Influence of Multiple Factors on the Workability and Early Strength Development of Alkali-Activated Fly Ash and Slag-Based Geopolymer-Stabilized Soil
Abstract
:1. Introduction
2. Materials and Test Program
2.1. Materials
2.2. Mix Proportions and Sample Preparation
2.3. Test Methods
2.3.1. Setting Time
2.3.2. Fluidity
2.3.3. Unconfined Compressive Strength (UCS)
3. Results and Discussion
3.1. Setting Time
3.2. Fluidity
3.3. Strength Development
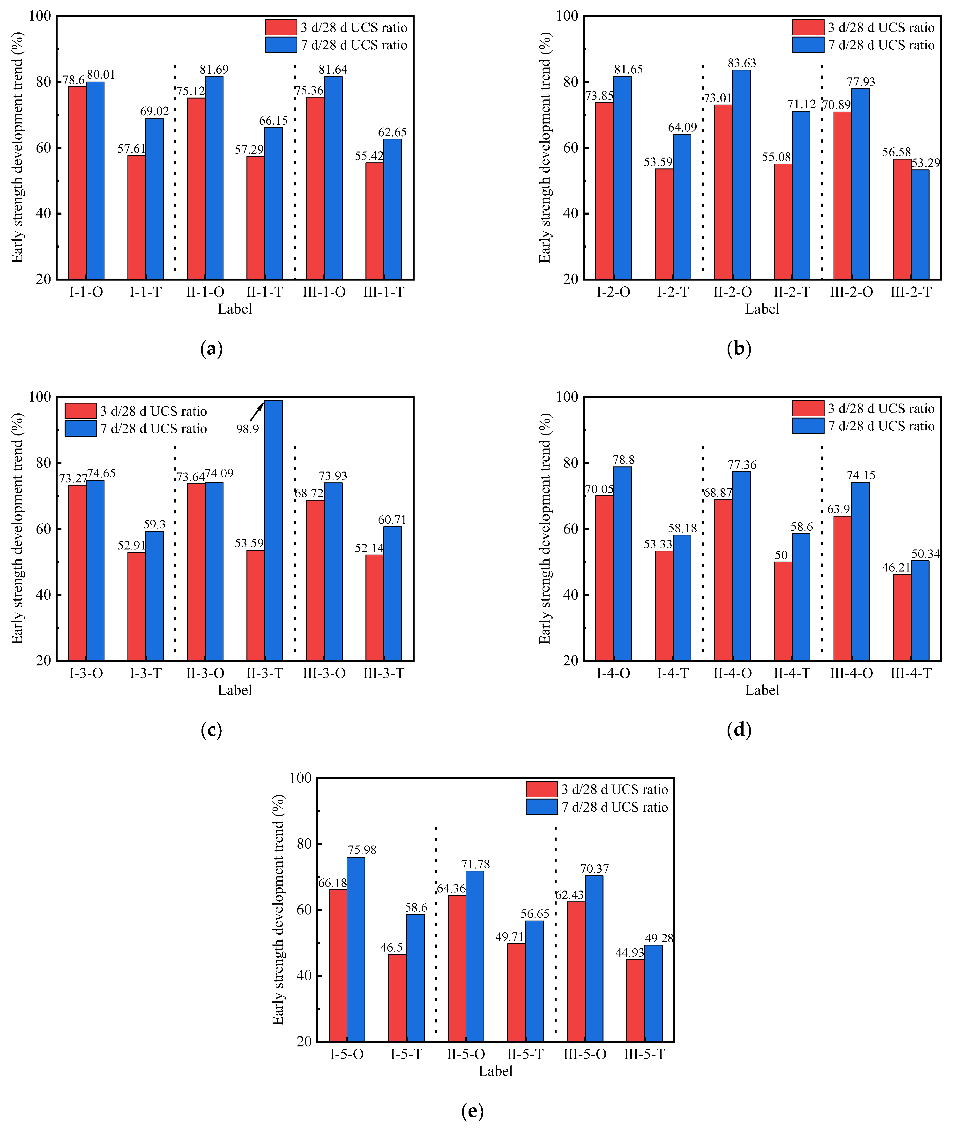
3.3.1. Effects of the Preparation Methods on the UCS of Stabilized Soil
3.3.2. Effect of the Fly Ash/Slag Ratio on the UCS of Stabilized Soil
3.3.3. Effect of the Alkali Activator Modulus on the UCS of Stabilized Soil
4. Conclusions
- (1).
