The Role of Cold Rolling Reduction on the Microstructure and Mechanical Properties of Ultra-Low Carbon Bainitic Steel
Abstract
:1. Introduction
2. Materials and Methods
2.1. Material Preparation
2.2. Materials Characterization
2.3. Mechanical Properties Measurement
3. Results
3.1. Mechanical Properties
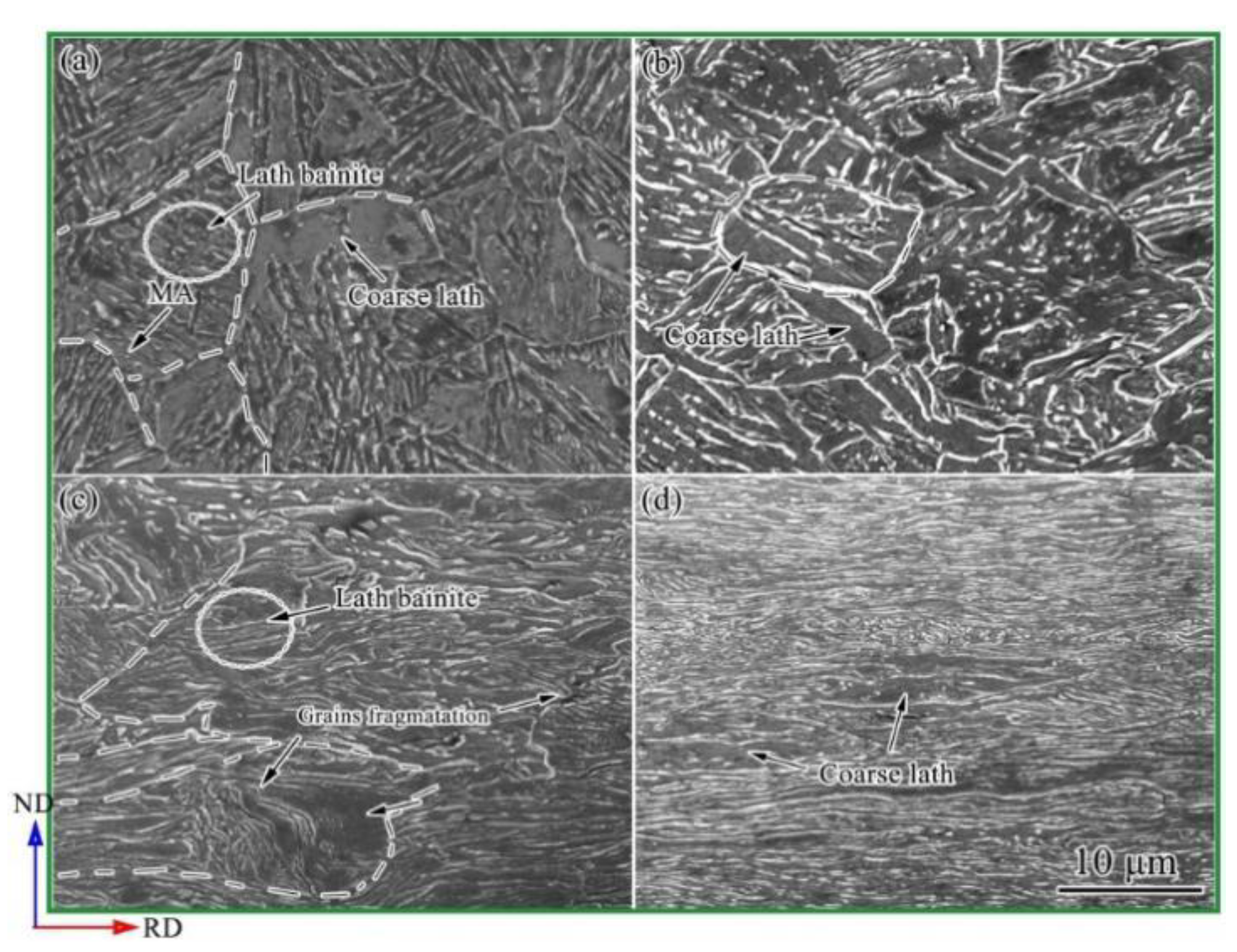
3.2. Microstructure
3.3. EBSD Observations
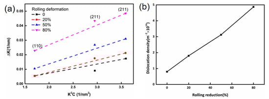
3.4. XRD Characterization
4. Discussion
4.1. Effect of Microstructure Evolution on Mechanical Properties
4.2. Effect of Dislocation Density Evolution on Mechanical Properties
4.3. Texture Analysis
4.4. Strength Analysis
5. Conclusions
- (1)
- With the cold rolling reduction increased to 80%, the microstructure was refined, and the lath width decreased from 601 nm to 252 nm. The UTS and YS increased from 812 MPa and 683 MPa to 1195 MPa and 1150 MPa, respectively, while the elongation decreased from to 15.9% to 7.9%.
