Mixed Finite Element Formulation for Navier–Stokes Equations for Magnetic Effects on Biomagnetic Fluid in a Rectangular Channel
Abstract
:1. Introduction
2. Mixed Formulation Strategy
2.1. Dimensionless Form of BFD Governing Equations
2.2. Discretization of BFD Governing Equations
2.3. Biomagnetic Fluid Flow in Rectangular Channels
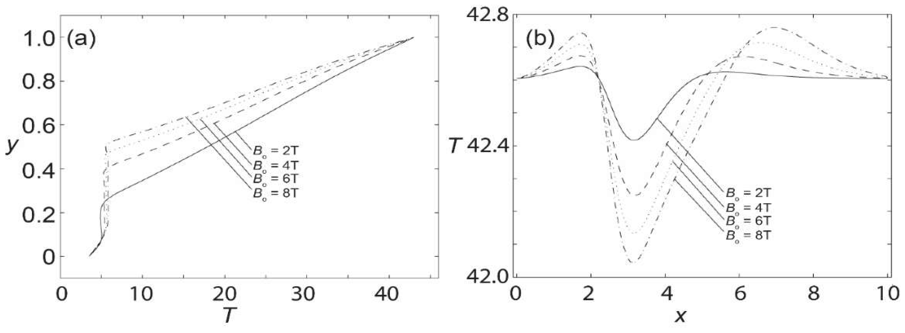
3. Results and Discussion
3.1. Verification
3.2. Velocity
3.3. Temperature Profile
3.4. Skin Friction Coefficient
4. Conclusions
- −
- Excellent agreement was exhibited when comparing the computed result from the current model against that from the literature.
- −
- It was found that when subjected to a spatially varying magnetic field, a vortex arises upstream from the magnetic source.
- −
- The size of the vortex increases as the magnetic field strength increases.
- −
- Furthermore, the temperature around the magnetic source was observed to be considerably disturbed.
- −
- Skin friction increased at the upper and lower walls due to the existence of varying magnetic field intensities.
- −
- It is noted that the Newtonian assumption of the blood in this study is only valid for blood in large arteries. For blood in narrow arteries, the behavior of the blood is closer to that of a non-Newtonian fluid. Thus, non-Newtonian fluid is one potential subject for further development of the model. A high-gradient magnetic field renders Lorentz force insignificant to the flow.
- −
- It is evidenced from the literature that the Lorentz force could play an imperative role in a constant magnetic field. Thus, for future study, the inclusion of the Lorentz force should be considered by applying several types of magnetic field gradients, so that the effects of Lorentz force are more apparent.
- −
- Two-dimensional cases such as those used in the present study offer cheaper computational time and storage costs, but a realistic case usually involves a full three-dimensional geometry. Therefore, the three-dimensional geometry of the BFD problems is one prospective area for study in the future.
Author Contributions
Funding
Institutional Review Board Statement
Informed Consent Statement
Data Availability Statement
Acknowledgments
Conflicts of Interest
References
- Alexiou, C.; Jurgons, R.; Schmid, R.J.; Bergemann, C.; Henke, J.; Erhard, W.; Huenges, E.; Parak, F. Magnetic Drug Targeting—Biodistribution of the Magnetic Carrier and the Chemotherapeutic agent Mitoxantrone after Locoregional Cancer Treatment. J. Drug Target. 2003, 11, 139–149. [Google Scholar] [CrossRef] [PubMed]
- Zhang, X.; Luo, M.; Tan, P.; Zheng, L.; Shu, C. Magnetic nanoparticle drug targeting to patient-specific atherosclerosis: Effects of magnetic field intensity and configuration. Appl. Math. Mech. 2020, 41, 349–360. [Google Scholar] [CrossRef]
- Nasiri, R.; Shamloo, A.; Ahadian, S.; Amirifar, L.; Akbari, J.; Goudie, M.J.; Lee, K.; Ashammakhi, N.; Dokmeci, M.R.; Di Carlo, D.; et al. Microfluidic-Based Approaches in Targeted Cell/Particle Separation Based on Physical Properties: Fundamentals and Applications. Small 2020, 16, e2000171. [Google Scholar] [CrossRef] [PubMed]
- Ortega, D.; Pankhurst, Q.A. Magnetic hyperthermia. Nanoscience 2012, 1, 60–88. [Google Scholar] [CrossRef]