- The development trend of the setting time of the fly ash and slag-based geopolymer-stabilized soil was identical to the fluidity. The setting time and fluidity values of the stabilized soils prepared by the one-step method were slightly lower than those prepared by the two-step method. With increases in of the modulus of the alkali activator or the proportion of fly ash, the setting time of stabilized soil was gradually prolonged, and the fluidity increased.
- (2).
- The one-step method improved the early strength development rate and UCS value stability of the geopolymer-stabilized soil. The 3 d/28 d UCS ratios of the stabilized soil prepared by the one-step method were 62.43–78.60%, and the 7 d/28 d UCS ratios were 70.37–83.63%. As for the stabilized soil prepared by the two-step method, the 3 d/28 d UCS ratios were 44.93–57.61%, and the 7 d/28 d UCS ratios were 49.27–71.12%.
- (3).
- By using the one-step method, the UCS value of stabilized soil first increased and then decreased with the increase of the fly ash/slag ratio when the alkali activator modulus was 0.9–1.2, while the UCS of stabilized soil at each age gradually decreased with the increase of fly ash/slag ratio when the alkali activator modulus was 1.5–2.1.
Author Contributions
Funding
Institutional Review Board Statement
Informed Consent Statement
Data Availability Statement
Acknowledgments
Conflicts of Interest
References
- Chen, W.; Zhu, Z. Utilization of Fly Ash to Enhance Ground Waste Concrete-Based Geopolymer. Adv. Mater. Sci. Eng. 2018, 4793917. [Google Scholar] [CrossRef] [Green Version]
- Cloete, S.; Giuffrida, A.; Romano, M.C.; Zaabout, A. The Swing Adsorption Reactor Cluster for Post-combustion CO2 Capture from Cement Plants. J. Clean. Prod. 2019, 223, 692–703. [Google Scholar] [CrossRef]
- He, Z.; Zhu, X.; Wang, J.; Mu, M.; Wang, Y. Comparison of CO2 Emissions from OPC and Recycled Cement Production. Constr. Build. Mater. 2019, 211, 965–973. [Google Scholar] [CrossRef]
- Huseien, G.F.; Hamzah, H.K.; Sam, A.R.M.; Khalid, N.H.A.; Shah, K.W.; Deogrescu, D.P.; Mirza, J. Alkali-activated Mortars Blended with Glass Bottle Waste Nano Powder: Environmental Benefit and Sustainability. J. Clean. Prod. 2020, 243, 118636. [Google Scholar] [CrossRef]
- Turner, L.K.; Collins, F.G. Carbon Dioxide Equivalent (CO2-e) Emissions: A Comparison between Geopolymer and OPC Cement Concrete. Constr. Build. Mater. 2013, 43, 125–130. [Google Scholar] [CrossRef]
- Vieira, D.R.; Calmon, J.L.; Coelho, F.Z. Life Cycle Assessment (LCA) Applied to the Manufacturing of Common and Ecological Concrete: A Review. Constr. Build. Mater. 2016, 124, 656–666. [Google Scholar] [CrossRef]
- Singh, B.; Ishwarya, G.; Gupta, M.; Bhattacharyya, S.K. Geopolymer Concrete: A Review of Some Recent Developments. Constr. Build. Mater. 2015, 85, 78–90. [Google Scholar] [CrossRef]
- Li, Z.; Zhang, W.; Wang, R.; Chen, F.; Jia, X.; Cong, P. Effects of Reactive MgO on the Reaction Process of Geopolymer. Materials 2019, 12, 526. [Google Scholar] [CrossRef] [Green Version]
