Experimental and Theoretical Investigations on Diamond Wire Sawing for a NdFeB Magnet
Abstract
:1. Introduction
2. Materials and Methods
3. Results and Discussion
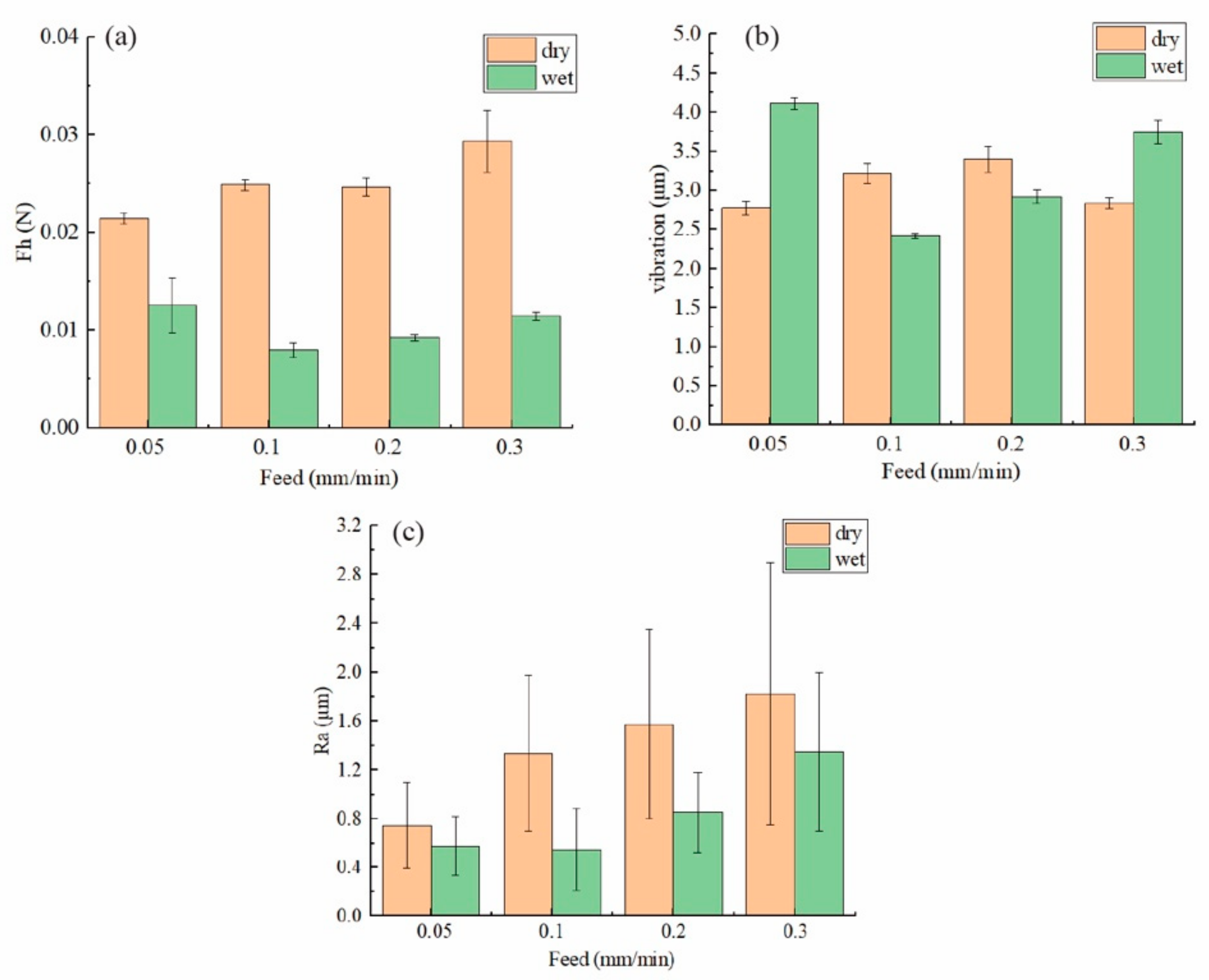
3.1. Cutting Force
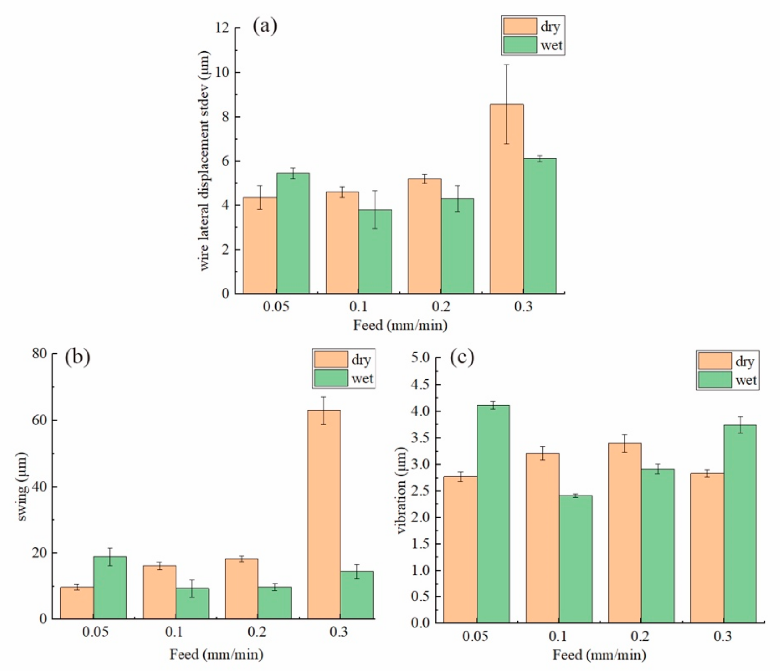
3.2. The Wire Vibration under Different Cutting Conditions
3.3. Surface Morphology
3.4. Surface Formation Mechanism
4. Conclusions
- When the feed rate increased in both the dry and wet conditions, the cutting force kept increasing as the balance between material removal efficiency and bow deflection reformed. The thrusting force for a lower spindle speed was larger, as the transportation of chips was less effective, but the normal force was smaller;
- The lateral wire displacement can be filtered into two components: one was the wire lateral swing following the reciprocating movement of the wire, the other one was the high-frequency vibration. The vibration for 0.05 mm/min during wet cutting was the largest; other than that, the vibration amplitude increased as the feed speed increased;
- The periodic waviness found on the sawed surface had the same length period as the calculation result of the distance the wire travelled for one reciprocating period. The variation trend of the swing amplitude of the lateral displacement also matched the PV value for the surface waviness, showing that the wire lateral swing was the main cause of the periodic waviness;
- The surface roughness Sa increased as the feed rate increased, which was mainly contributed by the waviness. But the roughness Ra along the saw mark direction was almost the same for the 0.05 and 0.1 mm/min groups during wet cutting. From the SEM image, it was discovered that the higher vibration for the 0.05 mm/min group caused more grain to loosen off and a more fractured surface. This implies that the surface formation of NdFeB magnets during diamond wire sawing includes not only cutting but also grain falling off due to the vibration impact.
Author Contributions
Funding
Conflicts of Interest
References
- Qiu, J.; Li, X.; Ge, R.; Zhang, S.; Wang, H. Formation Mechanism of Wire Bow and Its Influence on Diamond Wire Saw Process and Wire Cutting Capability. Int. J. Mech. Sci. 2020, 185, 105851. [Google Scholar] [CrossRef]
