Hot Deformation Behavior of the 25CrMo4 Steel Using a Modified Arrhenius Model
Abstract
:1. Introduction
2. Materials and Methods
3. Results and Discussion
3.1. Flow Stress Behavior
3.2. Microstructure Evolution
3.3. Constitutive Modeling
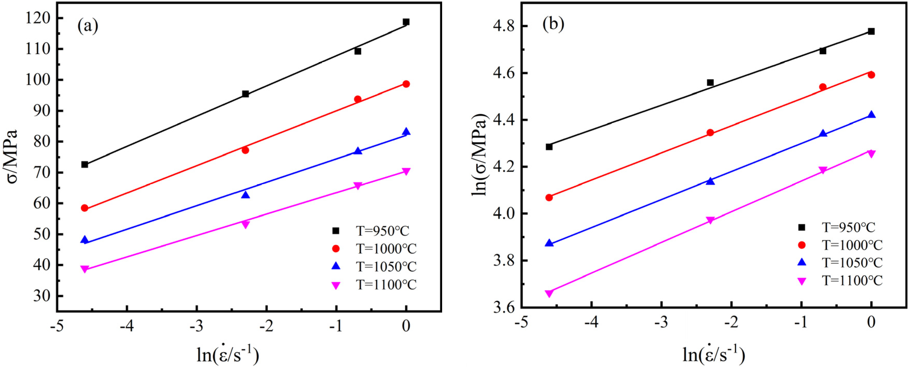
3.3.1. The Arrhenius Model
3.3.2. The Modified Arrhenius Model
4. Evaluation of Constitutive Models
5. Conclusions
Author Contributions
Funding
Conflicts of Interest
Nomenclature
| Symbol | Meaning |
| , | material constant |
| true strain | |
| true stress (MPa) | |
| strain rate (s−1) | |
| thermal activation energy (KJ/mol) | |
| T | deformation temperature (K) |
| R | molar gas constant (8.314 J/mol−1 K−1) |
| , | material constant |
| , | material constant |
| material constant | |
| Zener–Hollomon parameter | |
| EBSD | electron backscatter diffraction |
| DRV | dynamic recovery |
| DRX | dynamic recrystallization |
| WH | work hardening |
| HAGB | high angle grain boundaries |
| LAGB | low angle grain boundaries |
| AARE | average absolute relative error |
| ARE | absolute relative error |
| R2 | correlation coefficient |
Appendix A. Calibration of Parameters in the Arrhenius Model
Appendix A.1. Determination of Value

Appendix A.2. Determination of , , and Values


Appendix A.3. Compensation of Strain

References
- Li, D.; Zhu, Z.; Xiao, S.; Zhang, G.; Lu, Y. Plastic flow behavior based on thermal activation and dynamic constitutive equation of 25CrMo4 steel during impact compression. Mater. Sci. Eng. A 2017, 707, 459–465. [Google Scholar] [CrossRef]
- Chen, W.; Chen, H.; Li, C.; Wang, X.; Cai, Q. Microstructure and fatigue crack growth of EA4T steel in laser cladding remanufacturing. Eng. Fail. Anal. 2017, 79, 120–129. [Google Scholar] [CrossRef]
- Huo, Y.M.; Wang, B.Y.; Lin, J.G. Development of constitutive model of EA4T high-speed train shaft steel based on internal-state-variable method. Appl. Mech. Mater. 2012, 189, 31–35. [Google Scholar] [CrossRef]
- Lin, Y.C.; Chen, X.M. A critical review of experimental results and constitutive descriptions for metals and alloys in hot working. Mater. Des. 2011, 32, 1733–1759. [Google Scholar] [CrossRef]
- Niu, L.; Zhang, Q.; Wang, B.; Han, B.; Li, H.; Mei, T. A modified Hansel-Spittel constitutive equation of Ti-6Al-4V during cogging process. J. Alloys Compd. 2021, 894, 162387. [Google Scholar] [CrossRef]
- Xu, G.; Wang, L.; Li, S.; Wang, L. Hot deformation behavior of EA4T steel. Acta Metall. Sin. (Engl. Lett.) 2012, 25, 374–382. [Google Scholar] [CrossRef]
- Huo, Y.; Wang, B.; Lin, J.; Bai, Q.; Ji, H.; Tang, X. Hot compression deformation behavior and microstructure evolution rule of a high-speed railway axle steel. Indian J. Eng. Mater. Sci. 2017, 24, 447–454. [Google Scholar]
