Experimental Investigation on High Capacity Stove-Powered Thermoelectric Generator Incorporated with a Novel Heat Collector
Abstract
:1. Introduction
2. SPTEG Configuration and Experimental Setup
2.1. SPTEG Configuration
2.2. Heat Collector
2.3. Experimental Setup
2.4. Efficiency of the DDC
2.5. Fuel and Experimental Procedure
3. Results and Discussion
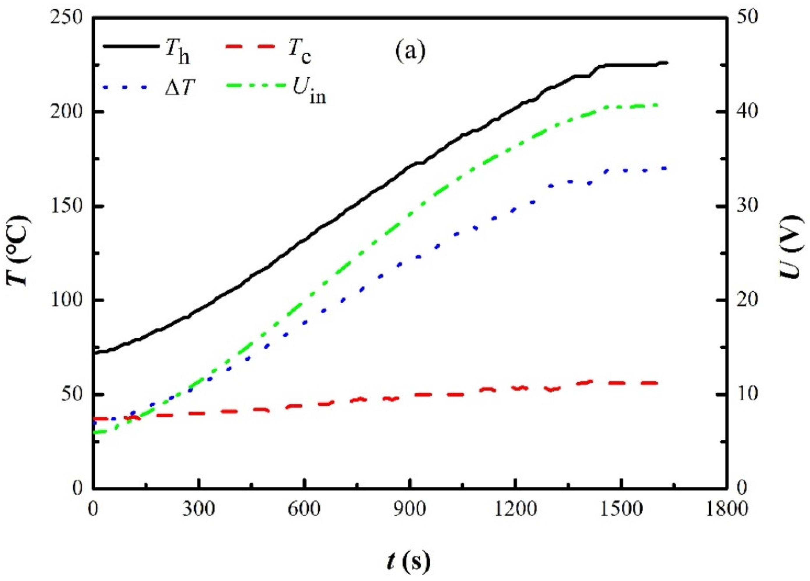
3.1. SPTEG Startup and Temperature Distribution of Heat Collector
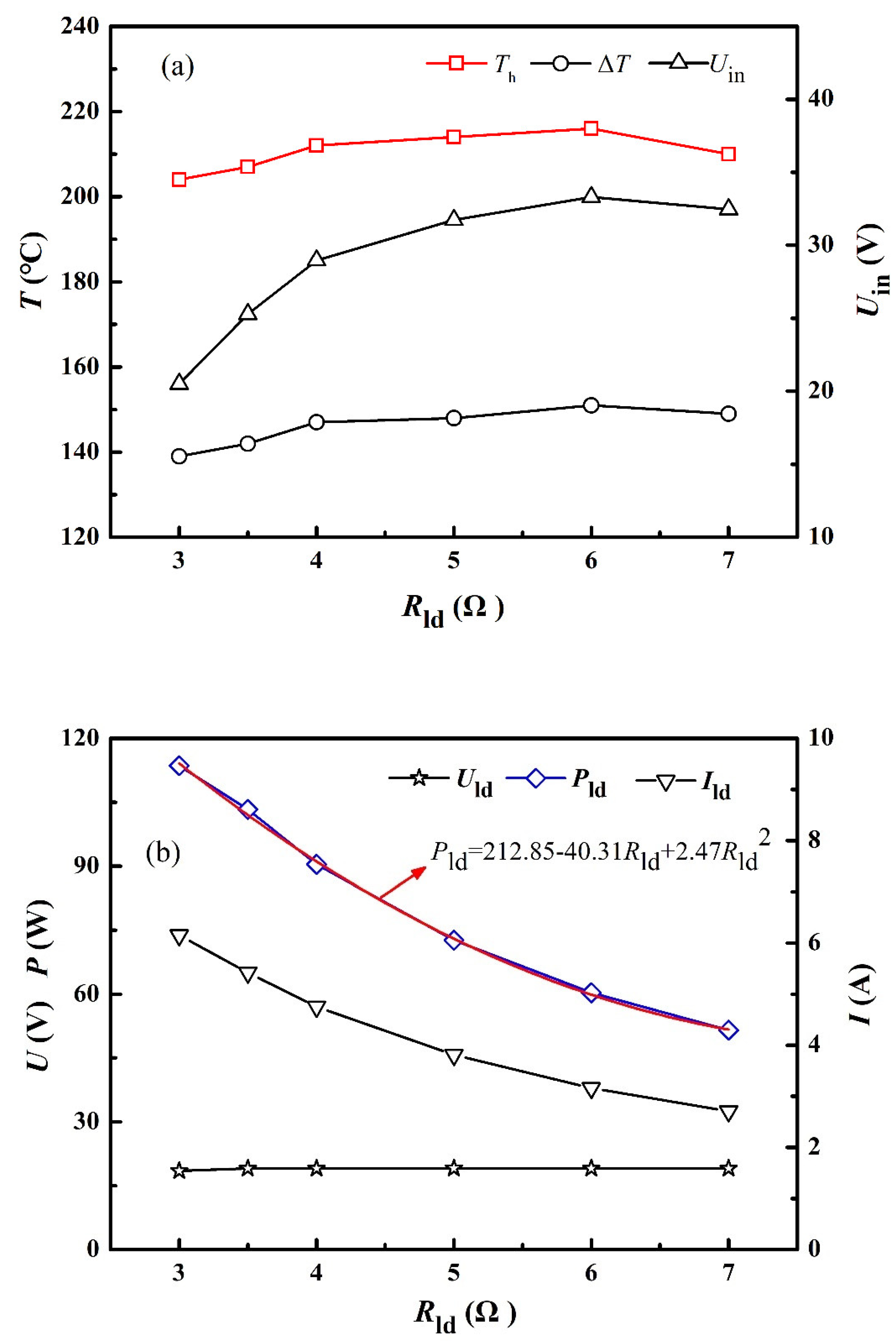
3.2. Power Load Feature and Cost Analysis
3.3. Power Generation Discussions
3.4. Conversion Efficiency
3.5. Influence of Water Flow Rate on SPTEG Performance
4. Conclusions
- (1)
- For the present SPTEG, a maximum electric power of 137 W is generated, and 119 W could be outputted to the external load at the stabilized voltage of 19 V. The TE efficiency of the present SPTEG is 3.12% at the temperature difference of 140 °C.
- (2)
- It is of vital importance to develop a proper heat collector to augment the capacity of an SPTEG in addition to installing sufficient TE modules. Forty TE modules are able to be installed in the present SPTEG owing to the novel heat collector. The developed SPTEG is able to generate comparable electricity from each TE module even though the number of TE modules is ten times that of previous SPTEGs.
- (3)
- Increasing the mass flow rate of the cooling water augments the total generated electric power, but minor augments can be found related to the electric power output to the external load.