- Taye, E.A.; Roether, J.A.; Schubert, D.W.; Redda, D.T.; Boccaccini, A.R. Hemp Fiber Reinforced Red Mud/Fly Ash Geopolymer Composite Materials: Effect of Fiber Content on Mechanical Strength. Materials 2021, 14, 511. [Google Scholar] [CrossRef]
- Zulkifli, N.N.I.; Abdullah, M.M.A.; Przybyl, A.; Pietrusiewicz, P.; Salleh, M.A.A.M.; Aziz, I.H.; Kwiatkowski, D.; Gacek, M.; Gucwa, M.; Chaiprapa, J. Influence of Sintering Temperature of Kaolin, Slag, and Fly Ash Geopolymers on the Microstructure, Phase Analysis, and Electrical Conductivity. Materials 2021, 14, 2213. [Google Scholar] [CrossRef]
- Rahmawati, C.; Aprilia, S.; Saidi, T.; Aulia, T.B.; Hadi, A.E. The Effects of Nanosilica on Mechanical Properties and Fracture Toughness of Geopolymer Cement. Polymers 2021, 13, 2178. [Google Scholar] [CrossRef]
- Wielgus, N.; Kubica, J.; Gorski, M. Influence of the Composition and Curing Time on Mechanical Properties of Fluidized Bed Combustion Fly Ash-Based Geopolymer. Polymers 2021, 13, 2527. [Google Scholar] [CrossRef] [PubMed]
- Shi, X.; Zhang, C.; Wang, X.; Zhang, T.; Wang, Q. Response Surface Methodology for Multi-objective Optimization of Fly Ash-GGBS Based Geopolymer Mortar. Constr. Build. Mater. 2022, 315, 125644. [Google Scholar] [CrossRef]
- Ng, Y.S.; Liew, Y.M.; Heah, C.Y.; Abdullah, M.M.A.; Chan, L.W.L.; Ng, H.T.; Ong, S.W.; Ooi, W.E.; Hang, Y.J. Evaluation of Flexural Properties and Characterisation of 10-mm Thin Geopolymer Based on Fly Ash and Ladle Furnace Slag. J. Mater. Res. Technol. 2021, 15, 163–176. [Google Scholar]
- Soutsos, M.; Boyle, A.P.; Vinai, R.; Hadjierakleous, A.; Barnett, S.J. Factors Influencing the Compressive Strength of Fly Ash Based Geopolymers. Constr. Build. Mater. 2016, 110, 355–368. [Google Scholar] [CrossRef] [Green Version]
- Zhang, B.; Zhu, H.; Cheng, Y.; Huseien, G.F.; Shah, K.W. Shrinkage mechanisms and shrinkage-mitigating strategies of alkali-activated slag composites: A critical review. Constr. Build. Mater. 2022, 318, 125993. [Google Scholar] [CrossRef]
- Behnood, A. Soil and Clay Stabilization with Calcium- and Non-Calcium-Based Additives: A State-of-the-Art Review of Challenges, Approaches and Techniques. Transp. Geotech. 2018, 17, 14–32. [Google Scholar] [CrossRef]
- Huang, J.; Kogbara, R.B.; Hariharan, N.; Masad, E.A.; Little, D.N. A State-of-the-Art Review of Polymers Used in Soil Stabilization. Constr. Build. Mater. 2021, 305, 124685. [Google Scholar] [CrossRef]
- Qian, L.; Xu, L.; Alrefaei, Y.; Wang, T.; Ishida, T.; Dai, J. Artificial Alkali-Activated Aggregates Developed from Wastes and by-Products: A State-of-the-Art Review. Resour. Conserv. Recycl. 2022, 177, 105971. [Google Scholar] [CrossRef]
- Ren, B.; Zhao, Y.; Bai, H.; Kang, S.; Zhang, T.; Song, S. Eco-Friendly Geopolymer Prepared from Solid Wastes: A Critical Review. Chemosphere 2021, 267, 128900. [Google Scholar] [CrossRef]