- Zhou, P.; Ma, Q.X. Static recrystallization behavior of 25CrMo4 mirror plate steel during two-pass hot deformation. J. Iron Steel. Res. Int. 2017, 24, 222–228. [Google Scholar] [CrossRef]
- Zhou, P.; Ma, Q.X. Dynamic Recrystallization Behavior and Processing Map Development of 25CrMo4 Mirror Plate Steel During Hot Deformation. Acta Metall. Sin. (Engl. Lett.) 2017, 30, 907–920. [Google Scholar] [CrossRef]
- Liu, K.; Huo, Y.; He, T.; Huo, C.; Jia, C.; Duo, X.; Wang, B. High-temperature deformation behavior and hot-processing map of 25CrMo4 axle steel based on friction correction. Mater. Tehnol. 2021, 55, 843–850. [Google Scholar] [CrossRef]
- Zhu, H.; Ou, H. Constitutive modelling of hot deformation behaviour of metallic materials. Mater. Sci. Eng. A 2021, 832, 142473. [Google Scholar] [CrossRef]
- Lin, Y.C.; Dong, W.Y.; Zhou, M.; Wen, D.X.; Chen, D.D. A unified constitutive model based on dislocation density for an Al-Zn-Mg-Cu alloy at time-variant hot deformation conditions. Mater. Sci. Eng. A 2018, 718, 165–172. [Google Scholar] [CrossRef]
- Souza, P.M.; Beladi, H.; Singh, R.; Rolfe, B.; Hodgson, P.D. Constitutive analysis of hot deformation behavior of a Ti6Al4V alloy using physical based model. Mater. Sci. Eng. A 2015, 648, 265–273. [Google Scholar] [CrossRef]
- Huo, Y.; Bai, Q.; Wang, B.; Lin, J.; Zhou, J. A new application of unified constitutive equations for cross wedge rolling of a high-speed railway axle steel. J. Mater. Process. Technol. 2015, 233, 274–283. [Google Scholar] [CrossRef]
- Wang, T.; Chen, Y.; Ouyang, B.; Zhou, X.; Hu, J.; Le, Q. Artificial neural network modified constitutive descriptions for hot deformation and kinetic models for dynamic recrystallization of novel AZE311 and AZX311 alloys. Mater. Sci. Eng. A 2021, 816, 141259. [Google Scholar] [CrossRef]
- Sani, S.A.; Ebrahimi, G.R.; Vafaeenezhad, H.; Kiani-Rashid, A.R. Modeling of hot deformation behavior and prediction of flow stress in a magnesium alloy using constitutive equation and artificial neural network (ANN) model. J. Magn. Alloy. 2018, 6, 134–144. [Google Scholar] [CrossRef]
- Yan, J.; Pan, Q.L.; Li, A.D.; Song, W.B. Flow behavior of Al–6.2Zn–0.70Mg–0.30Mn–0.17Zr alloy during hot compressive deformation based on Arrhenius and ANN models. T. Nonferr. Metal. Soc. 2017, 27, 638–647. [Google Scholar] [CrossRef]
- Gao, S.; Sang, Y.; Li, Q.; Sun, Y.; Wu, Y.; Wang, H. Constitutive modeling and microstructure research on the deformation mechanism of Ti-6Al-4V alloy under hot forming condition. J. Alloy. Compd. 2022, 892, 162128. [Google Scholar] [CrossRef]
- Niu, L.; Cao, M.; Liang, Z.; Han, B.; Zhang, Q. A modified Johnson-Cook model considering strain softening of A356 alloy. Mater. Sci. Eng. A 2020, 789, 139612. [Google Scholar] [CrossRef]