- Woestemeier, A.; Harms-Effenberger, K.; Karstens, K.-F.; Konczalla, L.; Ghadban, T.; Uzunoglu, F.G.; Izbicki, J.R.; Bockhorn, M.; Pantel, K.; Reeh, M. Clinical Relevance of Circulating Tumor Cells in Esophageal Cancer Detected by a Combined MACS Enrichment Method. Cancers 2020, 12, 718. [Google Scholar] [CrossRef] [PubMed] [Green Version]
- Mu, K.; Kueh, A.; Shek, P. Hydroelastic responses of plates with sinusoidal tubercles under perpendicularly loaded flow. Ocean Eng. 2021, 219, 108301. [Google Scholar] [CrossRef]
- Mu, K.; Kueh, A.; Shek, P.; Haniffah, M.; Tan, B. Flow responses alteration by geometrical effects of tubercles on plates under the maximal angle of attack. Proc. Inst. Mech. Eng. Part C J. Mech. Eng. Sci. 2021, 235, 3975–3987. [Google Scholar] [CrossRef]
- Rosensweig, R.E. Ferrohydrodynamics; Cambridge University Press: Cambridge, UK, 1985. [Google Scholar]
- Shercliff, J.A. Textbook of Magnetohydrodynamics; Pergamon Press: Oxford, UK, 1965. [Google Scholar]
- Higashi, T.; Yamagishi, A.; Takeuchi, T.; Kawaguchi, N.; Sagawa, S.; Onishi, S.; Date, M. Orientation of erythrocytes in a strong static magnetic field. Blood 1993, 82, 1328–1334. [Google Scholar] [CrossRef] [Green Version]
- Haik, Y.; Pai, V.; Chen, C.-J. Apparent viscosity of human blood in a high static magnetic field. J. Magn. Magn. Mater. 2001, 225, 180–186. [Google Scholar] [CrossRef]
- Ruuge, E.; Rusetski, A. Magnetic fluids as drug carriers: Targeted transport of drugs by a magnetic field. J. Magn. Magn. Mater. 1993, 122, 335–339. [Google Scholar] [CrossRef]
- Haik, Y. Development and Mathematical Modeling of Biomagnetic Fluid Dynamics. Ph.D. Thesis, The Florida State University, Tallahassee, FL, USA, 1997. [Google Scholar]
- Haik, Y.; Chen, C.J.; Chatterjee, J. Numerical simulation of biomagnetic fluid in a channel with thrombus. J. Vis. 2002, 5, 187–195. [Google Scholar] [CrossRef]
- Loukopoulos, V.; Tzirtzilakis, E. Biomagnetic channel flow in spatially varying magnetic field. Int. J. Eng. Sci. 2004, 42, 571–590. [Google Scholar] [CrossRef]
- Tzirtzilakis, E.E.; Loukopoulos, V.C. Biofluid flow in a channel under the action of a uniform localized magnetic field. Comput. Mech. 2005, 36, 360–374. [Google Scholar] [CrossRef]
- Mousavi, S.M.; Darzi, A.A.R.; Akbari, O.A.; Toghraie, D.; Marzban, A. Numerical study of biomagnetic fluid flow in a duct with a constriction affected by a magnetic field. J. Magn. Magn. Mater. 2019, 473, 42–50. [Google Scholar] [CrossRef]
- Shit, G.C.; Roy, M. Effect of induced magnetic field on blood flow through a constricted channel: An analytical approach. J. Mech. Med. Biol. 2016, 16, 1650030. [Google Scholar] [CrossRef]
- Siddiqa, S.; Naqvi, S.; Begum, N.; Awan, S.; Hossain, M. Thermal radiation therapy of biomagnetic fluid flow in the presence of localized magnetic field. Int. J. Therm. Sci. 2018, 132, 457–465. [Google Scholar] [CrossRef]
- Strek, T.; Jopek, H. Computer simulation of heat transfer through a ferrofluid. Phys. Status Solidi B 2007, 244, 1027–1037. [Google Scholar] [CrossRef]
- Soomro, F.A.; Usman, M.; Haq, R.U.; Wang, W. Thermal and velocity slip effects on MHD mixed convection flow of Williamson nanofluid along a vertical surface: Modified Legendre wavelets approach. Phys. E Low Dimens. Syst. Nanostructures 2018, 104, 130–137. [Google Scholar] [CrossRef]