- Farooq, F.; Xin, J.; Javed, M.F.; Akbar, A.; Shah, M.I.; Aslam, F.; Alyousef, R. Geopolymer Concrete as Sustainable Material: A State of the Art Review. Constr. Build. Mater. 2021, 306, 124762. [Google Scholar] [CrossRef]
- Li, Z.; Zhang, S.; Zuo, Y.; Chen, W.; Ye, G. Chemical Deformation of Metakaolin Based Geopolymer. Cem. Concr. Res. 2019, 120, 108–118. [Google Scholar] [CrossRef]
- Yu, J.; Chen, Y.; Chen, G.; Tang, T.; Guo, Y. Experimental Study on Geopolymer Stabilized Clay Mechanical Behaviour and Its Stabilization Mechanism. J. Build. Mater. 2014, 42, 1–8. (In Chinese) [Google Scholar]
- Panda, B.; Paul, S.C.; Hui, L.J.; Tay, Y.W.D.; Tan, M.J. Additive Manufacturing of Geopolymer for Sustainable Built Environment. J. Clean. Prod. 2017, 167, 281–288. [Google Scholar] [CrossRef]
- Sun, Z.; Lin, X.; Vollpracht, A. Pervious Concrete Made of Alkali Activated Slag and Geopolymers. Constr. Build. Mater. 2018, 189, 797–803. [Google Scholar] [CrossRef]
- Rios, S.; Catarina, R.; Da Fonseca, A.V.; Cruz, N.; Rodrigues, C. Colombian Soil Stabilized with Geopolymers for Low Cost Roads. Procedia Eng. 2016, 143, 1392–1400. [Google Scholar] [CrossRef] [Green Version]
- Cristelo, N.; Glendinning, S.; Pinto, A.T. Deep Soft Soil Improvement by Alkaline Activation. Proc. Inst. Civ. Eng.-Gr. Improv. 2011, 164, 73–82. [Google Scholar] [CrossRef] [Green Version]
- Yaghoubi, M.D.; Arulrajah, A.; Disfani, M.M.; Horpibulsuk, S.; Bo, M.W.; Darmawan, S. Effects of Industrial By-Product Based Geopolymers on the Strength Development of a Soft Soil. Soils Found. 2018, 58, 716–728. [Google Scholar] [CrossRef]
- Dassekpo, J.B.M.; Zha, X.; Zhan, J. Synthesis Reaction and Compressive Strength Behavior of Loess-Fly Ash Based Geopolymers for the Development of Sustainable Green Materials. Constr. Build. Mater. 2017, 141, 491–500. [Google Scholar] [CrossRef]
- Rafiean, A.H.; Kani, E.N.; Haddad, A. Mechanical and Durability Properties of Poorly Graded Sandy Soil Stabilized with Activated Slag. J. Mater. Civil. Eng. 2020, 32, 04019324. [Google Scholar] [CrossRef]
- Singhi, B.; Laskar, A.I.; Ahmed, M.A. Investigation on Soil-Geopolymer with Slag, Fly Ash and Their Blending. Arab. J. Sci. Eng. 2016, 41, 393–400. [Google Scholar] [CrossRef]
- Mozumder, R.A.; Laskar, A.I. Prediction of Unconfined Compressive Strength of Geopolymer Stabilized Clayey Soil Using Artificial Neural Network. Comput. Geotech. 2015, 69, 291–300. [Google Scholar] [CrossRef]
- Tian, Q.; Sun, D.; Gua, Z.; Lv, Z. Influences of Characteristics of the Alkaline Activator on the Compressive Strength and Microstructure of the Fly Ash-Based Geopolymer Pastes. J. Ceram. Process. Res. 2020, 21, 358–364. [Google Scholar]
- Provis, J.L.; Yong, C.Z.; Duxson, P.; Deventer, J. Correlating Mechanical and Thermal Properties of Sodium Silicate-Fly Ash Geopolymers. Colloid Surf. A 2009, 336, 57–63. [Google Scholar] [CrossRef]
