Waste Foundry Sand in Concrete Production Instead of Natural River Sand: A Review
Abstract
:1. Introduction
Waste Foundry Sand (WFS)
2. Physical Properties
3. Chemical Properties
4. Fresh Properties
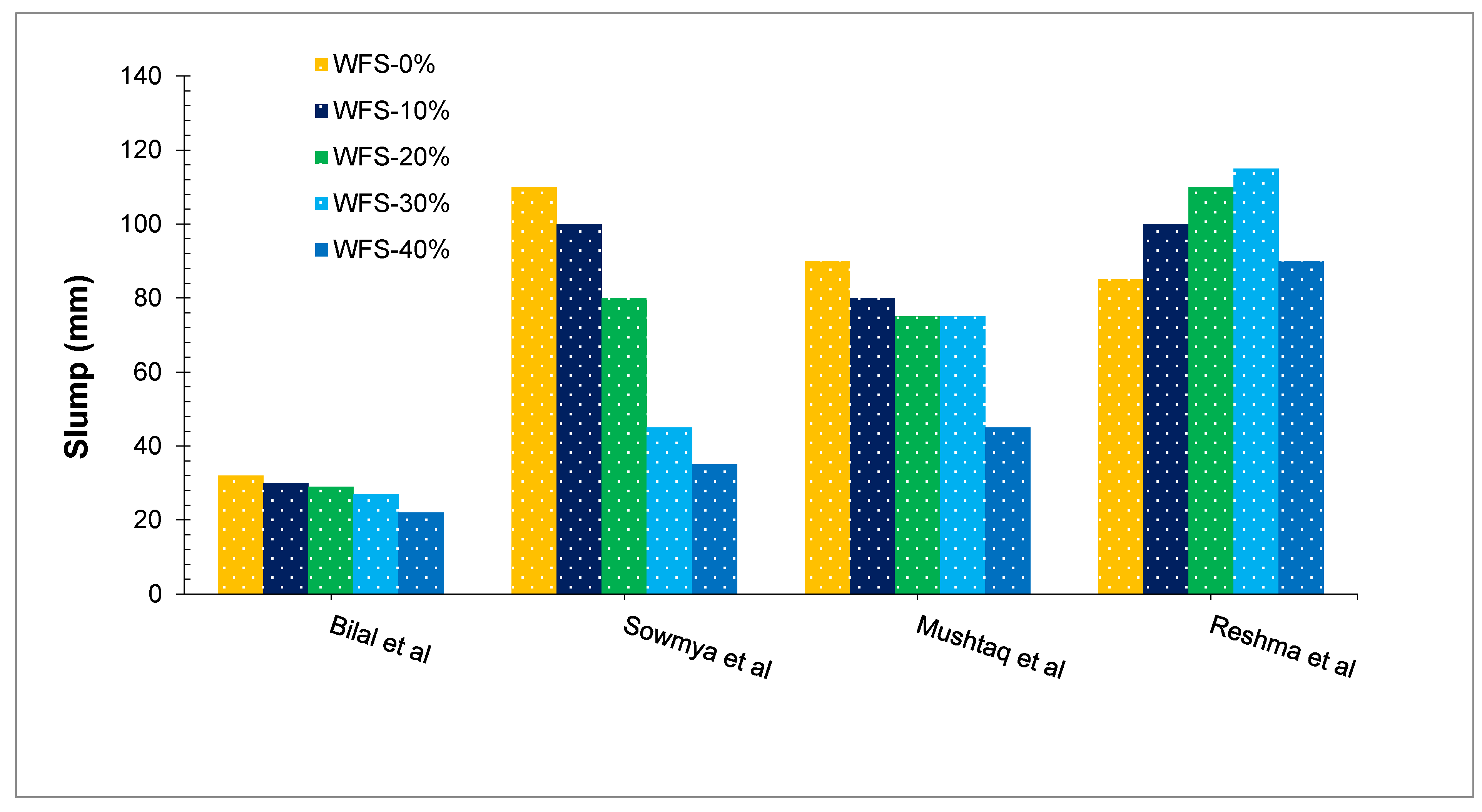
4.1. Workability
4.2. Compacting Factor (C.F)
5. Mechanical Properties
5.1. Compressive Strength
5.2. Split Tensile Strength
5.3. Flexure Strength
6. Durability
6.1. Water Absorption
6.2. Acid Attacks
6.3. Density
6.4. Carbonation Depth
7. Conclusions
- There was almost no difference in bulk density, specific gravity, or grain size distribution between WFS and natural sand.
