Synthesis and Characterization of LaNi0.5Ti0.5O3 and La2NiTiO6 Double Perovskite Nanoparticles
Abstract
:1. Introduction
2. Materials and Methods
2.1. Synthesis
2.2. Characterization
3. Results and Discussions
4. Conclusions
Supplementary Materials
Author Contributions
Funding
Institutional Review Board Statement
Informed Consent Statement
Data Availability Statement
Acknowledgments
Conflicts of Interest
References
- Subramani, T.; Voskanyan, A.; Jayanthi, K.; Abramchuk, M.; Navrotsky, A. A Comparison of Order-Disorder in Several Families of Cubic Oxides. In Ordered and Disordered Cubic Systems: Pyrochlore to Fluorite, Now and the Horizon; Thorogood, G.J., Finkeldei, S.C., Lang, M.K., Simeone, D., Eds.; Frontiers Media: Lausanne, Switzerland, 2022; pp. 34–54. [Google Scholar]
- Anderson, M.T.; Greenwood, K.B.; Taylor, G.A.; Poeppelmeier, K.R. B-cation arrangements in double perovskites. Prog. Solid State Chem. 1993, 22, 197–233. [Google Scholar] [CrossRef]
- Zhang, Y.; Tao, Y.; Yu, Z.; Lu, J.; Lim, S.Y.; Shao, J. Structure and electrochemical properties of titanate perovskite with in situ exsolution as a ceramic electrode material. J. Electroceram. 2020, 45, 29–38. [Google Scholar] [CrossRef]
- George, G.; Ede, S.R.; Luo, Z. Fundamentals of Perovskite Oxides: Synthesis, Structure, Properties and Applications, 1st ed.; CRC Press: Boca Raton, FL, USA, 2020; pp. 185–226. [Google Scholar]
- Kalanda, M.A.; Lobanovsky, L.S.; Gurskii, L.I.; Telesh, E.V.; Kotov, D.A.; Saad, A.; Adolphi, B.; Plӧtner, M. Structure and magnetic properties of Sr2FeMoO6±δ. In Physics, Chemistry and Application of Nanostructures; Borisenko, V.E., Gaponenko, S.V., Gurin, V.S., Eds.; World Scientific: Hackensack, NJ, USA, 2009; pp. 248–251. [Google Scholar]
- Bian, Z.; Wang, Z.; Jiang, B.; Hongmanorom, P.; Zhong, W.; Kawi, S. A review on perovskite catalysts for reforming of methane to hydrogen production. Renew. Sustain. Energy Rev. 2020, 134, 110291. [Google Scholar] [CrossRef]
- Souza, M.M.V.M.; Aranda, D.A.G.; Schmal, M. Reforming of methane with carbon dioxide over Pt/ZrO2/Al2O3. J. Catal. 2001, 204, 498–511. [Google Scholar] [CrossRef]
- Budarin, V.; Shuttleworth, P.S.; Lanigan, B.; Clark, J.H. Nanocatalysts for Biofuels. In Nanocatalysis Synthesis Applications; Polshettiwar, V., Asefa, T., Eds.; John Wiley & Sons, Inc.: Hoboken, NJ, USA, 2013; pp. 595–614. [Google Scholar]
- Tuza, P.V.; Souza, M.M.V.M. Steam Reforming of Methane Over Catalyst Derived from Ordered Double Perovskite: Effect of Crystalline Phase Transformation. Catal. Lett. 2016, 146, 47–53. [Google Scholar] [CrossRef]
- Tuza, P.V.; Souza, M.M.V.M. B-cation partial substitution of double perovskite La2NiTiO6 by Co2+: Effect on crystal structure, reduction behavior and catalytic activity. Catal. Commun. 2017, 97, 93–97. [Google Scholar] [CrossRef]
