Road Pavement Thickness and Construction Depth Optimization Using Treated and Untreated Artificially-Synthesized Expansive Road Subgrade Materials with Varying Plasticity Index
Abstract
:1. Introduction
2. Materials and Methods
2.1. California Bearing Ratio (CBR)
CBR Sample Preparation and Testing
2.2. Swell Test of Treated and Untreated ASS Materials
2.3. Microstructural Properties of Treated Subgrade Material
3. Results and Discussion
3.1. Compaction and Atterberg Limits for Untreated ASS Materials
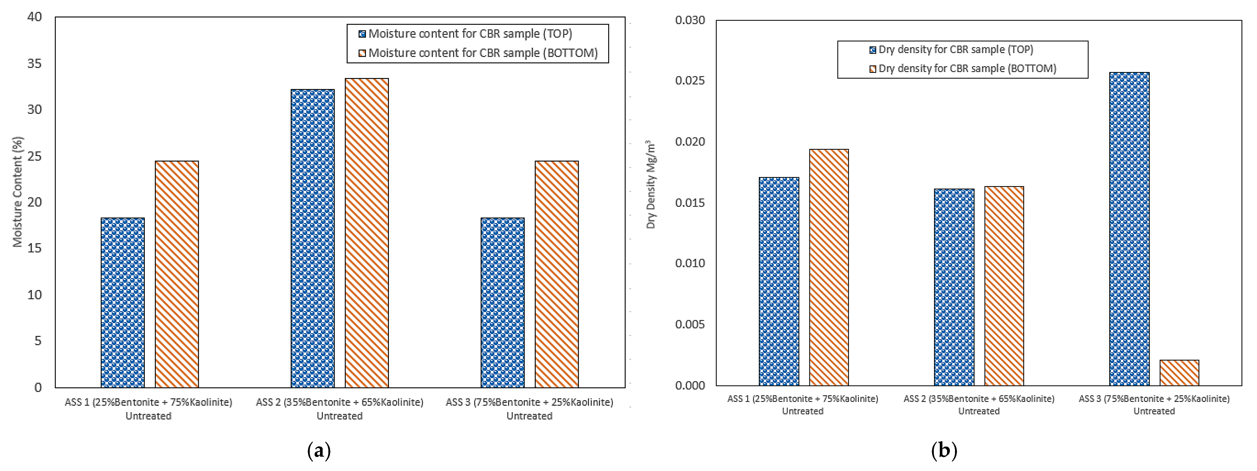
3.2. Moisture Content and Dry Density Test of CBR Sample
3.3. California Bearing Ratio (CBR)
3.3.1. Untreated ASS Materials
3.3.2. Treated ASS Materials
3.4. Swell for ASS Materials
3.4.1. Untreated ASS Materials
3.4.2. Treated ASS Materials
3.5. Microstructural Properties of Treated Subgrade Material
3.6. Road Pavement Thickness and Construction Depth Optimization
4. Conclusions
- A reduction in pavement thickness with an increase in CBR value and a significant difference in pavement thickness between subgrade CBR values of 2% and 100% was observed. Pavement construction depth reduced as the CBR value increased, and pavement construction depth increased as traffic load increased. The deepest pavement depth value was recorded for the CBR value of 2% for heavy traffic, and the least pavement construction depth was recorded for the CBR value of 100% for the light traffic load.
- Preliminary test results showed a high plasticity index, liquid limit and moisture content for the untreated subgrade materials with an increase in bentonite content in the mix. Swell values for all untreated CBR samples crossed the 2.5% unacceptable region, making them unsuitable for use as subgrade material, while all swell values for treated CBR samples fell below the 2.5% region, making them suitable for use in road construction. High swell values were recorded for samples with high bentonite content after 28 days of observation.
- The engineering properties of the expansive subgrade materials were improved after treatment using lime and cement as additives. High swell values were recorded for samples composed of high bentonite content compared with samples with high kaolinite content. Swell potentials of ASS materials were reduced drastically from 56.76% to 0.04%, below the unacceptable subgrade swell value of >2.5%, after treatment using lime and cement as binders.