- (2)
- With cold rolling reduction ratios increasing, the local stress distribution was not significantly more uniform. The dislocation density increased from 8.3 × 1013 m−2 to 4.87 × 1014 m−2 and a stronger γ-fiber texture was obtained at the 80% cold rolling reduction ratio.
- (3)
- The yield strength of UCBS increased mainly due to boundary strengthening and dislocation strengthening. The theoretical yield strength increment is based on the two strengthening mechanisms which agree with the experimental measurements.
Author Contributions
Funding
Institutional Review Board Statement
Informed Consent Statement
Data Availability Statement
Acknowledgments
Conflicts of Interest
References
- Ghorabaei, A.S.; Ahmadabadi, M.N. Effects of prior austenite grain size and phase transformation temperature on bainitic ferrite formation in multi-constituent microstructures of a strong ultra-low-carbon steel. Mater. Sci. Eng. A 2021, 815, 141300. [Google Scholar] [CrossRef]
- Nathan, S.R.; Balasubramanian, V.; Malarvizhi, S.; Raol, A.G. Effect of welding processes on mechanical and microstructural characteristics of high strength low alloy naval grade steel joints. Def. Technol. 2015, 11, 308–317. [Google Scholar] [CrossRef]
- Nathan, S.R.; Balasubramanian, V.; Malarvizhi, S.; Raol, A.G. Failure analysis of tungsten based tool materials used in friction stir welding of high strength low alloy steels. Eng. Fail. Anal. 2016, 66, 88–98. [Google Scholar] [CrossRef]
- Jain, D.; Isheim, D.; Hunter, A.H.; Seidman, D.N. Multicomponent high-strength low-alloy steel precipitation-strengthened by sub-nanometric Cu precipitates and M2C carbides. Metall. Mater. Trans. A 2016, 47, 3860–3872. [Google Scholar] [CrossRef]
- Galibois, M.A.; Dube, A. Control of grain size and sub-structure in plain carbon and high strength low alloy (HSLA) steels-the problem and the prospect. Mater. Trans. A 1979, 10, 985–995. [Google Scholar] [CrossRef]
- Majta, J.; Muszka, K. Mechanical properties of ultra fine-grained HSLA and Ti-IF steels. Mater. Sci. Eng. A 2007, 464, 186–191. [Google Scholar] [CrossRef]
- Chakrabarti, D.; Davis, C.; Strangwood, M. Characterisation of bimodal grain structures in HSLA steels. Mater Charact. 2007, 58, 423–438. [Google Scholar] [CrossRef]
- Heydarinia, A.; Koushki, A.; Rasooli, N.; Reza, M.; Sohrabl, M.; Mehranpour, M.S. Synergistic Investigations of Post-Deformation Annealing and Initial Microstructure on the Mechanical Properties of High Strength Low Alloy (HSLA)-100 Steel. Steel Res. Int. 2021, 92, 2000627. [Google Scholar] [CrossRef]
- Liu, Q.; Song, H.; Zhang, J.; Ding, J.; Chen, Y.H.; Gu, J.F. Strengthening of Ni-Mn-Cu-Al-Co steel by nanoscale Cu and β-NiAl co-precipitated couples. Mater. Charact. 2020, 171, 110754. [Google Scholar] [CrossRef]
- Tang, Z.; Huang, J.; Ding, H.; Cai, Z.; Zhang, D. Effect of Deformation Temperature on Mechanical Properties and Deformation Mechanisms of Cold-Rolled Low C High Mn TRIP/TWIP Steel. Metals 2018, 8, 476. [Google Scholar] [CrossRef] [Green Version]
- Li, Y.; Li, W.; Min, N.; Liu, W.Q.; Jin, X.J. Effects of hot/cold deformation on the microstructures and mechanical properties of ultra-low carbon medium manganese quenching-partitioning-tempering steels. Acta Mater. 2017, 139, 96–108. [Google Scholar] [CrossRef]
- Janošec, M.; Schindler, I.; Vodárek, V.; Palát, J.; Rusz, S.; Suchánek, P.; Růžička, M.; Místecký, E. Microstructure and mechanical properties of cold rolled, annealed HSLA strip steels. Arch. Civ. Mech. Eng. 2007, 7, 29–38. [Google Scholar] [CrossRef]