Author Contributions
Funding
Institutional Review Board Statement
Informed Consent Statement
Data Availability Statement
Conflicts of Interest
Nomenclature
| I | Current (A) |
| Ild | Load current (A) |
| m | Mass flow rate of cooling water (kg/s) |
| P | Power (W) |
| Pld | Load electric power (W) |
| Pout | Electric power output (W) |
| Ptot | Total electric power (W) |
| PTE | Electric power generated per TE module (W) |
| P*out | Electric power output ratio (dimensionless) |
| P*tot | Total electric power ratio (dimensionless) |
| Rld | Load resistance (Ω) |
| T | Temperature (°C) |
| Tc | Cold-end temperature (°C) |
| Th | Hot-end temperature (°C) |
| Tin | Inlet water temperature (°C) |
| Tout | Outlet water temperature (°C) |
| ΔT | Temperature difference (°C), ΔT = Th−Tc |
| U | Voltage (V) |
| Uin | Input voltage to the DDC (V) |
| Uld | Output voltage (V) |
| ξ | TE efficiency (%) |
| ξDDC | Transform efficiency of the DDC (%) |
| Abbreviation | |
| DAQ | Data-acquisition |
| DDC | DC–DC converter |
| EET | Electric energy tester |
| MPPT | Maximum power point tracking |
| SPTEG | Stove-powered TE generator |
| TE | Thermoelectric |
| TEG | TE generator |
References
- World Meteorological Organization. 2016 Greenhouse Gas Emissions Reduction Progress Report; World Meteorological Organization: Geneva, Switzerland, 2016. [Google Scholar]
- International Energy Agency. Word Energy Outlook 2017; International Energy Agency: Paris, France, 2017; Available online: http://www.iea.org/weo2017 (accessed on 11 November 2021).