- All untreated-soaked CBR samples fell below the 2% unacceptable region, making them unsuitable for use, while all treated-soaked and treated-unsoaked CBR samples crossed the acceptable 2% region, making them suitable for use in road construction. An increase in CBR values was observed as bentonite content increased for treated, untreated and soaked ASS samples. This shows that bentonite is strong in compression when it dries after coming in contact with water and is weak in compression when wet. It was established that the bearing capacity and strength of bentonite can be affected by binders (cement and lime) used during the stabilization process.
- The study recommends that expansive subgrade materials found on-site during road construction should be stabilized or treated to improve their engineering properties inserted by removing and replacing them with imported materials. Stabilizing weak subgrade materials can reduce the overall road construction costs compared to the cost of removal and replacement of weak subgrades. Road pavement construction costs can also be reduced by achieving high CBR values after stabilization, resulting in thinner road pavement thickness.
Author Contributions
Funding
Institutional Review Board Statement
Informed Consent Statement
Data Availability Statement
Acknowledgments
Conflicts of Interest
References
- Dhir, R.K.; de Brito, J.; Silva, R.V.; Lye, C.Q. 12—Use of recycled aggregates in road pavement applications. In Sustainable Construction Materials; Elsevier: Amsterdam, The Netherlands, 2019; pp. 451–494. [Google Scholar] [CrossRef]
- Amakye, S.Y.; Abbey, S.J. Understanding the performance of expansive subgrade materials treated with non-traditional stabilisers: A Review. Clean. Eng. Technol. 2021, 4, 100159. [Google Scholar] [CrossRef]
- Amakye, S.Y.; Abbey, S.J.; Booth, C.A.; Mahamadu, A. Enhancing the engineering properties of subgrade materials using processed waste: A review. Geotechnics 2021, 1, 307–329. [Google Scholar] [CrossRef]
- Li, J.; Cameron, D.A.; Ren, G. Case study and back analysis of a residential building damaged by expansive soils. Comput. Geotech. 2014, 56, 89–99. [Google Scholar] [CrossRef] [Green Version]
- Jones, L.D.; Jefferson, I. Institution of Civil Engineers Manuals Series. 2019. Available online: http://nora.nerc.ac.uk/id/eprint/17002/1/C5_expansive_soils_Oct.pdf (accessed on 29 November 2021).
- López-Lara, T.; Hernández-Zaragoza, J.; Horta-Rangel, J.; Rojas-González, E.; López-Ayala, S.; Castaño, V. Expansion reduction of clayey soils through Surcharge application and Lime Treatment. Case Stud. Constr. Mater. 2017, 7, 102–109. [Google Scholar] [CrossRef]
- Phanikumar, B.R.; Raju, E.R. Compaction and strength characteristics of expansive clay stabilised with lime sludge and cement. Soils Found. 2020, 60, 129–138. [Google Scholar] [CrossRef]
- Rivera, J.F.; Orobio, A.; Mejía de Gutiérrez, R.; Cristelo, N. Clayey soil stabilisation using alkali-activated cementitious materials. Mater. Construcción 2020, 70, e211. [Google Scholar] [CrossRef]
- Jalal, F.E.; Xu, Y.; Jamhiri, B.; Memon, S.A. On the Recent Trends in Expansive Soil Stabilisation Using Calcium-Based Stabiliser Materials (CSMs): A Comprehensive Review. Adv. Mater. Sci. Eng. 2020, 2020, 1510969. [Google Scholar] [CrossRef] [Green Version]
- Ikeagwuani, C.C.; Nwonu, D.C. Emerging trends in expansive soil stabilisation: A review. J. Rock Mech. Geotech. Eng. 2018, 11, 423–440. [Google Scholar] [CrossRef]
- Jawad, I.T.; Taha, M.R.; Majeed, Z.H.; Khan, T.A. Soil Stabilisation Using Lime: Advantages, Disadvantages and Proposing a Potential Alternative Research. J. Appl. Sci. Eng. Technol. 2014, 8, 510–520. [Google Scholar] [CrossRef]
- Neville, A.M. Properties of Concrete, 5th ed.; Pearson: Harlow, UK; New York, NY, USA; Available online: https://pdfcoffee.com/properties-of-concrete-fifth-edition-a-m-neville-pdf-pdf-free.html (accessed on 2 October 2021).