- He, Y.; Hilinski, E.J. Texture and magnetic properties of non-oriented electrical steels processed by an unconventional cold rolling scheme. J. Magn. Magn. Mater. 2016, 405, 337–352. [Google Scholar] [CrossRef]
- Liebe, T.; Menzel, A.; Steinmann, P. Theory and numerics of geometrically non-linear gradient plasticity. Int. J. Eng. Sci. 2003, 41, 1603–1629. [Google Scholar] [CrossRef]
- Peng, M.; Shi, J.; Cui, B.; Sun, T.; Li, X.; Wang, M. Effect of Cold Deformation on Microstructure and Mechanical Properties of a Fe-20Mn-19Cr-0.5C-0.6N High Nitrogen Austenitic Steel. Steel Res. Int. 2017, 88, 1700069. [Google Scholar] [CrossRef]
- Shamsujjoha, M. Evolution of microstructures, dislocation density and arrangement during deformation of low carbon lath martensitic steels. Mater. Sci. Eng. A 2020, 776, 139039. [Google Scholar] [CrossRef]
- Liang, Z.; Wang, X.; Huang, W.; Huang, M.X. Strain rate sensitivity and evolution of dislocations and twins in a twinning-induced plasticity steel. Acta Mater. 2015, 88, 170–179. [Google Scholar] [CrossRef]
- Shintani, T.; Murata, Y. Evaluation of the dislocation density and dislocation character in cold rolled Type 304 steel determined by profile analysis of X-ray diffraction. Acta Mater. 2011, 59, 4314–4322. [Google Scholar] [CrossRef]
- Ohmura, T.; Minor, A.; Stach, E.; Morris, J.W. Dislocation–grain boundary interactions in martensitic steel observed through in situ nanoindentation in a transmission electron microscope. J. Mater. Res. 2004, 19, 3626–3632. [Google Scholar] [CrossRef]
- He, B.B.; Hu, B.; Cheng, G.J.; Wang, Z.K.; Luo, H.W.; Huang, M.X. High dislocation density–induced large ductility in deformed and partitioned steels. Science 2017, 357, 1029–1032. [Google Scholar] [CrossRef] [Green Version]
- Hansen, N. Boundary strengthening in undeformed and deformed polycrystals. Mater. Sci. Eng. A 2005, 409, 39–45. [Google Scholar] [CrossRef]
- Swarr, T.; Krauss, G. The effect of structure on the deformation of as-quenched and tempered martensite in a Fe-0.2 pct C alloy. Met. Mater. Trans. A. 1976, 7, 41–48. [Google Scholar] [CrossRef]
- Wang, C.F.; Wang, M.; Shi, J.; Hui, W.; Dong, H. Effect of microstructural refinement on the toughness of low carbon martensitic steel. Scr. Mater. 2008, 58, 492–495. [Google Scholar] [CrossRef]
- Luo, H.; Wang, X.; Liu, Z.; Yang, Z. Influence of refined hierarchical martensitic microstructures on yield strength and impact toughness of ultra-high strength stainless steel. J. Mater. Sci. Technol. 2020, 51, 130–136. [Google Scholar] [CrossRef]
- Eskandari, M.; Mohtadi-Bonab, M.A.; Szpunar, J.A. Evolution of the microstructure and texture of X70 pipeline steel during cold-rolling and annealing treatments. Mater Des. 2016, 90, 618–627. [Google Scholar] [CrossRef]
- Liu, Y.; Yang, C.D.; Liu, M.; Wang, C.H.; Dai, Y.C.; Li, X.; Russell, A.M.; Zhang, C.X.; Zhang, Z.H.; Cao, G.H. Effects of microstructure and crystallography on mechanical properties of cold-rolled SAE1078 pearlitic steel. Mater. Sci. Eng. A 2018, 709, 115–124. [Google Scholar] [CrossRef] [Green Version]
- Zhang, X.; Gert, H.; Navarro-López, A.; Wormann, J.; Campaniello, J.; Dalgliesh, R.M.; Well, A.V.; Offerman, S.E.; Kranendonk, W. Microstructure, precipitate and property evolution in cold-rolled Ti-V high strength low alloy steel. Mater. Des. 2020, 192, 108720. [Google Scholar] [CrossRef]
- Liu, Z.; Olivares, R.O.; Lei, Y.; Garcia, C.L.; Wang, G. Microstructural characterization and recrystallization kinetics modeling of annealing cold-rolled vanadium microalloyed HSLA steels. J. Alloy. Compd. 2016, 679, 293–301. [Google Scholar] [CrossRef] [Green Version]