- Zhang, C.; Li, X.Q.; Li, D.S.; Jin, C.H.; Xiao, J.J. Modelization and com, 2021parison of Norton-Hoff and Arrhenius constitutive laws to predict hot tensile behavior of Ti-6Al-4V alloy. T. Nonferr. Metal. Soc. 2012, 22, S457–S464. [Google Scholar] [CrossRef]
- Li, H.Y.; Li, Y.H.; Wang, X.F.; Liu, J.J.; Wu, Y. A comparative study on modified Johnson Cook, modified Zerilli-Armstrong and Arrhenius-type constitutive models to predict the hot deformation behavior in 28CrMnMoV steel. Mater. Des. 2013, 49, 493–501. [Google Scholar] [CrossRef]
- Lin, Y.C.; Chen, M.S.; Zhong, J. Constitutive modeling for elevated temperature flow behavior of 42CrMo steel. Comput. Mater. Sci. 2008, 42, 470–477. [Google Scholar] [CrossRef]
- Lypchanskyi, O.; Sleboda, T.; Lukaszek-Solek, A.; Zygula, K.; Wojtaszek, M. Application of the Strain Compensation Model and Processing Maps for Description of Hot Deformation Behavior of Metastable beta Titanium Alloy. Materials 2021, 14, 2021. [Google Scholar] [CrossRef] [PubMed]
- Luo, L.; Liu, Z.Y.; Bai, S.; Zhao, J.G.; Zeng, D.P.; Wang, J.; Cao, J.; Hu, Y.C. Hot Deformation Behavior Considering Strain Effects and Recrystallization Mechanism of an Al-Zn-Mg-Cu Alloy. Materials 2020, 13, 1743. [Google Scholar] [CrossRef]
- Ashtiani, H.R.R.; Shahsavari, P. Constitutive modeling of flow behavior of precipitation-hardened AA7022-T6 aluminum alloy at elevated temperature. T. Nonferr. Metal. Soc. 2020, 30, 2927–2940. [Google Scholar] [CrossRef]
- Tan, Y.B.; Ma, Y.H.; Zhao, F. Hot deformation behavior and constitutive modeling of fine grained Inconel 718 superalloy. J. Alloys Compd. 2018, 741, 85–96. [Google Scholar] [CrossRef]
- Mandal, S.; Rakesh, V.; Sivaprasad, P.V.; Venugopal, S.; Kasiviswanathan, K.V. Constitutive equations to predict high temperature flow stress in a Ti-modified austenitic stainless steel. Mater. Sci. Eng. A 2009, 500, 114–121. [Google Scholar] [CrossRef]
- Wang, H.R.; Wang, C.G.; Li, M.Y.; Ma, R.; Zhao, J. Constitutive Equations for Describing the Hot Compressed Behavior of TC4-DT Titanium Alloy. Materials 2020, 13, 3424. [Google Scholar] [CrossRef]
- Chen, X.; Zhao, G.; Zhao, X.; Wang, Y.; Xu, X.; Zhang, C. Constitutive modeling and microstructure characterization of 2196 Al-Li alloy in various hot deformation conditions. J. Manuf. Process. 2020, 59, 326–342. [Google Scholar] [CrossRef]
- Yi, S.X.; Yang, Z.J.; Xie, H.X. Hot Deformation and Constitutive Modeling of TC21 Titanium Alloy. Materials 2022, 15, 1923. [Google Scholar] [CrossRef]
- Astm E209; Standard Practice for Compression Tests of Metallic Materials at Elevated Temperatures with Conventional or Rapid Heating Rates and Strain Rates, Annual Book of ASTM Standards. ASTM: West Conshohocken, PA, USA, 2010.