- Rodríguez, E.; Álvarez, I.; López, M.L.; Veiga, M.L.; Pico, C. Structural, Electronic, and Magnetic Characterization of the Perovskite LaNi1−xTixO3 (0 ≤ x ≤ 1/2). J. Solid State Chem. 1999, 148, 479–486. [Google Scholar] [CrossRef]
- Rodríguez, E.; López, M.L.; Campo, J.; Veiga, M.L.; Pico, C. Crystal and magnetic structure of the perovskites La2MTiO6 (M = Co, Ni). J. Mater. Chem. 2002, 12, 798–2802. [Google Scholar] [CrossRef]
- Pérez-Flores, J.C.; Ritter, C.; Pérez-Coll, D.; Mather, G.C.; García-Alvarado, F.; Amador, U. Synthesis, structures and electrical transport properties of the La2−xSrxNiTiO6−δ (0 ≤ x ≤ 0.5) perovskite series. J. Mater. Chem. 2011, 21, 13195–13204. [Google Scholar] [CrossRef]
- Yang, W.Z.; Liu, W.Z.; Lin, Y.Q.; Chen, X.M. Structure, magnetic, and dielectric properties of La2Ni(Mn1-xTix)O6 ceramics. J. Appl. Phys. 2012, 111, 084106. [Google Scholar] [CrossRef]
- Yang, M.; Huo, L.; Zhao, H.; Gao, S.; Rong, Z. Electrical properties and acetone-sensing characteristics of LaNi1-xTixO3 perovskite system prepared by amorphous citrate decomposition. Sens. Actuators B Chem. 2009, 143, 111–118. [Google Scholar] [CrossRef]
- Pérez-Flores, J.C.; Ritter, C.; Pérez-Coll, D.; Mather, G.C.; Canales-Vázquez, J.; Gálvez-Sánchez, M.; García-Alvarado, F.; Amador, U. Structural and electrochemical characterization of La2−xSrxNiTiO6−δ. Int. J. Hydrogen Energy 2012, 37, 7242–7251. [Google Scholar] [CrossRef]
- Pérez-Flores, J.C.; Pérez-Coll, D.; García-Martín, S.; Ritter, C.; Mather, G.C.; Canales-Vázquez, J.; Gálvez-Sánchez, M.; García-Alvarado, U.; Amador, U. A- and B-Site Ordering in the A-Cation-Deficient Perovskite Series La2−xNiTiO6−δ (0 ≤ x < 0.20) and Evaluation as Potential Cathodes for Solid Oxide Fuel Cells. Chem. Mater. 2013, 25, 2484–2494. [Google Scholar]
- Pérez-Flores, J.C.; Castro-García, M.; Crespo-Muñoz, V.; Valera-Jiménez, J.F.; García-Alvarado, F.; Canales-Vásquez, J. Analysis of Performance Losses and Degradation Mechanism in Porous La2−xNiTiO6−δ: YSZ Electrodes. Materials 2021, 14, 2819. [Google Scholar] [CrossRef] [PubMed]
- Souza, M.M.V.M.; Maza, A.; Tuza, P.V. X-ray powder diffraction data of LaNi0.5Ti0.45Co0.05O3, LaNi0.45Co0.05Ti0.5O3, and LaNi0.5Ti0.5O3 perovskites. Powder Diffr. 2021, 36, 29–34. [Google Scholar] [CrossRef]
- Vijatović, M.M.; Bobić, J.D.; Stojanović, B.D. History and challenges of barium titanate: Part I. Sci. Sinter. 2008, 40, 155–165. [Google Scholar] [CrossRef]
- Rodríguez-Carvajal, J. Recent advances in magnetic structure determination by neutron powder diffraction. Phys. B Condens. Matter 1993, 192, 55–69. [Google Scholar] [CrossRef]
- ICSD, Inorganic Crystal Structure Database. Available online: https://bdec.dotlib.com.br/ (accessed on 1 December 2017).
- Rodríguez-Carvajal, J. Fullprof Manual. Available online: http://www.ill.eu/sites/fullprof/ (accessed on 1 December 2017).