- Kapoor, I.; Lan, Y.; Rijkenberg, A.; Li, Z.S.; Janik, V. Quasi in-situ analysis of geometrically necessary dislocation density in α-fibre and γ-fibre during static recrystallization in cold-rolled low-carbon Ti-V bearing microalloyed steel. Mater Charact. 2018, 145, 686–696. [Google Scholar] [CrossRef] [Green Version]
- Zhu, F.; Chai, F.; Luo, X.; Zhang, Z.Y.; Yang, C.F. Strengthening and toughening mechanism of a Cu-bearing high-strength low-alloy steel with refined tempered martensite/bainite (M/B) matrix and minor inter-critical ferrite. J. Iron Steel Res. Int. 2021, 28, 464–478. [Google Scholar] [CrossRef]
- Garcia-Mateo, C.; Caballero, F.G.; Bhadeshia, H.K.D.H. Very strong low temperature bainite. Mater Sci Technol. 2002, 18, 279–284. [Google Scholar]
- Garcia-Mateo, C.; Caballero, F.G.; Bhadeshia, H.K.D.H. Acceleration of low-temperature bainite. ISIJ Int. 2003, 43, 1821–1825. [Google Scholar] [CrossRef] [Green Version]
- Cooman, B.D. Structure-properties relationship in TRIP steels containing carbide-free bainite. Curr. Opin. Solid State Mater. Sci. 2004, 8, 285. [Google Scholar] [CrossRef]
- Kang, J.; Li, C.N.; Yuan, G.; Wang, G.D. Improvement of strength and toughness for hot rolled low-carbon bainitic steel via grain refinement and crystallographic texture. Mater. Lett. 2016, 175, 157–160. [Google Scholar] [CrossRef]
- Ueji, R.; Tsuji, N.; Minamino, Y.; Koizumi, Y. Ultragrain refinement of plain low carbon steel by cold-rolling and annealing of martensite. Acta Mater. 2002, 50, 4177. [Google Scholar] [CrossRef]
- Yang, Z.N.; Liu, C.B.; Zhang, C.Y.; Fang, Q.W.; Li, Y.G.; El-Fallah, G.; Ooi, S.; Zhang, F.C. Microplasticity behavior of multiphase high-strength nanobainitic steel based on a modified law of mixtures. Mater. Sci. Eng. A 2021, 825, 141848. [Google Scholar] [CrossRef]
- Zhao, J.; Zhang, F. In-situ observation of tensile deformation and retained austenite transformation behaviors in carbide-free bainitic steel. Mater. Sci. Eng. A 2020, 771, 138637. [Google Scholar] [CrossRef]
- Zhang, X.; Godfrey, A.; Huang, X.; Hansen, N.; Liu, Q. Microstructure and strengthening mechanisms in cold-drawn pearlitic steel wire. Acta Mater. 2011, 59, 3422. [Google Scholar] [CrossRef]
- Zhang, X.; Hansen, N.; Godfrey, A.; Huang, X.X. Dislocation-based plasticity and strengthening mechanisms in sub-20 nm lamellar structures in pearlitic steel wire. Acta Mater. 2016, 114, 176–183. [Google Scholar] [CrossRef] [Green Version]
- Fu, B.; Pei, C.H.; Pan, L.H.; Guo, Y.H.; Fu, L.M.; Shang, A.D. Hall-Petch relationship of interstitial-free steel with a wide grain size range processed by asymmetric rolling and subsequent annealing. Mater. Res. Express 2020, 7, 116516. [Google Scholar] [CrossRef]
- Zhang, X.; Godfrey, A.; Hansen, N.; Huang, X.X. Hierarchical structures in cold-drawn pearlitic steel wire. Acta Mater. 2013, 61, 4898–4909. [Google Scholar] [CrossRef] [Green Version]
- Ma, E.; Zhu, T. Towards strength–ductility synergy through the design of heterogeneous nanostructures in metals. Mater. Today 2017, 20, 323–331. [Google Scholar] [CrossRef]
- Wang, Y.; Chen, M.; Zhou, F.; Ma, E. High tensile ductility in a nanostructured metal. Nature 2002, 419, 912–915. [Google Scholar] [CrossRef] [PubMed]
- Li, J.; Soh, A. Modeling of the plastic deformation of nanostructured materials with grain size gradient. Int. J. Plast. 2012, 39, 88. [Google Scholar] [CrossRef]
- Fang, T.; Li, W.; Tao, N.; Lu, K. Revealing extraordinary intrinsic tensile plasticity in gradient nano-grained copper. Science 2011, 331, 1587–1590. [Google Scholar] [CrossRef] [PubMed] [Green Version]