- Walker, P. Review and Experimental Comparison of erosion tests or Earth Blocks. In Terra 2000 Postprints: Proceedings of the 8th International Conference on the Study and Conservation of Earthen Architecture, Torquay, Devon, UK, May 2000; James & James: London, UK, 2000. [Google Scholar]
- Abbey, S.J.; Ngambi, S.; Olubanwo, A.O.; Tetteh, F.K. Strength and Hydraulic Conductivity of Cement and By-Product Cementitious Materials Improved Soil. Int. J. Appl. Eng. Res. 2018, 13, 8684–8694. [Google Scholar]
- Gooding, D.E.; Thomas, T.H. The Potential of Cement Stabilised or Treated Building Blocks as an Urban Building Material in Developing Countries. DTU Working Paper No. 44. 1995. 2021. Available online: https://warwick.ac.uk/fac/sci/eng/research/grouplist/structural/dtu/pubs/wp/wp44/wp44_.pdf (accessed on 18 November 2021).
- Karimiazar, J.; Teshnizi, E.S.; Mirzababaei, M.; Mahdad, M.; Arjmandzadeh, R. California bearing ratio of a reactive clay treated with nano-additives and cement. J. Mater. Civ. Eng. 2022, 34, 04021431. [Google Scholar] [CrossRef]
- Cabezas, R.; Cataldo, C.; Choudhary, A.K. Influence of chemical stabilisation method and its effective additive concentration (EAC) in non-pavement roads. A study in andesite-based soils. Cogent Eng. 2019, 6, 1592658. [Google Scholar] [CrossRef]
- Aliyazıcıoğlu, Ş.; Külekçi, G. Investigation of Usability of Limestone and Basalt Type Rocks as Road Infrastructure Fiilling, Trabzon Çatak Case. In Proceedings of the Internationally participated Cappadocia Geosciences Symposium, Niğde, Turkey, 24–26 October 2018; pp. 207–211. [Google Scholar]
- Külekçi, G.; Yılmaz, A.O. The Investigation of Usage of Trabzon (Düzköy) Region Volcanites as Filling Material for Roads. In Proceedings of the 8th International Aggregates Symposium, Kutahya, Turkey, 13–14 October 2016; pp. 400–405. [Google Scholar]
- Lucena, L.C.I.; Juca, J.F.T.; Soares, J.B.; Filho, P.G.T. Use of wastewater sludge for base and subbase of road pavements. Trans. Res. Part D Trans. Env. 2014, 33, 210–219. [Google Scholar] [CrossRef]
- Boardman, D.I.; Glendinning, S.; Rogers, C.D.F. Development of stabilisation and solidification in lime-clay mixes. Geotechnique 2001, 51, 533–543. [Google Scholar] [CrossRef]
- Ingles, O.G.; Metcalf, J.B. Soil Stabilisation; Butterworth Pty. Ltd.: Killara, Australia, 1972. [Google Scholar]
- Ingles, O.H. Soil Stabilisation. Chapter 38. In Ground Engineer’s Reference Book; Bell, F.G., Ed.; Butterworths: London, UK, 1987; pp. 38/1–38/26. [Google Scholar]
- Jha, A.K.; Sivapullaiah, P.V. Lime stabilization of soil: Aphysico-chemical and micro-mechanistic perspective. Indian Geotech. J. 2019, 50, 339–347. [Google Scholar] [CrossRef]
- Wang, Y.; Guo, P.; Li, X.; Lin, H.; Liu, Y.; Yuan, H. Behaviour of fibre-reinforced and lime-stabilised or treated clayey soil in triaxial test. Appl. Sci. 2019, 9, 900. [Google Scholar] [CrossRef] [Green Version]
- Reddi, L.; Inyang, H.I. Environmental Engineering: Principles and Applications; CRC Press: Boca Raton, FL, USA, 2000; ISBN 9780824700454. [Google Scholar]
- Etim, R.K.; Attah, I.C.; Ekpo, D.U.; Usanga, I.N. Evaluation on stabilisation role of lime and cement in expansive black clay-Oyster shell ash composite. Transp. Infrastruct. Geotechnol. 2021, 1–35. [Google Scholar] [CrossRef]
- Cheng, Y.; Huang, X. Effect of Mineral Additives on the Behavior of an Expansive Soil for Use in Highway Subgrade Soils. Appl. Sci. 2019, 9, 30. [Google Scholar] [CrossRef] [Green Version]
- Liang, S.; Chen, J.; Guo, M.; Feng, D.; Liu, L.; Qi, T. Utilisation of pretreated municipal solid waste incineration fly ash for cement-stabilised or treated soil. Waste Manag. 2020, 105, 425–432. [Google Scholar] [CrossRef]
- Nazari, Z.; Tabarsa, A.; Latifi, N. Effect of compaction delay on the strength and consolidation properties of cement-stabilised or treated subgrade soil. Transp. Geotech. 2021, 27, 100495. [Google Scholar] [CrossRef]
- Lepore, B.J.; Thompson, A.M.; Petersen, A. Impact of polyacrylamide delivery method with lime or gypsum for oil and nutrient stabilisation. J. Soil Water Conserv. 2009, 64, 223–231. [Google Scholar] [CrossRef]
- BS EN 197-1; Cement Composition, Specifications and Conformity Criteria for Common Cements. British Standards Institution: London, UK, 2011.