- Flowability of concrete reduced with the substitution of WFS. This is owing to the physical properties of WFS (porous and larger surface area) which increased water demand. However, up to 30% substitution of WFS shows acceptable workability but a higher dose (beyond 50%) needed a higher dose of admixture (plasticizer).
- WFS can be used up to 30% substitution instead of natural river sand with no harmful influence on concrete strength. This is owing to the micro filling which provides more dense concrete, leading to more resistance to load. However, a decrease in strength was observed at a higher dose of WFS (beyond 50%). The reason for the decrease in strength is the lack of workability that increases the difficulty in the compaction process, which results in more voids in the hardened concrete.
- Adding WFS tends to decrease its mechanical strength. The lack of workability caused pores to develop in concrete and less paste to be available for binding, resulting in reduced strength. Results can be comparable to the control concrete at a 20% replacement level of WFS. A 30% replacement of WFS has been suggested in some studies.
- Improvement in durability aspects (water absorption, acid resistance, density and carbonation depth) of concrete with WFS was observed. This is due to the dense matrix due to the addition of fine WFS.
Author Contributions
Funding
Institutional Review Board Statement
Informed Consent Statement
Data Availability Statement
Conflicts of Interest
References
- Ahmad, J.; Zaid, O.; Siddique, M.S.; Aslam, F.; Alabduljabbar, H.; Khedher, K.M. Mechanical and Durability Characteristics of Sustainable Coconut Fibers Reinforced Concrete with Incorporation of Marble Powder. Mater. Res. Express 2021, 8, 075505. [Google Scholar] [CrossRef]
- Ahmad, J.; Aslam, F.; Martinez-Garcia, R.; De-Prado-Gil, J.; Qaidi, S.M.A.; Brahmia, A. Effects of Waste Glass and Waste Marble on Mechanical and Durability Performance of Concrete. Sci. Rep. 2021, 11, 21525. [Google Scholar] [CrossRef]
- Dolage, D.A.R.; Dias, M.G.S.; Ariyawansa, C.T. Offshore Sand as a Fine Aggregate for Concrete Production. Br. J. Appl. Sci. Technol. 2013, 3, 813–825. [Google Scholar] [CrossRef]
- Ahmad, J.; Martínez-García, R.; De-Prado-Gil, J.; Irshad, K.; El-Shorbagy, M.A.; Fediuk, R.; Vatin, N.I. Concrete with Partial Substitution of Waste Glass and Recycled Concrete Aggregate. Materials 2022, 15, 430. [Google Scholar] [CrossRef]
- Thompson, J.Y.; Stoner, B.R.; Piascik, J.R.; Smith, R. Adhesion/Cementation to Zirconia and Other Non-Silicate Ceramics: Where Are We Now? Dent. Mater. 2011, 27, 71–82. [Google Scholar] [CrossRef] [PubMed] [Green Version]
- Rossetti, V.A.; Medici, F. Inertization of Toxic Metals in Cement Matrices: Effects on Hydration, Setting and Hardening. Cem. Concr. Res. 1995, 25, 1147–1152. [Google Scholar] [CrossRef]
- Opoczky, L.; Gavel, V. Effect of Certain Trace Elements on the Grindability of Cement Clinkers in the Connection with the Use of Wastes. Int. J. Miner. Process. 2004, 74, S129–S136. [Google Scholar] [CrossRef]
- Mesci, B.; Çoruh, S.; Ergun, O.N. Use of Selected Industrial Waste Materials in Concrete Mixture. Environ. Prog. Sustain. Energy 2011, 30, 368–376. [Google Scholar] [CrossRef]