- Yun, X.; Shen, G.; Shen, H.; Meng, W.; Chen, Y.; Xu, H.; Ren, Y.; Zhong, Q.; Du, W.; Ma, J.; et al. Residential solid fuel emissions contribute significantly to air pollution and associated health impacts in China. Sci. Adv. 2020, 6, eaba7621. [Google Scholar] [CrossRef]
- Mal, R.; Prasad, R.; Vijay, V.K. Multi-functionality clean biomass cookstove for off-grid areas. Process Saf. Environ. Prot. 2016, 104, 85–94. [Google Scholar] [CrossRef]
- Killander, A.; Bass, J.C. A stove-top generator for cold areas. In Proceedings of the Fifteenth International Conference on Thermoelectrics, ICT’96, Pasadena, CA, USA, 26–29 March 1996; Volume 1, pp. 390–393. [Google Scholar]
- Venkatasubramanian, R.; Siivola, E.; Colpitts, T.; O’Quinn, B. Thin-film thermoelectric devices with high room-temperature figures of merit. Nature 2001, 413, 597–602. [Google Scholar] [CrossRef] [PubMed]
- Biswas, K.; He, J.; Blum, I.; Wu, C.-I.; Hogan, T.P.; Seidman, D.N.; Dravid, V.P.; Kanatzidis, M.G. High-performance bulk thermoelectrics with all-scale hierarchical architectures. Nature 2012, 489, 414–418. [Google Scholar] [CrossRef] [PubMed]
- Hinterleitner, B.; Knapp, I.; Poneder, M.; Shi, Y.; Müller, H.; Eguchi, G.; Eisenmenger-Sittner, C.; Stöger-Pollach, M.; Kakefuda, Y.; Kawamoto, N.; et al. Thermoelectric performance of a metastable thin-film Heusler alloy. Nature 2019, 576, 85–90. [Google Scholar] [CrossRef]
- Selvan, K.V.; Hasan, N.; Ali, M.S.M. Methodological reviews and analyses on the emerging research trends and progresses of thermoelectric generators. Int. J. Energy Res. 2019, 43, 113–140. [Google Scholar] [CrossRef] [Green Version]
- Elsheikh, M.H.; Shnawah, D.A.; Sabri, M.F.M.; Said, S.M.; Hassan, M.H.; Bashir, M.B.A.; Mohamad, M. A review on thermoelectric renewable energy: Principle parameters that affect their performance. Renew. Sustain. Energy Rev. 2014, 30, 337–355. [Google Scholar] [CrossRef]
- Aswal, D.K.; Basu, R.; Singh, A. Key issues in development of thermoelectric power generators: High figure-of-merit materials and their highly conducting interfaces with metallic interconnects. Energy Convers. Manag. 2016, 114, 50–67. [Google Scholar] [CrossRef]
- Yu, X.; Xu, D.; Liu, Y.; Zhou, H.; Wang, Y.; Gao, X.; Feng, F.; Wang, Y.; Li, T. Significant performance improvement for micro-thermoelectric energy generator based on system analysis. Int. J. Electr. Power Energy Syst. 2015, 67, 417–422. [Google Scholar] [CrossRef]
- Najjar, Y.S.; Kseibi, M.M. Thermoelectric stoves for poor deprived regions—A review. Renew. Sustain. Energy Rev. 2017, 80, 597–602. [Google Scholar] [CrossRef]
- Islam, S.; Dincer, I.; Yilbas, B.S. A novel renewable energy-based integrated system with thermoelectric generators for a net-zero energy house. Int. J. Energy Res. 2020, 44, 3458–3477. [Google Scholar] [CrossRef]
- Ma, H.-K.; Lin, C.-P.; Wu, H.-P.; Peng, C.-H.; Hsu, C.-C. Waste heat recovery using a thermoelectric power generation system in a biomass gasifier. Appl. Therm. Eng. 2015, 88, 274–279. [Google Scholar] [CrossRef]
