetic memory signals in fatigue crack initiation and propagation behavior. Metals 2019, 9, 89. [Google Scholar] [CrossRef] [Green Version]
- Zhao, X.R.; Su, S.Q.; Wang, W.; Zhang, X.H. Metal magnetic memory inspection of Q345B steel beam in four point bending fatigue test. J. Magn. Magn. Mater. 2020, 514, 167155. [Google Scholar] [CrossRef]
- Xu, K.S.; Qiu, X.Q.; Tian, X.S. Theoretical investigation of metal magnetic memory testing technique for detection of magnetic flux leakage signals from buried defect. Nondestruct. Test. Eval. 2018, 33, 45–55. [Google Scholar] [CrossRef]
- Shi, P.P.; Hao, S. Analytical solution of magneto-mechanical magnetic dipole model f-or metal magnetic memory method. Acta Phys. Sin. 2021, 7, 034101. [Google Scholar] [CrossRef]
- Han, G.; Huang, H.H. A dual-dipole model for stress concentration evaluation basedon magnetic scalar potential analysis. NDT&E Int. 2021, 118, 102394. [Google Scholar] [CrossRef]
- Shi, P.P. Magneto-elastoplastic coupling model of ferromagnetic material with plastic deformation under applied stress and magnetic fields. J. Magn. Magn. Mater. 2020, 512, 166980. [Google Scholar] [CrossRef]
- Zhang, P.C.; Shi, P.P.; Jin, K.; Zheng, X.J. An anisotropic magneto-mechanical model of ferromagnetic materials for the magnetic memory testing method. J. Appl. Phys. 2019, 125, 233901. [Google Scholar] [CrossRef]
- Shi, P.P.; Zhang, P.C.; Jin, K.; Chen, Z.M.; Zheng, X.J. Thermo-magneto-elastoplastic coupling model of metal magnetic memory testing method for ferromagnetic materials. J. Appl. Phys. 2018, 123, 145102. [Google Scholar] [CrossRef]
- Liu, B.; Fu, Y.; Jian, R. Modeling and analysis of magnetic memory testing method based on the density functional theory. Nondestruct. Test. Eval. 2015, 30, 13–25. [Google Scholar] [CrossRef]
- Luo, X.; Zhu, H.Y.; Ding, Y.P. A modified model of magneto-mechanical effect on magnetization in ferromagnetic materials. Acta Phys. Sin. 2019, 68, 187501. [Google Scholar] [CrossRef]
- Yokoyama, K.; Miki, C. Participatory database of repair cases on fatigue damaged welded structures. Int. J. Fatigue 2009, 101 Pt 2, 385–396. [Google Scholar] [CrossRef]
- Pei, X.J.; Dong, P.S.; Xing, S.Z. A structural strain parameter for a unified treatment of fatigue behaviors of welded components. Int. J. Fatigue 2019, 124, 444–460. [Google Scholar] [CrossRef]
- Smith, A.T.; Schneider, C.R.; Bird, C.R.; Wall, M. Use of non-destructive testing for engineering critical assessment: Background to the advice given in BS 7910:2013. Int. J. Press. Vessel. Pip. 2019, 169, 153–159. [Google Scholar] [CrossRef]
- Dubov, A.; Kolokolnikov, S. Detection of local stress concentration zones in engineering products-the lacking link in the non-destructive testing system. Weld. Word 2018, 62, 301–309. [Google Scholar] [CrossRef]
- Kolokolnikov, S.; Dubov, A.; Medvedev, A.; Boriskin, D. Comprehensive inspection of refrigerated ammonia storage tank welded joints by the metal magnetic memory technique and conventional NDT methods. Weld. World 2020, 64, 1659–1670. [Google Scholar] [CrossRef]
- Kolokolnikov, S.M.; Steklov, O.I. Evaluation of the heterogeneity of the stress state of welded joints prior to and after heat treatment using the method of the magnetic memory of metal. Weld. Int. 2017, 31, 487–492. [Google Scholar] [CrossRef]