- BS EN 459-1; Building Lime—Definitions, Specifications and Conformity Criteria. British Standards Institution: London, UK, 2015.
- BS 1924-1; Stabilised or Treated Materials for Civil Engineering Purposes—General Requirements, Sampling, Sample Preparation and Test on Materials before Stabilization. British Standards Institution: London, UK, 2018.
- BS EN ISO 17892-1; Geotechnical Investigation and Testing. Laboratory Testing of Soil—Determination of Water Content. British Standards Institution: London, UK, 2014.
- BS EN ISO 17892-12:2018+A1; Geotechnical Investigation and Testing. Laboratory Testing of Soil Determination of Liquid and Plastic Limits. British Standards Institution: London, UK, 2021.
- BS 1377-4; Methods of Test for Soils for Civil Engineering Purposes—Compaction—Related Tests. British Standards Institution: London, UK, 1990.
- AASHTO T265; Standard Method of Test for Laboratory Determination of Moisture Content of Soil. AASHTO: Washington, DC, USA, 2015.
- ASTM D2216; Standard Test Method for Laboratory Determination of Water (Moisture) Content of Soil and Rock by Mass. AASHTO: Washington, DC, USA, 2019. Available online: www.astm.org (accessed on 9 February 2022).
- ASTM D4318-17e1; Standard Test Method for Liquid Limit, Plastic Limit, and Plasticity Index of Soils. AASHTO: Washington, DC, USA, 2017. Available online: www.astm.org (accessed on 9 February 2022).
- AASHTO T90; Standard Method of Test for Determining the Plastic Limit and Plasticity Index of Soils. AASHTO: Washington, DC, USA, 2020.
- AASHTO T 89; Standard Method of Test for Determining the Liquid Limit of Soils. AASHTO: Washington, DC, USA, 2013.
- BS EN 13286-47; Unbound and Hydraulically Bound Mixtures—Test Methods for the Determination of California Bearing Ratio, Immediate Bearing Index and Linear Swelling. British Standards Institution: London, UK, 2021.
- Southern Testing Environmental & Geotechnical. Available online: https://www.southerntesting.co.uk/services/ground-site-investigation-consultants/cbr-test/ (accessed on 18 September 2021).
- IRC 37-2001; Guidelines for the Design of Flexible Pavements. Indian Roads Congress: New Delhi, India, 2001.
- The Constructor Building Ideas (TCBI). Available online: https://theconstructor.org/transportation/flexible-pavement-design-cbr-method/11442/ (accessed on 14 November 2021).
- DMRB HA 74; Treatment of Fill and Capping Materials using Either Lime or Cement or Both. Highways Agency: London, UK, 2007.
- Virginia Department of Transport (VDOT). 2016. Available online: https://pdf4pro.com/amp/view/construction-and-acceptance-testing-of-1fa6ed.html (accessed on 14 November 2021).
- DMRB CD 226; Design for New Pavement Construction. Highways Agency: London, UK, 2021.
- BS EN 13286-49; Unbound and Hydraulically Bound Mixtures—Accelerated Swelling Test for Soil Treated by Lime and/or Hydraulic Binder. British Standards Institution: London, UK, 2004.