- Du, Y.; Yu, B.; Liu, K.; Jiang, N.; Liu, M. Physical, Hydraulic, and Mechanical Properties of Clayey Soil Stabilized by Lightweight Alkali-Activated Slag Geopolymer. J. Mater. Civ. Eng. 2016, 29, 04016217. [Google Scholar] [CrossRef] [Green Version]
- Phummiphan, I.; Horpibulsuk, S.; Sukmak, P.; Chinkulkijniwat, A.; Arulrajah, A.; Shen, S.-L. Stabilisation of Marginal Lateritic Soil Using High Calcium Fly Ash-Based Geopolymer. Road Mater. Pavem. Des. 2016, 17, 877–891. [Google Scholar] [CrossRef]
- Arulrajah, A.; Yaghoubi, M.; Disfani, M.M.; Horpibulsuk, S.; Bo, M.W.; Leong, M. Evaluation of Fly ash-and Slag-Based Geopolymers for the Improvement of a Soft Marine Clay by Deep Soil Mixing. Soils Found. 2018, 58, 1358–1370. [Google Scholar] [CrossRef]
- Chen, K.; Wu, D.; Zhang, Z.; Pan, C.; Shen, X.; Xia, L.; Zang, J. Modeling and Optimization of Fly Ash-Slag-Based Geopolymer Using Response Surface Method and Its Application in Soft Soil Stabilization. Constr. Build. Mater. 2021, 23, 125723. [Google Scholar] [CrossRef]
- Luo, Z.; Luo, B.; Zhao, Y.; Li, X.; Su, Y.; Huang, H.; Wang, Q. Experimental Investigation of Unconfined Compression Strength and Microstructure Characteristics of Slag and Fly Ash-Based Geopolymer Stabilized Riverside Soft Soil. Polymers 2022, 14, 307. [Google Scholar] [CrossRef] [PubMed]
- Parthiban, D.; Vijayan, D.S.; Koda, E.; Vaverkova, M.D.; Piechowicz, K.; Osinski, P.; Duc, B.V. Role of Industrial Based Precursors in the Stabilization of Weak Soils with Geopolymer—A Review. Case Stud. Constr. Mat. 2022, 16, e00886. [Google Scholar] [CrossRef]
- Brough, A.R.; Atkinson, A. Sodium Silicate-Based, Alkali-Activated Slag Mortars: Part I. Strength, Hydration and Microstructure. Cem. Concr. Res. 2002, 32, 865–879. [Google Scholar] [CrossRef]
- Kaja, A.M.; Lazaro, A.; Yu, Q.L. Effects of Portland Cement on Activation Mechanism of Class F Fly Ash Geopolymer Cured under Ambient Conditions. Constr. Build. Mater. 2018, 189, 1113–1123. [Google Scholar] [CrossRef]
- Zhang, D.; Wang, D. Research Status of Geopolymer Concrete. Mater. Rep. A 2018, 32, 1519. (In Chinese) [Google Scholar]
- Nematollahi, B.; Sanjayan, J.; Qiu, J.S.; Yang, E.H. Micromechanics-Based Investigation of a Sustainable Ambient Temperature Cured One-Part Strain Hardening Geopolymer Composite. Constr. Build. Mater. 2017, 131, 552–563. [Google Scholar] [CrossRef]
- Nematollahi, B.; Sanjayan, J.; QIU, J.S.; Yang, E.H. High Ductile Behavior of a Polyethylene Fiber-Reinforced One-Part Geopolymer Composite: A Micromechanics-Based Investigation. Arch. Civil. Mech. Eng. 2017, 17, 555–563. [Google Scholar] [CrossRef]
- GB/T 176-2017; Methods for Chemical Analysis of Cement. Standards Press of China: Beijing, China, 2017.
- GB/T 1346-2011; Test Methods for Water Requirement of Normal Consistency, Setting Time and Soundness of the Portland Cement. Standards Press of China: Beijing, China, 2011.
- GB/T 2419-2005; Test Method for Fluidity of Cement Mortar. Standards Press of China: Beijing, China, 2005.