- Su, S.Q.; Zhao, X.R.; Wang, W.; Zhang, X.H. Metal Magnetic Memory Inspection of Q345 Steel Specimens with Butt Weld in Tensile and Bending Test. J. Nondestruct. Eval. 2019, 38, 64. [Google Scholar] [CrossRef]
- Huang, H.H.; Qian, Z.C.; Yang, C.; Han, G.; Liu, Z.F. Magnetic memory signals of ferr-omagnetic weldment induced by dynamic bending load. Nondestruct. Eval. 2017, 32, 166–184. [Google Scholar] [CrossRef]
- Xu, K.S.; Yang, K.; Liu, J.; Chen, X.Q.; Wang, Y. Investigation of Magnetic Memory Signal of Propagation of Buried Crack under Applied Load. Res. Nondestruct. Eval. 2021, 32, 1–9. [Google Scholar] [CrossRef]
- Dong, L.H.; Xu, B.S.; Dong, S.Y.; Li, S.; Chen, Q.Z. Stress dependence of the spontaneous stray field signals of ferromagnetic steel. NDT E Int. 2009, 42, 323–327. [Google Scholar] [CrossRef]
- Cullity, E.D. Introduction to Magnetic Materials; Addison-Wesley: New York, NY, USA, 1972. [Google Scholar]
- Jiles, D.C. Theory of the magnetomechanical effect. J. Phys. D Appl. Phys. 1999, 28, 1537–1546. [Google Scholar] [CrossRef]








| Brand | C | Si | Mn | P | S | Cr | Ni | Mo | Cu | Ti |
|---|---|---|---|---|---|---|---|---|---|---|
| Optim 900QC steel | 0.091 | 0.27 | 1.8 | 0.009 | 0.002 | 1.11 | 0.08 | 0.152 | - | - |
| CARBOFIL NiMoCr | 0.096 | 0.41 | 1.34 | 0.0078 | 0.014 | 0.23 | 1.0 | 0.2 | 0.1 | 0.0021 |
| Brand | Yield Strength/MPa | Ultimate Strength/MPa | Elongation/% |
|---|---|---|---|
| Optim 900QC steel | 960 | 1107 | 11 |
| CARBOFIL NiMoCr | ≥690 | 900 | ≥17 |
| Weld Seam | Current/A | Voltage/V | Gas Flow/L·min−1 |
|---|---|---|---|
| Backing weld | 100~110 | 19~20 | 15 |
| Capping weld | 180~200 | 22~24 | 15 |
| Specimen 1 | Specimen 2 | Specimen 3 | Specimen 4 | |
|---|---|---|---|---|
| 0.9919 | 0.9728 | 0.9684 | 0.9757 | |
| 0.8846 | 0.8289 | 0.8828 | 0.9132 |
Publisher’s Note: MDPI stays neutral with regard to jurisdictional claims in published maps and institutional affiliations. |
© 2022 by the authors. Licensee MDPI, Basel, Switzerland. This article is an open access article distributed under the terms and conditions of the Creative Commons Attribution (CC BY) license (https://creativecommons.org/licenses/by/4.0/).
Share and Cite
Wang, H.; Xu, Z.; Cai, D.; Dong, L.; Ma, G.; Wang, H.; Liu, B. Stress Evaluation of Welded Joints with Metal Magnetic Memory Testing Based on Tension–Compression Fatigue Test. Materials 2022, 15, 3103. https://doi.org/10.3390/ma15093103
Wang H, Xu Z, Cai D, Dong L, Ma G, Wang H, Liu B. Stress Evaluation of Welded Joints with Metal Magnetic Memory Testing Based on Tension–Compression Fatigue Test. Materials. 2022; 15(9):3103. https://doi.org/10.3390/ma15093103
Chicago/Turabian StyleWang, Huipeng, Zhiwei Xu, Dongwei Cai, Lihong Dong, Guozheng Ma, Haidou Wang, and Bin Liu. 2022. "Stress Evaluation of Welded Joints with Metal Magnetic Memory Testing Based on Tension–Compression Fatigue Test" Materials 15, no. 9: 3103. https://doi.org/10.3390/ma15093103
APA StyleWang, H., Xu, Z., Cai, D., Dong, L., Ma, G., Wang, H., & Liu, B. (2022). Stress Evaluation of Welded Joints with Metal Magnetic Memory Testing Based on Tension–Compression Fatigue Test. Materials, 15(9), 3103. https://doi.org/10.3390/ma15093103