- Idir, R.; Cyr, M.; Tagnit-Hamou, A. Use of Fine Glass as ASR Inhibitor in Glass Aggregate Mortars. Constr. Build. Mater. 2010, 24, 1309–1312. [Google Scholar] [CrossRef]
- Linora Metilda, D.; Selvamony, C.; Anandakumar, R.; Seeni, A. Experimental Investigation on Optimum Possibility of Replacing Cement by Redmud. Int. J. Appl. Eng. Res. 2015, 10, 4569–4578. [Google Scholar]
- Hajimohammadi, A.; Ngo, T.; Kashani, A. Sustainable One-Part Geopolymer Foams with Glass Fines versus Sand as Aggregates. Constr. Build. Mater. 2018, 171, 223–231. [Google Scholar] [CrossRef]
- Limbachiya, M.C. Bulk Engineering and Durability Properties of Washed Glass Sand Concrete. Constr. Build. Mater. 2009, 23, 1078–1083. [Google Scholar] [CrossRef]
- Lesovik, V.; Volodchenko, A.; Fediuk, R.; Amran, Y.H.M.; Timokhin, R. Enhancing Performances of Clay Masonry Materials Based on Nanosize Mine Waste. Constr. Build. Mater. 2021, 269, 121333. [Google Scholar] [CrossRef]
- Taskin, A.; Fediuk, R.; Grebenyuk, I.; Elkin, O.; Kholodov, A. Effective Cement Binders on Fly and Slag Waste from Heat Power Industry of the Primorsky Krai, Russian Federation. Int. J. Sci. Technol. Res. 2020, 9, 3509–3512. [Google Scholar]
- Fediuk, R.S.; Yushin, A.M. The Use of Fly Ash the Thermal Power Plants in the Construction. In Proceedings of the IOP Conference Series: Materials Science and Engineering; IOP Publishing: Bristol, UK, 2015; Volume 93, p. 12070. [Google Scholar]
- Du, H.; Tan, K.H. Use of Waste Glass as Sand in Mortar: Part II–Alkali–Silica Reaction and Mitigation Methods. Cem. Concr. Compos. 2013, 35, 118–126. [Google Scholar] [CrossRef]
- Abdelgader, H.; Fediuk, R.; Kurpińska, M.; Elkhatib, J.; Murali, G.; Baranov, A.V.; Timokhin, R.A. Mechanical Properties of Two-Stage Concrete Modified by Silica Fume. Mag. Civ. Eng. 2019, 89, 26–38. [Google Scholar]
- Federico, L.M.; Chidiac, S.E. Waste Glass as a Supplementary Cementitious Material in Concrete–Critical Review of Treatment Methods. Cem. Concr. Compos. 2009, 31, 606–610. [Google Scholar] [CrossRef]
- Vigneshpandian, G.V.; Shruthi, E.A.; Venkatasubramanian, C.; Muthu, D. Utilisation of Waste Marble Dust as Fine Aggregate in Concrete. IOP Conf. Ser. Earth Environ. Sci. 2017, 80, 012007. [Google Scholar] [CrossRef] [Green Version]
- Bahoria, B.V.; Parbat, D.K.; Naganaik, P.B. Replacement of Natural Sand in Concrete by Waste Products: A State of Art. J. Environ. Res. Dev. 2013, 7, 1651. [Google Scholar]
- Luhar, S.; Cheng, T.-W.; Nicolaides, D.; Luhar, I.; Panias, D.; Sakkas, K. Valorisation of Glass Wastes for the Development of Geopolymer Composites–Durability, Thermal and Microstructural Properties: A Review. Constr. Build. Mater. 2019, 222, 673–687. [Google Scholar] [CrossRef]
- Başar, H.M.; Aksoy, N.D. Recovery Applications of Waste Foundry Sand. J. Eng. Nat. Sci. 2012, 30, 205–224. [Google Scholar]
- Siddique, R. Utilization of Industrial By-Products in Concrete. Procedia Eng. 2014, 95, 335–347. [Google Scholar] [CrossRef] [Green Version]
- Siddique, R.; Noumowe, A. Utilization of Spent Foundry Sand in Controlled Low-Strength Materials and Concrete. Resour. Conserv. Recycl. 2008, 53, 27–35. [Google Scholar] [CrossRef]
- Hinghofer-Szalkay, D.; Koch, B.A. European Union. In European Tort Law 2008; Springer: Berlin/Heidelberg, Germany, 2009; pp. 647–657. [Google Scholar]