- Jia, Z.; Zhao, L.; Ren, Z.; Wang, F.; Li, D.; Ji, W. Investigation into Influence of Feed Speed on Surface Roughness in Wire Sawing. Mater. Manuf. Processes 2015, 30, 875–881. [Google Scholar] [CrossRef]
- Maeda, H.; Takanabe, R.; Takeda, A.; Matsuda, S.; Kato, T. High-Speed Slicing of SiC Ingot by High-Speed Multi Wire Saw. In Materials Science Forum; Trans Tech Publications Ltd.: Bachs, Switzerland, 2014; Volume 778–780, pp. 771–775. [Google Scholar] [CrossRef]
- Teomete, E. Investigation of Long Waviness Induced by the Wire Saw Process. Proc. Inst. Mech. Eng. Part B J. Eng. Manuf. 2011, 225, 1153–1162. [Google Scholar] [CrossRef]
- Tang, A.; Li, S.; Yang, G.; Li, L.; Landers, R.G. Wire Vibration Modeling and Experimental Analysis for Wire Saw Machining. J. Manuf. Sci. Eng. 2019, 141, 121003. [Google Scholar] [CrossRef]
- Huang, H.; Wang, S.; Xu, X. Effect of Wire Vibration on the Materials Loss in Sapphire Slicing with the Fixed Diamond Wire. Mater. Sci. Semicond. Process. 2017, 71, 93–101. [Google Scholar] [CrossRef]
- Huang, H.; Zhang, Y.; Xu, X. Experimental Investigation on the Machining Characteristics of Single-Crystal SiC Sawing with the Fixed Diamond Wire. Int J. Adv. Manuf. Technol. 2015, 81, 955–965. [Google Scholar] [CrossRef]
- Wang, F.; Huang, B.; Zhang, J.S.; Wang, Z.; Zhang, H. Error Analysis of Natural Vibration Characteristic of the Diamond Wire Saw. In Applied Mechanics and Materials; Trans Tech Publications Ltd.: Bachs, Switzerland, 2014; Volume 541–542, pp. 174–179. [Google Scholar] [CrossRef]
- Andhare, A.B.; Jithin, E.V. Analysis of Wire Vibration in Wire Electric Discharge Machining Process. J. Vib. Eng. Technol. 2015, 3, 10. [Google Scholar]
- Cheng, J.; Gong, Y.D. Experimental Study of Surface Generation and Force Modeling in Micro-Grinding of Single Crystal Silicon Considering Crystallographic Effects. Int. J. Mach. Tools Manuf. 2014, 77, 1–15. [Google Scholar] [CrossRef]
- Cheng, D.; Gao, Y.; Liu, R. Finite Element Analysis on Processing Stress of Polysilicon Cut by Diamond Multi-Wire Saw. Mater. Sci. Semicond. Process. 2021, 131, 105860. [Google Scholar] [CrossRef]
- Costa, E.C.; Xavier, F.A.; Knoblauch, R.; Binder, C.; Weingaertner, W.L. Effect of Cutting Parameters on Surface Integrity of Monocrystalline Silicon Sawn with an Endless Diamond Wire Saw. Sol. Energy 2020, 207, 640–650. [Google Scholar] [CrossRef]