- Murtaza, M.G.; Tzirtzilakis, E.E.; Ferdows, M. Effect of electrical conductivity and magnetization on the biomagnetic fluid flow over a stretching sheet. Z. Angew. Math. Phys. 2017, 68, 93–108. [Google Scholar] [CrossRef]
- Tzirtzilakis1, E.E.; Sakalis, V.D.; Kafoussias, N.G.; Hatzikonstantinou, P.M. Biomagnetic fluid flow in a 3D rectangular duct. Int. J. Numer. Methods Fluids 2004, 44, 1279–1298. [Google Scholar] [CrossRef]
- Akar, S.; Esfahani, J.A.; Shaegh, S.A.M. A numerical investigation of magnetic field effect on blood flow as biomagnetic fluid in a bend vessel. J. Magn. Magn. Mater. 2019, 482, 336–349. [Google Scholar] [CrossRef]
- Wang, S.; Liu, H.; Xu, W. Hydrodynamic modelling and CFD simulation of ferrofluids flow in magnetic targeting drug delivery. Int. J. Comput. Fluid Dyn. 2008, 22, 659–667. [Google Scholar] [CrossRef]
- Tzirtzilakis, E. Biomagnetic fluid flow in a channel with stenosis. Phys. D Nonlinear Phenom. 2008, 237, 66–81. [Google Scholar] [CrossRef]
- Kenjereš, S.; Opdam, R. Computer simulations of a blood flow behavior in simplified stenotic artery subjected to strong non-uniform magnetic fields. In Procceedings of the 4th European Conference of the International Federation for Medical and Biological Engineering, Antwerp, Belgium, 23–27 November 2008; Springer: New York, NY, USA, 2009; pp. 2604–2608. [Google Scholar]
- Rusli, N.; Kueh, A.B.H.; Kenjeres, S. Magnetic Field Effects on 3D Blood Flow Patterns of Straight and Stenotic Arteries. Adv. Sci. Lett. 2013, 19, 2690–2693. [Google Scholar] [CrossRef]
- Habibi, M.R.; Ghasemi, M. Numerical study of magnetic nanoparticles concentration in biofluid (blood) under influence of high gradient magnetic field. J. Magn. Magn. Mater. 2011, 323, 32–38. [Google Scholar] [CrossRef]
- Singh, J.K.; Seth, G.S.; Vishwanath, S.; Rohidas, P. Steady MHD mixed convection flow of a viscoelastic fluid over a magnetized convectively heated vertical surface with Hall current and induced magnetic field effects. Heat Transf. 2020, 49, 4370–4393. [Google Scholar] [CrossRef]
- Ghaedi, K.; Ibrahim, Z.; Javanmardi, A.; Jameel, M.; Hanif, U.; Rehman, S.K.; Gordan, M. Finite Element Analysis of a Strengthened Beam Deliberating Elastically Isotropic and Orthotropic CFRP Material. J. Civ. Eng. Sci. Technol. 2018, 9, 117–126. [Google Scholar] [CrossRef] [Green Version]
- Mokhatar, S.; Abdullah, R.; Kueh, A. Computational impact responses of reinforced concrete slabs. Comput. Concr. 2013, 12, 37–51. [Google Scholar] [CrossRef]
- Hanif, M.U.; Ibrahim, Z.; Ghaedi, K.; Javanmardi, A.; Rehman, S.K. Finite Element Simulation of Damage in RC Beams. J. Civ. Eng. Sci. Technol. 2018, 9, 50–57. [Google Scholar] [CrossRef]
- Al-Fasih, M.; Kueh, A.; Sabah, S.A.; Yahya, M. Influence of tows waviness and anisotropy on effective Mode I fracture toughness of triaxially woven fabric composites. Eng. Fract. Mech. 2017, 182, 521–536. [Google Scholar] [CrossRef]
- Talebi, E.; Tahir, M.M.; Zahmatkesh, F.; Kueh, A.B. Comparative study on the behaviour of Buckling Restrained Braced frames at fire. J. Constr. Steel Res. 2014, 102, 1–12. [Google Scholar] [CrossRef]