- Miguel, R.E.; Ippolito, J.A.; Leytem, A.B.; Porta, A.A.; Noriega, R.B.B.; Dungan, R.S. Analysis of Total Metals in Waste Molding and Core Sands from Ferrous and Non-Ferrous Foundries. J. Environ. Manag. 2012, 110, 77–81. [Google Scholar] [CrossRef]
- Winkler, E.S.; Bol’shakov, A.A. Characterization of Foundry Sand Waste; Chelsea Center Form Recycling and Economic Development: Chelsea, MA, USA, 2000. [Google Scholar]
- Siddique, R.; Kaur, G.; Rajor, A. Waste Foundry Sand and Its Leachate Characteristics. Resour. Conserv. Recycl. 2010, 54, 1027–1036. [Google Scholar] [CrossRef]
- Çevik, S.; Mutuk, T.; Oktay, B.M.; Demirbaş, A.K. Mechanical and Microstructural Characterization of Cement Mortars Prepared by Waste Foundry Sand (WFS). J. Aust. Ceram. Soc. 2017, 53, 829–837. [Google Scholar] [CrossRef]
- Park, C.-L.; Kim, B.-G.; Yu, Y. The Regeneration of Waste Foundry Sand and Residue Stabilization Using Coal Refuse. J. Hazard. Mater. 2012, 203, 176–182. [Google Scholar] [CrossRef]
- Doğan-Sağlamtimur, N. Waste Foundry Sand Usage for Building Material Production: A First Geopolymer Record in Material Reuse. Adv. Civ. Eng. 2018, 2018, 1927135. [Google Scholar] [CrossRef] [Green Version]
- Thiruvenkitam, M.; Pandian, S.; Santra, M.; Subramanian, D. Use of Waste Foundry Sand as a Partial Replacement to Produce Green Concrete: Mechanical Properties, Durability Attributes and Its Economical Assessment. Environ. Technol. Innov. 2020, 19, 101022. [Google Scholar] [CrossRef]
- Abichou, T.; Benson, C.H.; Edil, T.B. Database on Beneficial Reuse of Foundry By-Products. In Proceedings of the Recycled Materials in Geotechnical Applications, ASCE, Boston, MA, USA, 18–21 October 1998; pp. 210–223. [Google Scholar]
- Sawai, H.; Rahman, I.M.M.; Fujita, M.; Jii, N.; Wakabayashi, T.; Begum, Z.A.; Maki, T.; Mizutani, S.; Hasegawa, H. Decontamination of Metal-Contaminated Waste Foundry Sands Using an EDTA–NaOH–NH3 Washing Solution. Chem. Eng. J. 2016, 296, 199–208. [Google Scholar] [CrossRef] [Green Version]
- Mavroulidou, M.; Lawrence, D. Can Waste Foundry Sand Fully Replace Structural Concrete Sand? J. Mater. Cycles Waste Manag. 2019, 21, 594–605. [Google Scholar] [CrossRef] [Green Version]
- Branca, T.A.; Colla, V.; Algermissen, D.; Granbom, H.; Martini, U.; Morillon, A.; Pietruck, R.; Rosendahl, S. Reuse and Recycling of By-Products in the Steel Sector: Recent Achievements Paving the Way to Circular Economy and Industrial Symbiosis in Europe. Metals 2020, 10, 345. [Google Scholar] [CrossRef] [Green Version]
- Madzivhandila, T. Waste Sand Management in South African Foundries; University of Johannesburg: Johannesburg, South Africa, 2018; ISBN 9798728205807. [Google Scholar]
- Javed, S.; Lovell, C.W. Uses of Waste Foundry Sands in Civil Engineering; Transportation Research Board: Washington, DC, USA, 1995; pp. 109–113. [Google Scholar]
- Ahmad, J.; Aslam, F.; Zaid, O.; Alyousef, R.; Alabduljabbar, H. Mechanical and Durability Characteristics of Sustainable Concrete Modified with Partial Substitution of Waste Foundry Sand. Struct. Concr. 2021, 22, 2775–2790. [Google Scholar] [CrossRef]
- C 33/C33M; Stand Specification Concrete Aggregates. ASTM: West Conshohocken, PA, USA, 2008.
