Electrochemical Properties of Multilayered Sn/TiNi Shape-Memory-Alloy Thin-Film Electrodes for High-Performance Anodes in Li-Ion Batteries
Abstract
:1. Introduction
2. Experimental
2.1. Production of Sn/TiNi Multilayer Thin Films
2.2. Materials Characterization
2.3. Electrochemical Characterization
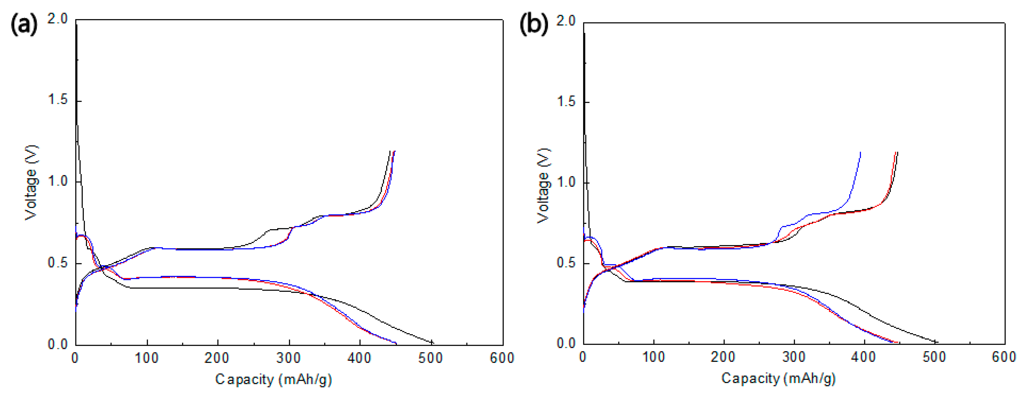
3. Results and Discussion
4. Conclusions
Author Contributions
Funding
Institutional Review Board Statement
Informed Consent Statement
Data Availability Statement
Acknowledgments
Conflicts of Interest
References
- Armand, M.; Tarascon, J.M. Building Better Batteries. Nature 2008, 451, 652–657. [Google Scholar] [CrossRef] [PubMed]
- Kim, M.G.; Cho, J. Reversible and High-Capacity Nanostructured Electrode Materials for Li-Ion Batteries. Adv. Funct. Mater. 2009, 19, 1497–1514. [Google Scholar] [CrossRef]
- Wang, H.; Wang, J.; Cao, D.; Gu, H.; Li, B.; Lu, X.; Han, X.; Rogach, A.L.; Niu, C. Honeycomb-Like Carbon Nanoflakes as a Host for SnO2 Nanoparticles Allowing Enhanced Lithium Storage Performance. J. Mater. Chem. A 2017, 5, 6817–6824. [Google Scholar] [CrossRef]
- Wang, X.; Li, Z.; Zhang, Z.; Li, Q.; Guo, E.; Wang, C.; Yin, L. Mo-Doped SnO2 Mesoporous Hollow Structured Spheres as Anode Materials for High-Performance Lithium Ion Batteries. Nanoscale 2015, 7, 3604–3613. [Google Scholar] [CrossRef] [PubMed]
- Besenhard, J.O.; Yang, J.; Winter, M. Will Advanced Lithium-Alloy Anodes Have a Chance in Lithium-Ion Batteries? J. Power Sources 1997, 68, 87–90. [Google Scholar] [CrossRef]
- Chen, J. Recent Progress in Advanced Materials for Lithium Ion Batteries. Materials 2013, 6, 156–183. [Google Scholar] [CrossRef]
- Huang, J.Y.; Zhong, L.; Wang, C.M.; Sullivan, J.P.; Xu, W.; Zhang, L.Q.; Mao, S.X.; Hudak, N.S.; Liu, X.H.; Subramanian, A.; et al. In Situ Observation of the Electrochemical Lithiation of a Single SnO2 Nanowire Electrode. Science 2010, 330, 1515–1520. [Google Scholar] [CrossRef] [PubMed] [Green Version]
- Whiteley, J.M.; Kim, J.W.; Kang, C.S.; Cho, J.S.; Oh, K.H.; Lee, S.H. Tin Networked Electrode Providing Enhanced Volumetric Capacity and Pressureless Operation for All-Solid-State Li-Ion Batteries. J. Electrochem. Soc. 2015, 162, A711–A715. [Google Scholar] [CrossRef] [Green Version]
- Huggins, R.A.; Nix, W.D. Decrepitation Model for Capacity Loss During Cycling of Alloys in Rechargeable Electrochemical Systems. Ionics 2000, 6, 57–63. [Google Scholar] [CrossRef]
- Zhang, H.M.; Qin, X.M.; Sun, H.Y.; Liu, L.H.; Li, W.; Lu, Z.T.; Han, P.B. Fabrication and Electrochemical Performance of Sn–Ni–Cu Alloy Films Anode for Lithium-Ion Batteries. J. Alloys Compd. 2020, 846, 156322. [Google Scholar] [CrossRef]
- Polat, B.D.; Abouimrane, A.; Sezgin, N.; Keles, O.; Amine, K. Use of Multilayered Ni-Sn and Ni-Sn-C Thin Film Anodes for Lithium-Ion Batteries. Electrochim. Acta 2014, 135, 585–593. [Google Scholar] [CrossRef]
- Chang, X.; Sun, B.; Xie, Z.; Wang, Z.; Zheng, J.; Li, X. Structure Robustness and Li+ Diffusion Kinetics in Amorphous and Graphitized Carbon Based Sn/C Composites for Lithium-Ion Batteries. J. Electroanal. Chem. 2019, 854, 113529. [Google Scholar] [CrossRef]
- Bae, J.H.; Oyunbayar, N.; Seo, D.H.; Yang, J.H.; Nam, T.H.; Huh, S.C.; Jeong, H.M.; Noh, J.P. Electrochemical Properties of a Si Thin-Film Anode Deposited on a TiNi Shape-Memory-Alloy Thin Film. J. Korean Soc. Mar. Eng. 2020, 44, 436–440. [Google Scholar] [CrossRef]