- Gao, Y.; Chen, Y.; Ge, P.; Zhang, L.; Bi, W. Study on the Subsurface Microcrack Damage Depth in Electroplated Diamond Wire Saw Slicing SiC Crystal. Ceram. Int. 2018, 44, 22927–22934. [Google Scholar] [CrossRef]
- Li, S.; Tang, A.; Liu, Y.; Wang, J.; Cui, D.; Landers, R.G. Analytical Force Modeling of Fixed Abrasive Diamond Wire Saw Machining with Application to SiC Monocrystal Wafer Processing. J. Manuf. Sci. Eng. 2017, 139, 041003. [Google Scholar] [CrossRef]
- Wang, P.; Ge, P.; Li, Z.; Ge, M.; Gao, Y. A Scratching Force Model of Diamond Abrasive Particles in Wire Sawing of Single Crystal SiC. Mater. Sci. Semicond. Process. 2017, 68, 21–29. [Google Scholar] [CrossRef]
- Elwert, T.; Goldmann, D.; Roemer, F.; Schwarz, S. Recycling of NdFeB Magnets from Electric Drive Motors of (Hybrid) Electric Vehicles. J. Sustain. Metall. 2017, 3, 108–121. [Google Scholar] [CrossRef]
- Lin, M.; Wang, H.J.; Yi, P.P.; Yan, A.R. Effects of Excessive Grain Growth on the Magnetic and Mechanical Properties of Hot-Deformed NdFeB Magnets. J. Magn. Magn. Mater. 2010, 322, 2268–2271. [Google Scholar] [CrossRef]
- Bi, M.; Xu, C.; Wattoo, A.G.; Bagheri, R.; Chen, Y.; Mao, S.; Lv, Z.; Yang, L.; Song, Z. Corrosion Behavior of Sintered CeNdFeB Magnets in Different Solutions. J. Alloys Compd. 2017, 703, 232–241. [Google Scholar] [CrossRef]
- Cao, Y.; Zhang, P.; Xu, G.; Liu, Y.; Liu, J.; Wu, Y.; Chen, J.; Yi, X. Study on the Corrosion Resistance of (Nd,Dy)–Fe–B Magnets Obtained by Grain Boundary Diffusion Method. IEEE Trans. Magn. 2021, 57, 1–6. [Google Scholar] [CrossRef]
- El-Moneim, A.A. Passivity and Its Breakdown of Sintered NdFeB-Based Magnets in Chloride Containing Solution. Corros. Sci. 2004, 46, 2517–2532. [Google Scholar] [CrossRef]
- Jiang, J.; Zeng, Z.; Yu, J.; Wu, J.; Tokunaga, M. The Effect of Co Addition on the Fracture Strength of NdFeB Sintered Magnets. Intermetallics 2001, 4, 269–272. [Google Scholar] [CrossRef]
- Yan, M.; Yu, L.Q.; Wu, J.M.; Cui, X.G. Improved Magnetic Properties and Fracture Strength of NdFeB by Dehydrogenation. J. Magn. Magn. Mater. 2006, 306, 176–180. [Google Scholar] [CrossRef]