- Hanifehzadeh, M.; Mousavi, M.M.R. Predicting the structural performance of sandwich concrete panels subjected to blast load considering dynamic increase factor. J. Civ. Eng. Sci. Technol. 2019, 10, 45–58. [Google Scholar] [CrossRef] [Green Version]
- Zienkiewicz, O.C.; Wu, J. Incompressibility without tears—HOW to avoid restrictions of mixed formulation. Int. J. Numer. Methods Eng. 1991, 32, 1189–1203. [Google Scholar] [CrossRef]
- Oden, J.T. A Short Course of Finite Element Methods for Computational Fluid Dynamics; Lecture Notes; Oden Institute for Computational Engineering and Sciences: Austin, TX, USA, 1993. [Google Scholar]
- Zienkiewicz, O.C.; Taylor, R.L.; Zhu, J.Z. The Finite Element Method: Its Basis and Fundamentals; Butterworth Heinemann: Oxford, UK, 2013. [Google Scholar] [CrossRef]
- Rusli, N.; Kueh, A.B.H.; Kasiman, E.H. The effect of magnetisation and Lorentz forces in a two-dimensional biomagnetic channel flow. AIP Conf. Proc. 2013, 1522, 496–503. [Google Scholar] [CrossRef]









| Parameter | Symbol | Unit | Value |
|---|---|---|---|
| Density | kg/m3 | 1050 | |
| Viscosity | kg/(ms) | 3.2 × 10−3 | |
| Thermal conductivity | J/(msK) | 2.2 × 10−3 | |
| Heat capacity | J/(kgK) | 14.65 | |
| Reference velocity | m/s−1 | 3.81 × 10−2 | |
| Magnetic permeability of vacuum | N/A2 | × 10−7 | |
| Temperature of upper wall | K | 316.15 (43 °C) | |
| Temperature of lower wall | K | 276.65 (3.5 °C) | |
| Channel height | m | 2.0 × 10−2 | |
| Channel length | m | 2.0 × 10−1 | |
| Prandtl number | 20 | ||
| Temperature number | 8 | ||
| Eckert number | 2.476 × 10−6 | ||
| Reynold number | 250 | ||
| Magnetic number (FHD) | 314 |
Publisher’s Note: MDPI stays neutral with regard to jurisdictional claims in published maps and institutional affiliations. |
© 2022 by the authors. Licensee MDPI, Basel, Switzerland. This article is an open access article distributed under the terms and conditions of the Creative Commons Attribution (CC BY) license (https://creativecommons.org/licenses/by/4.0/).
Share and Cite
Kasiman, E.H.; Kueh, A.B.H.; Mohd Yassin, A.Y.; Amin, N.S.; Amran, M.; Fediuk, R.; Kotov, E.V.; Murali, G. Mixed Finite Element Formulation for Navier–Stokes Equations for Magnetic Effects on Biomagnetic Fluid in a Rectangular Channel. Materials 2022, 15, 2865. https://doi.org/10.3390/ma15082865
Kasiman EH, Kueh ABH, Mohd Yassin AY, Amin NS, Amran M, Fediuk R, Kotov EV, Murali G. Mixed Finite Element Formulation for Navier–Stokes Equations for Magnetic Effects on Biomagnetic Fluid in a Rectangular Channel. Materials. 2022; 15(8):2865. https://doi.org/10.3390/ma15082865
Chicago/Turabian StyleKasiman, Erwan Hafizi, Ahmad Beng Hong Kueh, Airil Yasreen Mohd Yassin, Norsarahaida Saidina Amin, Mugahed Amran, Roman Fediuk, Evgenii Vladimirovich Kotov, and Gunasekaran Murali. 2022. "Mixed Finite Element Formulation for Navier–Stokes Equations for Magnetic Effects on Biomagnetic Fluid in a Rectangular Channel" Materials 15, no. 8: 2865. https://doi.org/10.3390/ma15082865
APA StyleKasiman, E. H., Kueh, A. B. H., Mohd Yassin, A. Y., Amin, N. S., Amran, M., Fediuk, R., Kotov, E. V., & Murali, G. (2022). Mixed Finite Element Formulation for Navier–Stokes Equations for Magnetic Effects on Biomagnetic Fluid in a Rectangular Channel. Materials, 15(8), 2865. https://doi.org/10.3390/ma15082865