- Attfield, M.; Barnes, P.; Cockcroft, J.K.; Driessen, H. Advanced Certificate in Powder Diffraction (School of Crystallography, Birkbeck College, University of London). Available online: http://pd.chem.ucl.ac.uk/pdnn/refine1/case.htm (accessed on 1 October 2021).
- Rasband, W.S. National Institutes of Health, Bethesda, Maryland, USA. Available online: https://imagej.nih.gov/ij (accessed on 1 October 2021).
- Lidin, S. Quasicrystal Approximants. In Handbook of Solid State Chemistry; Dronskowski, R., Kikkawa, S., Stein, A., Eds.; Wiley-VCH: Weinheim, Germany, 2017; pp. 73–92. [Google Scholar]
- Le Bail, A. Monte Carlo indexing with McMaille. Powder Diffr. 2004, 19, 249–254. [Google Scholar] [CrossRef] [Green Version]
- Momma, K.; Izumi, F. VESTA 3 for three-dimensional visualization of crystal, volumetric and morphology data. J. Appl. Crystallogr. 2011, 44, 1272–1276. [Google Scholar] [CrossRef]
- De Muro, I.G.; Insausti, M.; Lezama, L.; Pizarro, J.L.; Arriortua, M.I.; Rojo, T. Structural, Spectroscopic, Magnetic and Thermal Properties in the [SrM(C3H2O4)2(H2O)5]·2H2O (M = Mn, Fe, Co, Ni) System: Precursors of SrMO3–x Mixed Oxides. Eur. J. Inorg. Chem. 1999, 1999, 935–943. [Google Scholar] [CrossRef]
- Smith, G.S.; Snyder, R.L. FN: A Criterion for Rating Powder Diffraction Patterns and Evaluating the Reliability of Powder-Pattern Indexing. J. Appl. Crystallogr. 1979, 12, 60–65. [Google Scholar] [CrossRef]



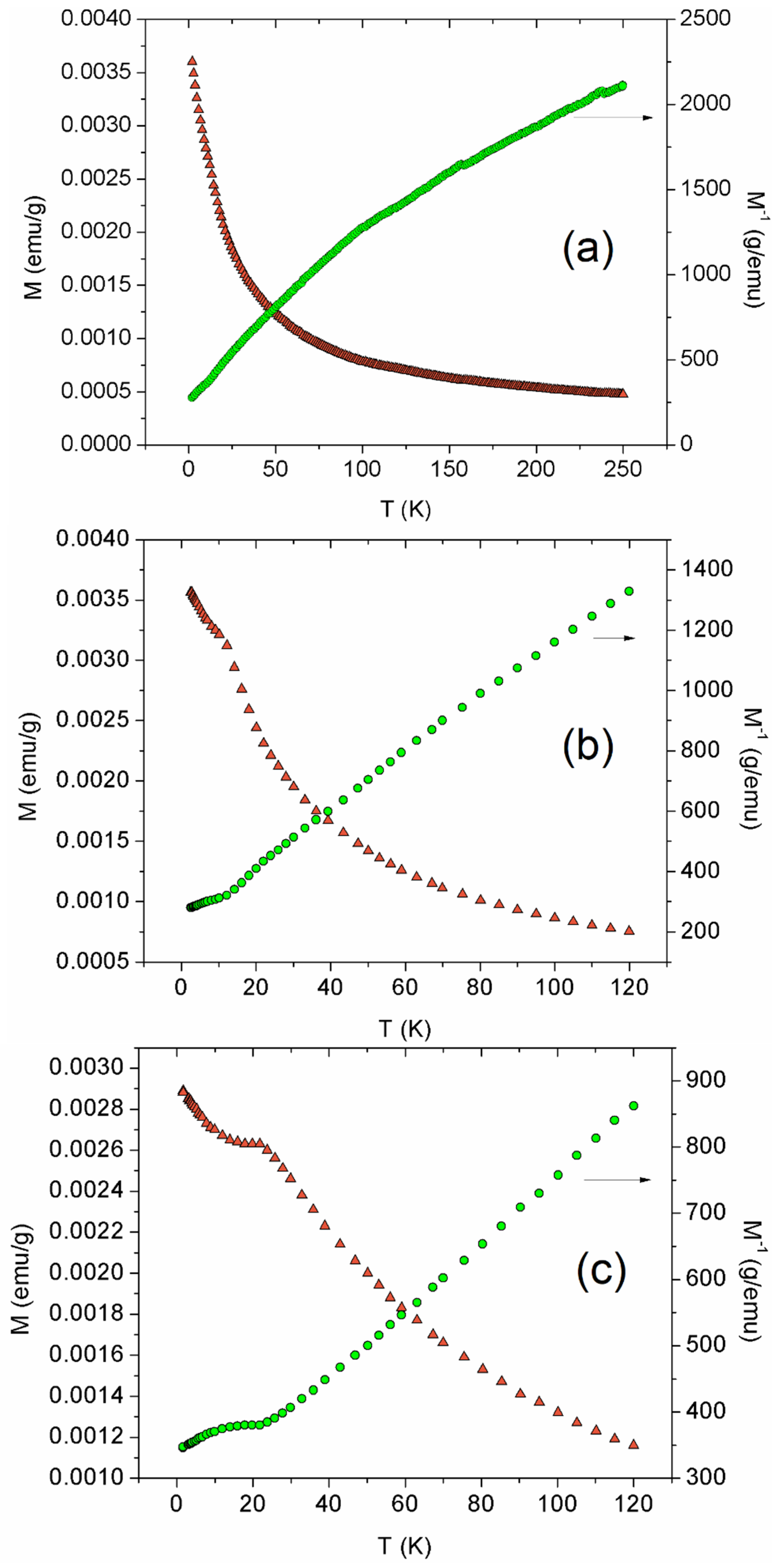