- Yang, R.; Zhang, X.-J.; Fan, T.-F.; Jiang, D.-P.; Wang, Q. Improved electrochemical performance of ternary Sn–Sb–Cu nanospheres as anode materials for lithium-ion batteries. Rare Met. 2020, 39, 1159–1164. [Google Scholar] [CrossRef]
- Yan, Y.; Liua, Y.; Zhang, Y.; Qin, C.; Yu, H.; Bakenov, Z.; Wang, Z. Sn modified nanoporous Ge for improved lithium storage performance. J. Colloid Interface Sci. 2021, 602, 563–572. [Google Scholar] [CrossRef]
- Liu, K.; Meng, X.; Yan, L.; Fan, M.; Wu, Y.; Li, C.; Ma, T. Sn/SnO core-shell structure encapsulated in nitrogen-doped porous carbon frameworks for enhanced lithium storage. J. Alloys Compd. 2022, 896, 163009. [Google Scholar] [CrossRef]
- Pieczyska, E.A.; Kowalewski, Z.L.; Dunić, V.L. Stress Relaxation Effects in TiNi SMA During Superelastic Deformation: Experiment and Constitutive Model. Shape Mem. Superelasticity 2017, 3, 392–402. [Google Scholar] [CrossRef]
- Duerig, T.W.; Melton, K.N.; Stockel, D.; Wayman, C.M. Engineering Aspects of Shape Memory Alloys; Butterworth-Heinemann: London, UK, 1990; p. 53. [Google Scholar]
- Hu, R.; Zhu, M.; Wang, H.; Liu, J.; Liuzhang, O.; Zou, J. Sn Buffered by Shape Memory Effect of NiTi Alloys as High-Performance Anodes for Lithium Ion Batteries. Acta Mater. 2012, 60, 4695–4703. [Google Scholar] [CrossRef]
- Beaulieu, L.Y.; Beattie, S.D.; Hatchard, T.D.; Dahn, J.R. The Electrochemical Reaction of Lithium With Tin Studied by In Situ AFM. J. Electrochem. Soc. 2003, 150, A149. [Google Scholar] [CrossRef] [Green Version]
- Wu, M.; Li, X.; Zhou, Q.; Ming, H.; Adkins, J.; Zheng, J. Fabrication of Sn Film via Magnetron Sputtering Towards Understanding Electrochemical Behavior in Lithium-Ion Battery Application. Electrochim. Acta 2014, 123, 144–150. [Google Scholar] [CrossRef]
- Park, S.D.; Baeg, C.H.; Hong, J.W. Effects of Annealing Treatments on Microstructure and Mechanical Property of Co-Sputtered TiNi Thin Film. J. Korean Soc. Heat Treat. 2008, 21, 26–32. [Google Scholar]











Publisher’s Note: MDPI stays neutral with regard to jurisdictional claims in published maps and institutional affiliations. |
© 2022 by the authors. Licensee MDPI, Basel, Switzerland. This article is an open access article distributed under the terms and conditions of the Creative Commons Attribution (CC BY) license (https://creativecommons.org/licenses/by/4.0/).
Share and Cite
Seo, D.-H.; Lee, J.-S.; Yun, S.-D.; Yang, J.-H.; Huh, S.-C.; Sung, Y.-M.; Jeong, H.-M.; Noh, J.-P. Electrochemical Properties of Multilayered Sn/TiNi Shape-Memory-Alloy Thin-Film Electrodes for High-Performance Anodes in Li-Ion Batteries. Materials 2022, 15, 2665. https://doi.org/10.3390/ma15072665
Seo D-H, Lee J-S, Yun S-D, Yang J-H, Huh S-C, Sung Y-M, Jeong H-M, Noh J-P. Electrochemical Properties of Multilayered Sn/TiNi Shape-Memory-Alloy Thin-Film Electrodes for High-Performance Anodes in Li-Ion Batteries. Materials. 2022; 15(7):2665. https://doi.org/10.3390/ma15072665
Chicago/Turabian StyleSeo, Duck-Hyeon, Jun-Seok Lee, Sang-Du Yun, Jeong-Hyeon Yang, Sun-Chul Huh, Yon-Mo Sung, Hyo-Min Jeong, and Jung-Pil Noh. 2022. "Electrochemical Properties of Multilayered Sn/TiNi Shape-Memory-Alloy Thin-Film Electrodes for High-Performance Anodes in Li-Ion Batteries" Materials 15, no. 7: 2665. https://doi.org/10.3390/ma15072665
APA StyleSeo, D.-H., Lee, J.-S., Yun, S.-D., Yang, J.-H., Huh, S.-C., Sung, Y.-M., Jeong, H.-M., & Noh, J.-P. (2022). Electrochemical Properties of Multilayered Sn/TiNi Shape-Memory-Alloy Thin-Film Electrodes for High-Performance Anodes in Li-Ion Batteries. Materials, 15(7), 2665. https://doi.org/10.3390/ma15072665