- Wang, P.; Ge, P.; Gao, Y.; Bi, W. Prediction of Sawing Force for Single-Crystal Silicon Carbide with Fixed Abrasive Diamond Wire Saw. Mater. Sci. Semicond. Process. 2017, 63, 25–32. [Google Scholar] [CrossRef]
- Clark, W.I.; Shih, A.J.; Lemaster, R.L.; McSpadden, S.B. Fixed Abrasive Diamond Wire Machining—Part II: Experiment Design and Results. Int. J. Mach. Tools Manuf. 2003, 43, 533–542. [Google Scholar] [CrossRef]
- Hardin, C.W.; Qu, J.; Shih, A.J. Fixed abrasive diamond wire saw slicing of single-crystal silicon carbide wafers. Mater. Manuf. Processes 2004, 19, 355–367. [Google Scholar] [CrossRef]














| Group Name | Coolant Condition | Spindle Speed (rpm) | Feed Rate (mm/min) |
|---|---|---|---|
| Dry-300–0.05 | dry | 300 | 0.05 |
| Dry-300–0.1 | 0.1 | ||
| Dry-300–0.2 | 0.2 | ||
| Dry-300–0.3 | 0.3 | ||
| Wet-200–0.1 | wet | 200 | 0.1 |
| Wet-200–0.2 | 0.2 | ||
| Wet-200–0.3 | 0.3 | ||
| Wet-300–0.05 | wet | 300 | 0.05 |
| Wet-300–0.1 | 0.1 | ||
| Wet-300–0.2 | 0.2 | ||
| Wet-300–0.3 | 0.3 |
Publisher’s Note: MDPI stays neutral with regard to jurisdictional claims in published maps and institutional affiliations. |
© 2022 by the authors. Licensee MDPI, Basel, Switzerland. This article is an open access article distributed under the terms and conditions of the Creative Commons Attribution (CC BY) license (https://creativecommons.org/licenses/by/4.0/).
Share and Cite
Liu, J.; Zhang, Z.; Wan, S.; Wu, B.; Feng, J.; Zhang, T.; Zhou, C. Experimental and Theoretical Investigations on Diamond Wire Sawing for a NdFeB Magnet. Materials 2022, 15, 3034. https://doi.org/10.3390/ma15093034
Liu J, Zhang Z, Wan S, Wu B, Feng J, Zhang T, Zhou C. Experimental and Theoretical Investigations on Diamond Wire Sawing for a NdFeB Magnet. Materials. 2022; 15(9):3034. https://doi.org/10.3390/ma15093034
Chicago/Turabian StyleLiu, Jia, Zhenyu Zhang, Shengzuo Wan, Bin Wu, Junyuan Feng, Tianyu Zhang, and Chunchen Zhou. 2022. "Experimental and Theoretical Investigations on Diamond Wire Sawing for a NdFeB Magnet" Materials 15, no. 9: 3034. https://doi.org/10.3390/ma15093034
APA StyleLiu, J., Zhang, Z., Wan, S., Wu, B., Feng, J., Zhang, T., & Zhou, C. (2022). Experimental and Theoretical Investigations on Diamond Wire Sawing for a NdFeB Magnet. Materials, 15(9), 3034. https://doi.org/10.3390/ma15093034