| Sample | ΔT (K) a | C (emu K Oe−1 mol−1) | ||
|---|---|---|---|---|
| 1 | 14–40 | −15 | 0.207456 | 1.29 |
| 2 | 14–40 | −12 | 0.114417 | 0.96 |
| 3 | 33–120 | −23 | 0.944706 | 2.75 |
Publisher’s Note: MDPI stays neutral with regard to jurisdictional claims in published maps and institutional affiliations. |
© 2022 by the authors. Licensee MDPI, Basel, Switzerland. This article is an open access article distributed under the terms and conditions of the Creative Commons Attribution (CC BY) license (https://creativecommons.org/licenses/by/4.0/).
Share and Cite
Córdova-Calderón, J.; Tuza, P.V.; Souza, M.M.V.M. Synthesis and Characterization of LaNi0.5Ti0.5O3 and La2NiTiO6 Double Perovskite Nanoparticles. Materials 2022, 15, 2411. https://doi.org/10.3390/ma15072411
Córdova-Calderón J, Tuza PV, Souza MMVM. Synthesis and Characterization of LaNi0.5Ti0.5O3 and La2NiTiO6 Double Perovskite Nanoparticles. Materials. 2022; 15(7):2411. https://doi.org/10.3390/ma15072411
Chicago/Turabian StyleCórdova-Calderón, José, Pablo V. Tuza, and Mariana M. V. M. Souza. 2022. "Synthesis and Characterization of LaNi0.5Ti0.5O3 and La2NiTiO6 Double Perovskite Nanoparticles" Materials 15, no. 7: 2411. https://doi.org/10.3390/ma15072411
APA StyleCórdova-Calderón, J., Tuza, P. V., & Souza, M. M. V. M. (2022). Synthesis and Characterization of LaNi0.5Ti0.5O3 and La2NiTiO6 Double Perovskite Nanoparticles. Materials, 15(7), 2411. https://doi.org/10.3390/ma15072411