- Parihar, N.S.; Gupta, A. Strength and Microstructural Behaviour of Expansive Soil Treated with Limed Leather Waste Ash; Blue Eyes Intelligence Engineering & Sciences Publication: Bhopal, India, 2020; Volume 9, ISSN 2278-3075. [Google Scholar] [CrossRef]
- Sharma, A.K.; Sivapullaiah, P.V. Ground granulated blast furnace slag amended fly ash as an expansive soil stabiliser. Soils Found. 2015, 56, 205–212. [Google Scholar] [CrossRef]
- Abbey, S.J.; Eyo, E.U.; Ng’ambi, S. Swell and microstructural characteristics of high-plasticity clay blended with cement. Bull. Eng. Geol. Environ. 2020, 79, 2119–2130. [Google Scholar] [CrossRef] [Green Version]
- Asad, M.; Kar, S.; Ahmeduzzaman, M.; Hassan, M. Suitability of bentonite clay: An analytical approach. Earth Sci. 2013, 2, 88–95. [Google Scholar] [CrossRef]
- O’Geen, A.T. Soil water dynamics. Nat. Educ. Knowl. 2013, 4, 9. Available online: https://www.nature.com/scitable/knowledge/library/soil-water-dynamics-103089121/ (accessed on 30 November 2021).
- Schanz, T.; Elsawy, M.B.D. Swelling characteristics and shear strength of highly expansive clay–lime mixtures: A comparative study. Arab. J. Geosci. 2015, 8, 7919–7927. [Google Scholar] [CrossRef]
- IAN 73; Design Guidance for Road Pavement Foundations. Highways Agency: London, UK, 2006.
- Hashemi, M.A.; Zine, N.; Massart, T.J. Lime-treatment of sand improved by bentonite addition. In Proceedings of the 2012 Conference: European Young Technical Engineers Conference (EYGEC), Gothenburg, Sweden, 26–29 August 2012. [Google Scholar]
- Parthiban, D.; Vijayan, D.S.; Hausik, J.; Rahman, A.A.; Veerachandru, K. Performance study on clayey soil stabilized by lime and geopolymer with partial replacement of sodium bentonite as an additive 2020. AIP Conf. Proc. 2020, 2271, 030003. [Google Scholar] [CrossRef]
- Gratchev, I.; Pitawala, S.; Gurung, N.; Monteiro, E. A Chart to Estimate CBR of Plastic Soils. 2018. Available online: https://www.researchgate.net/publication/324557522_A_CHART_TO_ESTIMATE_CBR_OF_PLASTIC_SOILS (accessed on 9 February 2022).
- Thakur, Y.; Yadav, R.K. Effect of bentonite clay on compaction, CBR and shear behaviour of Narmada sand. Int. Res. J. Eng. Technol. 2018, 5, 2087–2090. [Google Scholar]
- Global Road Technology, Subgrade Reactivity Considerations in Pavement Design. 2021. Available online: https://globalroadtechnology.com/subgrade-reactivity-considerations-pavement-design/ (accessed on 9 February 2022).
- Shi, D.; Tong, H.; Lv, M.; Zhang, H.; Wang, H.; Luo, L.; Ma, J.; Ma, C.; Luo, D.; Zhao, X.; et al. Effect of Ca-Si-Al element proportion on the formation of Aluminosilicate minerals and detoxification of PAHs in fly ash from MSW incineration during the hydrothermal process. American Chemical Society. Energy Fuels 2021, 35, 9474–9488. [Google Scholar] [CrossRef]
- Abbey, S.J.; Eyo, E.U.; Jeremiah, J.J. Experimental study on early age characteristics of lime-GGBS-Treated gypseous clays under wet-dry cycles. Geotechnics 2021, 1, 402–415. [Google Scholar] [CrossRef]
- The Construction, Road Construction. 2022. Available online: https://www.designingbuildings.co.uk/wiki/Road_construction (accessed on 10 March 2022).
- Nunn, M.E.; Brown, A.; Weston, D.; Nicholls, J.C. Design of Long-Life Flexible Pavements for Heavy Traffic, Prepared for British Aggregate Construction Mat, Indust, and the Refined Bitumen Associ; Transport Research Laboratory: Crowthorn, UK, 1997; Available online: https://www.trl.co.uk/Uploads/TRL/Documents/TRL250---Design-of-long-life-flexible-pavements-for-heavy-traffic.pdf (accessed on 10 March 2022).