- Shen, W.F.; Zhang, L.W.; Zhang, C.; Xu, Y.F.; Shi, X.H. Constitutive Analysis of Dynamic Recrystallization and Flow Behavior of a Medium Carbon Nb-V Microalloyed Steel. J. Mater. Eng. Perform. 2016, 25, 2065–2073. [Google Scholar] [CrossRef]
- Yang, P.; Liu, C.; Guo, Q.; Liu, Y. Variation of activation energy determined by a modified Arrhenius approach: Roles of dynamic recrystallization on the hot deformation of Ni-based superalloy. J. Mater. Sci. Technol. 2021, 72, 162–171. [Google Scholar] [CrossRef]
- Liu, A.; Wang, L.; Cheng, X.; Ning, Z.; Pan, L. Study on hot deformation behavior of as-cast 22%W high-density steel. J. Mater. Res. Technol. 2022, 17, 2355–2368. [Google Scholar] [CrossRef]
- Yang, Q.Y.; Deng, Z.H.; Zhang, Z.Q.; Liu, Q.; Jia, Z.H.; Huang, G.G. Effects of strain rate on flow stress behavior and dynamic recrystallization mechanism of Al-Zn-Mg-Cu aluminum alloy during hot deformation. Mater. Sci. Eng. A. 2016, 662, 204–213. [Google Scholar] [CrossRef]
- Sellars, C.M.; McTegart, W.J. On the mechanism of hot deformation. Acta Metall. 1966, 14, 1136–1138. [Google Scholar] [CrossRef]
- Zener, C.; Hollomon, J. Effect of Strain Rate Upon Plastic Flow of Steel. J. Appl. Phys. 1944, 15, 22–32. [Google Scholar] [CrossRef]
















| Composition | C | Si | Mn | Cr | Cu | Mo | Ni | V | Fe |
|---|---|---|---|---|---|---|---|---|---|
| wt.% | 0.27 | 0.35 | 0.76 | 1.16 | 0.046 | 0.21 | 0.22 | 0.028 | Bal. |
| = 0.0184 | = 6.1621 | = 511.1411 | = 43.9527 |
| = −0.1158 | = 16.8757 | = −1024.7073 | = −93.4998 |
| = 0.7315 | = −296.3931 | = −2723.1523 | = −263.5114 |
| = −2.3344 | = 1267.1775 | = 23,762.0810 | = 2291.8961 |
| = 4.0344 | = −2444.6079 | = −51,856.9870 | = −5058.5514 |
| = −3.5676 | = 2245.9866 | = 48,497.5153 | = 4789.2922 |
| = 1.2572 | = −798.4857 | = −16,925.7731 | = −1692.2681 |
| 0.0184 | 6.0207 | 0.0017 | −3446 | 511.1411 | 43.9527 |
| −0.1158 | 27.9892 | −0.0775 | 157,067 | −1024.7073 | −93.4998 |
| 0.7315 | −479.4327 | 0.7093 | −1,560,050 | −2723.1523 | −263.5114 |
| −2.3344 | 2227.0571 | −2.7677 | 646,9630 | 23,762.0810 | 2291.8961 |
| 4.0344 | −4589.6447 | 5.1572 | −12,619,300 | −51,856.9870 | −5058.5514 |
| −3.5676 | 4441.0982 | −4.6305 | 11,757,800 | 48,497.5153 | 4789.2922 |
| 1.2572 | −1646.5750 | 1.6161 | −4,233,770 | −16,925.7731 | −1692.2681 |
Publisher’s Note: MDPI stays neutral with regard to jurisdictional claims in published maps and institutional affiliations. |
© 2022 by the authors. Licensee MDPI, Basel, Switzerland. This article is an open access article distributed under the terms and conditions of the Creative Commons Attribution (CC BY) license (https://creativecommons.org/licenses/by/4.0/).
Share and Cite
Xu, H.; Tian, T.; Zhang, J.; Niu, L.; Zhu, H.; Wang, X.; Zhang, Q. Hot Deformation Behavior of the 25CrMo4 Steel Using a Modified Arrhenius Model. Materials 2022, 15, 2820. https://doi.org/10.3390/ma15082820
Xu H, Tian T, Zhang J, Niu L, Zhu H, Wang X, Zhang Q. Hot Deformation Behavior of the 25CrMo4 Steel Using a Modified Arrhenius Model. Materials. 2022; 15(8):2820. https://doi.org/10.3390/ma15082820
Chicago/Turabian StyleXu, Hongtu, Tiantai Tian, Jiahao Zhang, Liqun Niu, Hongbin Zhu, Xingtao Wang, and Qi Zhang. 2022. "Hot Deformation Behavior of the 25CrMo4 Steel Using a Modified Arrhenius Model" Materials 15, no. 8: 2820. https://doi.org/10.3390/ma15082820
APA StyleXu, H., Tian, T., Zhang, J., Niu, L., Zhu, H., Wang, X., & Zhang, Q. (2022). Hot Deformation Behavior of the 25CrMo4 Steel Using a Modified Arrhenius Model. Materials, 15(8), 2820. https://doi.org/10.3390/ma15082820