- Liu, X.; Li, C.; Deng, Y.; Su, C. An energy-harvesting system using thermoelectric power generation for automotive application. Int. J. Electr. Power Energy Syst. 2015, 67, 510–516. [Google Scholar] [CrossRef]
- Barma, M.; Riaz, M.; Saidur, R.; Long, B. Estimation of thermoelectric power generation by recovering waste heat from Biomass fired thermal oil heater. Energy Convers. Manag. 2015, 98, 303–313. [Google Scholar] [CrossRef]
- Nuwayhid, R.; Rowe, D.; Min, G. Low cost stove-top thermoelectric generator for regions with unreliable electricity supply. Renew. Energy 2003, 28, 205–222. [Google Scholar] [CrossRef]
- Nuwayhid, R.; Hamade, R. Design and testing of a locally made loop-type thermosyphonic heat sink for stove-top thermoelectric generators. Renew. Energy 2005, 30, 1101–1116. [Google Scholar] [CrossRef]
- Nuwayhid, R.Y.; Shihadeh, A.; Ghaddar, N. Development and testing of a domestic woodstove thermoelectric generator with natural convection cooling. Energy Convers. Manag. 2005, 46, 1631–1643. [Google Scholar] [CrossRef]
- Lertsatitthanakorn, C. Electrical performance analysis and economic evaluation of combined biomass cook stove thermoelectric (BITE) generator. Bioresour. Technol. 2007, 98, 1670–1674. [Google Scholar] [CrossRef]
- Raman, P.; Ram, N.K.; Gupta, R. Development, design and performance analysis of a forced draft clean combustion cookstove powered by a thermo electric generator with multi-utility options. Energy 2014, 69, 813–825. [Google Scholar] [CrossRef]
- Najjar, Y.S.; Kseibi, M.M. Heat transfer and performance analysis of thermoelectric stoves. Appl. Therm. Eng. 2016, 102, 1045–1058. [Google Scholar] [CrossRef]
- Najjar, Y.S.; Kseibi, M. Evaluation of experimental JUST thermoelectric stove for electricity—Deprived regions. Renew. Sustain. Energy Rev. 2017, 69, 854–861. [Google Scholar] [CrossRef]
- O’Shaughnessy, S.; Deasy, M.; Doyle, J.; Robinson, A. Performance analysis of a prototype small scale electricity-producing biomass cooking stove. Appl. Energy 2015, 156, 566–576. [Google Scholar] [CrossRef]
- BioLite. Available online: https://www.bioliteenergy.com (accessed on 10 November 2021).
- Li, G.-N.; Zhang, S.; Zheng, Y.-Q.; Zhu, L.-Y.; Guo, W.-W. Experimental study on a stove-powered thermoelectric generator (STEG) with self starting fan cooling. Renew. Energy 2018, 121, 502–512. [Google Scholar] [CrossRef]
- Rinalde, G.; Juanicó, L.; Taglialavore, E.; Gortari, S.; Molina, M. Development of thermoelectric generators for electrification of isolated rural homes. Int. J. Hydrogen Energy 2010, 35, 5818–5822. [Google Scholar] [CrossRef]
- Champier, D.; Bédécarrats, J.; Rivaletto, M.; Strub, F. Thermoelectric power generation from biomass cook stoves. Energy 2010, 35, 935–942. [Google Scholar] [CrossRef]
- Champier, D.; Bédécarrats, J.; Kousksou, T.; Rivaletto, M.; Strub, F.; Pignolet, P. Study of a TE (thermoelectric) generator incorporated in a multifunction wood stove. Energy 2011, 36, 1518–1526. [Google Scholar] [CrossRef] [Green Version]