- Siyal, A.A.; Azizli, K.A.; Man, Z.; Ullah, H. Effects of Parameters on the Setting Time of Fly Ash Based Geopolymers Using Taguchi Method. Procedia Eng. 2016, 148, 302–307. [Google Scholar] [CrossRef] [Green Version]
- Li, N.; Shi, C.; Wang, Q.; Zhang, Z.; Qu, Z. Composition Design and Performance of Alkali-Activated Cements. Mater. Struct. 2017, 50, 178. [Google Scholar] [CrossRef]
- Karakoç, M.B.; Türkmen, I.; Maraş, M.M.; Kantarci, F.; Demirboğa, R.; Toprak, M.U. Mechanical Properties and Setting Time of Ferrochrome Slag Based Geopolymer Paste and Mortar. Constr. Build. Mater. 2014, 72, 283–292. [Google Scholar] [CrossRef]
- Ling, Y.; Wang, K.; Wang, X.; Hua, S. Effects of Mix Design Parameters on Heat of Geopolymerization, Set Time, and Compressive Strength of High Calcium Fly Ash Geopolymer. Constr. Build. Mater. 2019, 228, 116763. [Google Scholar] [CrossRef]
- Gu, G.; Xu, F.; Zhou, Y.; Huang, X.; Li, Y. Formation Mechanism of Early Strength in Geopolymer Based on Molar Ratio of Mineral Components. Acta Mater. Compos. Sin. 2020, 37, 2036–2044. (In Chinese) [Google Scholar]
- Silva, G.; Castaeda, D.; Kim, S.; Castaneda, A.; Bertolotti, B.; Ortega-San-Martin, L.; Nakamatsu, J.; Aguilar, R. Analysis of The Production Conditions of Geopolymer Matrices from Natural Pozzolana and Fired Clay Brick Wastes. Constr. Build. Mater. 2019, 215, 633–643. [Google Scholar] [CrossRef]
- Ahmari, S.; Ren, X.; Toufigh, V.; Zhang, L. Production of Geopolymeric Binder from Blended Waste Concrete Powder and Fly Ash. Constr. Build. Mater. 2012, 35, 718. [Google Scholar] [CrossRef]






| Raw Materials | SiO2 | Al2O3 | Fe2O3 | MgO | CaO | SO3 | Others | LOI |
|---|---|---|---|---|---|---|---|---|
| Fly ash | 49.04 | 27.40 | 1.53 | 0.86 | 3.23 | 1.15 | 16.79 | 2.36 |
| Slag | 34.50 | 17.70 | 1.03 | 6.01 | 34.00 | 1.64 | 5.12 | 1.83 |
| Label | Stabilizer Content/% | Alkali Activator | Fly Ash/Slag (F/S) | w/b | |
|---|---|---|---|---|---|
| Modulus (N) | Content/% | ||||
| I-1-O/T | 15 | 0.9 | 30 | 10/90 | 0.5 |
| I-2-O/T | 15 | 1.2 | 30 | 10/90 | 0.5 |
| I-3-O/T | 15 | 1.5 | 30 | 10/90 | 0.5 |
| I-4-O/T | 15 | 1.8 | 30 | 10/90 | 0.5 |
| I-5-O/T | 15 | 2.1 | 30 | 10/90 | 0.5 |
| II-1-O/T | 15 | 0.9 | 30 | 20/80 | 0.5 |
| II-2-O/T | 15 | 1.2 | 30 | 20/80 | 0.5 |
| II-3-O/T | 15 | 1.5 | 30 | 20/80 | 0.5 |
| II-4-O/T | 15 | 1.8 | 30 | 20/80 | 0.5 |
| II-5-O/T | 15 | 2.1 | 30 | 20/80 | 0.5 |
| III-1-O/T | 15 | 0.9 | 30 | 30/70 | 0.5 |
| III-2-O/T | 15 | 1.2 | 30 | 30/70 | 0.5 |
| III-3-O/T | 15 | 1.5 | 30 | 30/70 | 0.5 |
| III-4-O/T | 15 | 1.8 | 30 | 30/70 | 0.5 |
| III-5-O/T | 15 | 2.1 | 30 | 30/70 | 0.5 |
| Label | Alkali Activator Modulus (N) | Fly Ash/Slag (F/S) | UCS Value/MPa (One-Step Method) | UCS Value/MPa (Two-Step Method) | ||||