- Masoumi, M.; Silva, C.C.; Lemos, I.A.; Herculano, L.F.G.; Abreu, H.F.G. Role of Crystallographic Textures on Failure Behavior in HSLA Grade-420 Steel During Cold Rolling. Mater. Eng. Per. 2017, 26, 1531–1539. [Google Scholar] [CrossRef]
- Kishor, R.; Sahu, L.; Dutta, K.; Mondal, A.K. Assessment of dislocation density in asymmetrically cyclic loaded non-conventional stainless steel using X-ray diffraction profile analysis. Mater. Sci. Eng. A 2014, 598, 299–303. [Google Scholar] [CrossRef]
- Miller, M.K. Atom probe tomography characterization of solute segregation to dislocations and interfaces. J. Mater. Sci. 2006, 41, 7808–7813. [Google Scholar] [CrossRef]
- Renzetti, R.; Sandim, H.; Bolmaro, R.; Suzuki, P.A.; Möslangc, A. X-ray evaluation of dislocation density in ODS-Eurofer steel. Mater. Sci. Eng. A 2012, 534, 142–146. [Google Scholar] [CrossRef]
- Gubicza, J. Practical applications of X-ray line profile analysis, Hungary. In Materials Science and Engineering: Concepts, Methodologies, Tools, and Applications; IGI Global: Hershey, PA, USA, 2017; pp. 1094–1132. [Google Scholar] [CrossRef]
- Mishakin, V.V.; Gonchar, A.V.; Klyushnikov, V.A. Relationship Between the Characteristics of the Crystallographic Texture of Low-Carbon Steels with Accumulation of Damages at the Early Stages of Fatigue Failure. Mater Today Proc. 2019, 11, 187–190. [Google Scholar] [CrossRef]
- Tsuzaki, K.; Ikeda, N.R.; Maki, T. Effect of ferrite morphology on the cold-rolling and recrystallization textures in an ultra-low carbon steel. Scr. Mater. 1997, 36, 905–913. [Google Scholar] [CrossRef]
- Wasilkowska, A.; Petrov, R.; Kestens, L.; Werner, E.A.; Krempaszky, C.; Traint, S.; Pichler, A. Microstructure and texture changes in a low-alloyed TRIP-aided steel induced by small plastic deformation. ISIJ Int. 2006, 46, 302–309. [Google Scholar] [CrossRef] [Green Version]
- Inagaki, H. Fundamental aspect of texture formation in low carbon steel. ISIJ Int. 2007, 34, 313–321. [Google Scholar] [CrossRef] [Green Version]











| Rolling Reduction Ratio (%) | 0 | 20 | 50 | 80 |
|---|---|---|---|---|
| d (nm) | 601 | 404 | 320 | 252 |
| (MPa) | 623 | 829 | 951 | 1089 |
| k | 0.68 | 0.75 | 0.76 | 0.77 |
Publisher’s Note: MDPI stays neutral with regard to jurisdictional claims in published maps and institutional affiliations. |
© 2022 by the authors. Licensee MDPI, Basel, Switzerland. This article is an open access article distributed under the terms and conditions of the Creative Commons Attribution (CC BY) license (https://creativecommons.org/licenses/by/4.0/).
Share and Cite
Wang, Z.; Dong, Y.; Li, J.; Chai, F.; Wang, L.; Liu, Q.; Fu, B.; Liu, M.; Wang, Z. The Role of Cold Rolling Reduction on the Microstructure and Mechanical Properties of Ultra-Low Carbon Bainitic Steel. Materials 2022, 15, 3070. https://doi.org/10.3390/ma15093070
Wang Z, Dong Y, Li J, Chai F, Wang L, Liu Q, Fu B, Liu M, Wang Z. The Role of Cold Rolling Reduction on the Microstructure and Mechanical Properties of Ultra-Low Carbon Bainitic Steel. Materials. 2022; 15(9):3070. https://doi.org/10.3390/ma15093070
Chicago/Turabian StyleWang, Zemin, Yu Dong, Jiajun Li, Feng Chai, Lianbo Wang, Qingdong Liu, Bin Fu, Min Liu, and Zhanyong Wang. 2022. "The Role of Cold Rolling Reduction on the Microstructure and Mechanical Properties of Ultra-Low Carbon Bainitic Steel" Materials 15, no. 9: 3070. https://doi.org/10.3390/ma15093070
APA StyleWang, Z., Dong, Y., Li, J., Chai, F., Wang, L., Liu, Q., Fu, B., Liu, M., & Wang, Z. (2022). The Role of Cold Rolling Reduction on the Microstructure and Mechanical Properties of Ultra-Low Carbon Bainitic Steel. Materials, 15(9), 3070. https://doi.org/10.3390/ma15093070