- Montecucco, A.; Siviter, J.; Knox, A.R. A Combined Heat and Power System for Solid-fuel Stoves Using Thermoelectric Generators. Energy Procedia 2015, 75, 597–602. [Google Scholar] [CrossRef] [Green Version]
- Montecucco, A.; Siviter, J.; Knox, A. Combined heat and power system for stoves with thermoelectric generators. Appl. Energy 2017, 185, 1336–1342. [Google Scholar] [CrossRef] [Green Version]
- Sornek, K.; Filipowicz, M.; Żołądek, M.; Kot, R.; Mikrut, M. Comparative analysis of selected thermoelectric generators operating with wood-fired stove. Energy 2019, 166, 1303–1313. [Google Scholar] [CrossRef]
- Silva, C.V.; França, F.H.R.; Vielmo, H.A. Analysis of the turbulent, non-premixed combustion of natural gas in a cylindrical chamber with and without thermal radiation. Combust. Sci. Technol. 2007, 179, 1605–1630. [Google Scholar] [CrossRef]
- Liu, Y.-H.; Chiu, Y.-H.; Huang, J.-W.; Wang, S.-C. A novel maximum power point tracker for thermoelectric generation system. Renew. Energy 2016, 97, 306–318. [Google Scholar] [CrossRef]
- Li, G.; Zhu, D.; Zheng, Y.; Guo, W. Mesoscale combustor-powered thermoelectric generator with enhanced heat collection. Energy Convers. Manag. 2020, 205, 112403. [Google Scholar] [CrossRef]
- Fu, C.; Bai, S.; Liu, Y.; Tang, Y.; Chen, L.; Zhao, X.; Zhu, T. Realizing high figure of merit in heavy-band p-type half-Heusler thermoelectric materials. Nat. Commun. 2015, 6, 8144. [Google Scholar] [CrossRef] [Green Version]
- Kanimba, E.; Pearson, M.; Sharp, J.; Stokes, D.; Priya, S.; Tian, Z. A modeling comparison between a two-stage and three-stage cascaded thermoelectric generator. J. Power Sources 2017, 365, 266–272. [Google Scholar] [CrossRef]
- Amaral, C.; Brandão, C.; Sempels, É.V.; Lesage, F.J. Thermoelectric power enhancement by way of flow impedance for fixed thermal input conditions. J. Power Sources 2014, 272, 672–680. [Google Scholar] [CrossRef]
- Li, G.; Zheng, Y.; Hu, G.; Zhang, Z. Experimental investigation on heat transfer enhancement from an inclined heated cylinder with constant heat input power in infrasonic pulsating flows. Exp. Therm. Fluid Sci. 2013, 49, 75–85. [Google Scholar] [CrossRef]
- Guoneng, L.; Zhihua, X.; Youqu, Z.; Wenwen, G.; Cong, D. Experimental study on convective heat transfer from a rectangular flat plate by multiple impinging jets in laminar cross flows. Int. J. Therm. Sci. 2016, 108, 123–131. [Google Scholar] [CrossRef]
- Tang, S.; Wang, C.; Liu, X.; Su, G.; Tian, W.; Qiu, S.; Zhang, Q.; Liu, R.; Bai, S. Experimental investigation of a novel heat pipe thermoelectric generator for waste heat recovery and electricity generation. Int. J. Energy Res. 2020, 44, 7450–7463. [Google Scholar] [CrossRef]









| Authors | Year | Cooling Method | Pout/Ptot (W) | TE Num. | ΔT (°C) |
|---|---|---|---|---|---|
| Mal et al. [4] | 2016 | Air-cooled | 4.0/6.0 | 2 | − |
| Killander and Bass [5] | 1996 | Air-cooled | −/10 | 2 | − |
| Nuwayhid et al. [18,19,20] | 2003–2005 | Air-cooled | 4.2/4.2 | 3 | 152 |