|---|---|---|---|---|---|---|---|---|
| 3 d | 7 d | 28 d | 3 d | 7 d | 28 d | |||
| I-1-O/T | 0.9 | 10/90 | 1.69 | 1.72 | 2.15 | 1.06 | 1.27 | 1.84 |
| I-2-O/T | 1.2 | 10/90 | 1.61 | 1.78 | 2.18 | 0.97 | 1.16 | 1.81 |
| I-3-O/T | 1.5 | 10/90 | 1.59 | 1.62 | 2.17 | 0.91 | 1.02 | 1.72 |
| I-4-O/T | 1.8 | 10/90 | 1.52 | 1.71 | 2.17 | 0.88 | 0.96 | 1.65 |
| I-5-O/T | 2.1 | 10/90 | 1.35 | 1.55 | 2.04 | 0.73 | 0.92 | 1.57 |
| II-1-O/T | 0.9 | 20/80 | 1.6 | 1.74 | 2.13 | 1.10 | 1.27 | 1.92 |
| II-2-O/T | 1.2 | 20/80 | 1.65 | 1.89 | 2.26 | 1.03 | 1.33 | 1.87 |
| II-3-O/T | 1.5 | 20/80 | 1.62 | 1.63 | 2.20 | 0.97 | 1.79 | 1.81 |
| II-4-O/T | 1.8 | 20/80 | 1.46 | 1.64 | 2.12 | 0.93 | 1.09 | 1.86 |
| II-5-O/T | 2.1 | 20/80 | 1.30 | 1.45 | 2.02 | 0.86 | 0.98 | 1.73 |
| III-1-O/T | 0.9 | 30/70 | 1.56 | 1.69 | 2.07 | 0.92 | 1.04 | 1.66 |
| III-2-O/T | 1.2 | 30/70 | 1.51 | 1.66 | 2.13 | 0.86 | 0.81 | 1.52 |
| III-3-O/T | 1.5 | 30/70 | 1.45 | 1.56 | 2.11 | 0.73 | 0.85 | 1.40 |
| III-4-O/T | 1.8 | 30/70 | 1.31 | 1.52 | 2.05 | 0.67 | 0.73 | 1.45 |
| III-5-O/T | 2.1 | 30/70 | 1.18 | 1.33 | 1.89 | 0.62 | 0.68 | 1.38 |
Publisher’s Note: MDPI stays neutral with regard to jurisdictional claims in published maps and institutional affiliations. |
© 2022 by the authors. Licensee MDPI, Basel, Switzerland. This article is an open access article distributed under the terms and conditions of the Creative Commons Attribution (CC BY) license (https://creativecommons.org/licenses/by/4.0/).
Share and Cite
Li, X.; Zhao, Y.; Hu, Y.; Wang, G.; Xia, M.; Luo, B.; Luo, Z. Influence of Multiple Factors on the Workability and Early Strength Development of Alkali-Activated Fly Ash and Slag-Based Geopolymer-Stabilized Soil. Materials 2022, 15, 2682. https://doi.org/10.3390/ma15072682
Li X, Zhao Y, Hu Y, Wang G, Xia M, Luo B, Luo Z. Influence of Multiple Factors on the Workability and Early Strength Development of Alkali-Activated Fly Ash and Slag-Based Geopolymer-Stabilized Soil. Materials. 2022; 15(7):2682. https://doi.org/10.3390/ma15072682
Chicago/Turabian StyleLi, Xinyu, Yufei Zhao, Yong Hu, Guanci Wang, Minmin Xia, Biao Luo, and Zhengdong Luo. 2022. "Influence of Multiple Factors on the Workability and Early Strength Development of Alkali-Activated Fly Ash and Slag-Based Geopolymer-Stabilized Soil" Materials 15, no. 7: 2682. https://doi.org/10.3390/ma15072682
APA StyleLi, X., Zhao, Y., Hu, Y., Wang, G., Xia, M., Luo, B., & Luo, Z. (2022). Influence of Multiple Factors on the Workability and Early Strength Development of Alkali-Activated Fly Ash and Slag-Based Geopolymer-Stabilized Soil. Materials, 15(7), 2682. https://doi.org/10.3390/ma15072682