- Li, S. Heavy Duty Pavements; South Dakota School of Mines and Technology: Rapid City, SD, USA, 1964. [Google Scholar]

















| Cement/Lime Treated Subgrade | |
|---|---|
|
|
| Subgrade Removal and Replacement | |
| Time-consuming, Very costly and Greater environmental impact | |
| Oxide | SiO2 | Al2O3 | Fe2O3 | FeO | MgO | CaO | K2O | SO3 | TiO2 | Na2O | BaO | Cr2O3 | Trace | L.O.I |
|---|---|---|---|---|---|---|---|---|---|---|---|---|---|---|
| Bentonite clay | 63.02 | 21.08 | 3.25 | 0.35 | 2.67 | 0.65 | - | - | - | 2.57 | - | - | 0.72 | 5.64 |
| Kaolinite clay | 48.5 | 36.0 | 1.00 | - | 0.30 | 0.2 | 2.15 | - | 0.06 | 0.15 | - | - | - | 11.7 |
| Cement (%) | 20 | 6.0 | 3.0 | - | 4.21 | 63 | - | 2.30 | - | - | - | - | - | 0.80 |
| Lime (%) | 3.25 | 0.19 | 0.16 | - | 0.45 | 89.2 | 0.04 | 2.05 | - | - | - | - | - | - |
| Mineralogy | Kaolinite (%) | Quartz (%) | Na-Montmorillonite (%) | Feldspar (%) | Calcite (%) | Micaceous Materials (%) | Organic Material (%) |
|---|---|---|---|---|---|---|---|
| Chemical formula | Al2Si2O5OH)4 | SiO2 | Na33Mg33Al1.67Si4O10(OH)2 | CaAlSi3O8 | CaCO3 | - | - |
| Bentonite clay | 0 | 18 | 20 | 0 | 3 | 0 | 0 |
| Kaolinite clay | 84 | 48 | 0 | 1 | 0 | 13 | 2 |
| Properties | Kaolinite Clay | Bentonite Clay |
|---|---|---|
| Consistency limits | ||
| Liquid limit wL (%) | 59 | 310 |
| Plastic limit wP (%) | 28 | 49 |
| Plasticity index IP (%) | 31 | 261 |
| Other physical properties | ||
| Water absorption | - | 16.0 |
| Density | 2.4 | 2.5 at 20 |
| Bulk density glcc | - | 1.18 |
| Maximum dry density (kN/m3) | 14.21 | 11.26 |
| Relative density g/cm3 | 1.8 | 2.7 |
| Solubility in water (g/L) | Insoluble | Insoluble |
| Natural moisture content (%) | 28 | 14 |
Publisher’s Note: MDPI stays neutral with regard to jurisdictional claims in published maps and institutional affiliations. |
© 2022 by the authors. Licensee MDPI, Basel, Switzerland. This article is an open access article distributed under the terms and conditions of the Creative Commons Attribution (CC BY) license (https://creativecommons.org/licenses/by/4.0/).
Share and Cite
Amakye, S.Y.O.; Abbey, S.J.; Booth, C.A.; Oti, J. Road Pavement Thickness and Construction Depth Optimization Using Treated and Untreated Artificially-Synthesized Expansive Road Subgrade Materials with Varying Plasticity Index. Materials 2022, 15, 2773. https://doi.org/10.3390/ma15082773
Amakye SYO, Abbey SJ, Booth CA, Oti J. Road Pavement Thickness and Construction Depth Optimization Using Treated and Untreated Artificially-Synthesized Expansive Road Subgrade Materials with Varying Plasticity Index. Materials. 2022; 15(8):2773. https://doi.org/10.3390/ma15082773
Chicago/Turabian StyleAmakye, Samuel Y. O., Samuel J. Abbey, Colin A. Booth, and Jonathan Oti. 2022. "Road Pavement Thickness and Construction Depth Optimization Using Treated and Untreated Artificially-Synthesized Expansive Road Subgrade Materials with Varying Plasticity Index" Materials 15, no. 8: 2773. https://doi.org/10.3390/ma15082773
APA StyleAmakye, S. Y. O., Abbey, S. J., Booth, C. A., & Oti, J. (2022). Road Pavement Thickness and Construction Depth Optimization Using Treated and Untreated Artificially-Synthesized Expansive Road Subgrade Materials with Varying Plasticity Index. Materials, 15(8), 2773. https://doi.org/10.3390/ma15082773