| Lertsatitthanakorn [21] | 2007 | Air-cooled | 2.4/2.4 | 1 | 150 |
| Raman [22] | 2014 | Air-cooled | 3.7/4.5 | 1 | 240 |
| Najjar and Kseibi [23,24] | 2016–2017 | Air-cooled | 7.8/7.8 | 12 | 43 |
| O’Shaughnessy et al. [25] | 2015 | Air-cooled | 3.0/5.9 | 1 | 350 |
| BioLiteBaseCamp [26] | 2018 | Air-cooled | −/5 | 2 | − |
| Li et al. [27] | 2018 | Air-cooled | 4.7/12.9 | 8 | 119 |
| Rinalde et al. [28] | 2010 | Water-cooled | −/12.3 | 2 | 200 |
| Champier et al. [29,30] | 2010–2011 | Water-cooled | 7.6/9.5 | 1 | 120 |
| Montecucco et al. [31,32] | 2015–2017 | Water-cooled | 19/27 | 4 | 250 |
| Sornek et al. [22] | 2019 | Water-cooled | −/75.2 | 40 | 240 |
| Present | Water-cooled | 119/137 | 40 | 140 |
| Parameter | Unit | Value |
|---|---|---|
| αP | V/K | 223.2 × 10−6 |
| αN | V/K | −187.7 × 10−6 |
| ρP | Ωm | 1.83 × 10−5 |
| ρN | Ωm | 1.58 × 10−5 |
| Parameter | Error (%) | Parameter | Error (%) |
|---|---|---|---|
| U | ±0.1 | I | ±0.1 |
| P | ±0.2 | T | ±0.5 |
| m | ±2.0 | Qout | ±3.0 |
| ξDDC | ±0.4 | ξ | ±3.4 |
| Parameter | Value | Parameter | Value |
|---|---|---|---|
| Ptot(W) | 137 | Tout (°C) | 37 |
| Th(°C) | 204 | m (kg/s) | 0.1265 |
| Tc(°C) | 64 | Qout(W) | 4250 |
| Tin (°C) | 29 | ξ (%) | 3.12 |
| ΔT (K) | TE Material | ξ | Cooling Method | Reference |
|---|---|---|---|---|
| 150 | Bi2Te3 | 3.2% | Air-cooled | [21] |
| 200 | Bi2Te3 | 2% | Water-cooled | [29,30] |
| 150–200 | Bi2Te3 | 4–5% | Water-cooled | [31,32] |
| 140 | Bi2Te3 | 3.12% | Water-cooled | Present |
| No. | Up (V) | Pp (W) | m (Kg/s) |
|---|---|---|---|
| WFR-1 | 5.0 | 5.10 | 0.085 |
| WFR-2 | 6.0 | 7.18 | 0.127 |
| WFR-3 | 7.0 | 9.75 | 0.145 |
| WFR-4 | 8.0 | 12.58 | 0.159 |
Publisher’s Note: MDPI stays neutral with regard to jurisdictional claims in published maps and institutional affiliations. |
© 2022 by the authors. Licensee MDPI, Basel, Switzerland. This article is an open access article distributed under the terms and conditions of the Creative Commons Attribution (CC BY) license (https://creativecommons.org/licenses/by/4.0/).
Share and Cite
Ru, X.; Li, G.; Zheng, Y.; Guo, W.; Tang, Y. Experimental Investigation on High Capacity Stove-Powered Thermoelectric Generator Incorporated with a Novel Heat Collector. Materials 2022, 15, 2382. https://doi.org/10.3390/ma15072382
Ru X, Li G, Zheng Y, Guo W, Tang Y. Experimental Investigation on High Capacity Stove-Powered Thermoelectric Generator Incorporated with a Novel Heat Collector. Materials. 2022; 15(7):2382. https://doi.org/10.3390/ma15072382
Chicago/Turabian StyleRu, Xiaoxiao, Guoneng Li, Youqu Zheng, Wenwen Guo, and Yuanjun Tang. 2022. "Experimental Investigation on High Capacity Stove-Powered Thermoelectric Generator Incorporated with a Novel Heat Collector" Materials 15, no. 7: 2382. https://doi.org/10.3390/ma15072382
APA StyleRu, X., Li, G., Zheng, Y., Guo, W., & Tang, Y. (2022). Experimental Investigation on High Capacity Stove-Powered Thermoelectric Generator Incorporated with a Novel Heat Collector. Materials, 15(7), 2382. https://doi.org/10.3390/ma15072382