- Prasad, V.D.; Prakash, E.L.; Abishek, M.; Dev, K.U.; Kiran, C.K.S. Study on Concrete Containing Waste Foundry Sand, Fly Ash and Polypropylene Fibre Using Taguchi Method. Mater. Today Proc. 2018, 5, 23964–23973. [Google Scholar] [CrossRef]
- Siddique, R.; Aggarwal, Y.; Aggarwal, P.; Kadri, E.-H.; Bennacer, R. Strength, Durability, and Micro-Structural Properties of Concrete Made with Used-Foundry Sand (UFS). Constr. Build. Mater. 2011, 25, 1916–1925. [Google Scholar] [CrossRef]
- Bilal, H.; Yaqub, M.; Rehman, S.K.U.; Abid, M.; Alyousef, R.; Alabduljabbar, H.; Aslam, F. Performance of Foundry Sand Concrete under Ambient and Elevated Temperatures. Materials 2019, 12, 2645. [Google Scholar] [CrossRef] [Green Version]
- Guney, Y.; Sari, Y.D.; Yalcin, M.; Tuncan, A.; Donmez, S. Re-Usage of Waste Foundry Sand in High-Strength Concrete. Waste Manag. 2010, 30, 1705–1713. [Google Scholar] [CrossRef]
- Singh, G.; Siddique, R. Effect of Waste Foundry Sand (WFS) as Partial Replacement of Sand on the Strength, Ultrasonic Pulse Velocity and Permeability of Concrete. Constr. Build. Mater. 2012, 26, 416–422. [Google Scholar] [CrossRef]
- Makul, N.; Sua-Iam, G. Innovative Utilization of Foundry Sand Waste Obtained from the Manufacture of Automobile Engine Parts as a Cement Replacement Material in Concrete Production. J. Clean. Prod. 2018, 199, 305–320. [Google Scholar] [CrossRef]
- Pourkhorshidi, A.R.; Najimi, M.; Parhizkar, T.; Jafarpour, F.; Hillemeier, B. Applicability of the Standard Specifications of ASTM C618 for Evaluation of Natural Pozzolans. Cem. Concr. Compos. 2010, 32, 794–800. [Google Scholar] [CrossRef]
- Mehta, P.K.; Monteiro, P.J.M. Concrete Microstructure, Properties and Materials; McGraw-Hill Education: New York, NY, USA, 2017. [Google Scholar]
- Prabhu, G.G.; Hyun, J.H.; Kim, Y.Y. Effects of Foundry Sand as a Fine Aggregate in Concrete Production. Constr. Build. Mater. 2014, 70, 514–521. [Google Scholar] [CrossRef]
- Sowmya, M.; Kumar, J.D.C. Mixing of Waste Foundry Sand in Concrete. Int. J. Eng. Res. Sci. Technol 2015, 4, 322–335. [Google Scholar]
- Mushtaq, S.M.; Siddique, R.; Goyal, S.; Kaur, K. Experimental Studies and Drying Shrinkage Prediction Model for Concrete Containing Waste Foundry Sand. Clean. Eng. Technol. 2021, 2, 100071. [Google Scholar] [CrossRef]
- Reshma, T.V.; Manjunatha, M.; Sankalpasri, S.; Tanu, H.M. Effect of Waste Foundry Sand and Fly Ash on Mechanical and Fresh Properties of Concrete. Mater. Today Proc. 2021, 47, 3625–3632. [Google Scholar] [CrossRef]
- Aggarwal, Y.; Siddique, R. Microstructure and Properties of Concrete Using Bottom Ash and Waste Foundry Sand as Partial Replacement of Fine Aggregates. Constr. Build. Mater. 2014, 54, 210–223. [Google Scholar] [CrossRef] [Green Version]
- Manoharan, T.; Laksmanan, D.; Mylsamy, K.; Sivakumar, P.; Sircar, A. Engineering Properties of Concrete with Partial Utilization of Used Foundry Sand. Waste Manag. 2018, 71, 454–460. [Google Scholar] [CrossRef] [PubMed]
- Siddique, R.; Singh, G.; Singh, M. Recycle Option for Metallurgical By-Product (Spent Foundry Sand) in Green Concrete for Sustainable Construction. J. Clean. Prod. 2018, 172, 1111–1120. [Google Scholar] [CrossRef]
- Chevuri, V.R.; Sridhar, S. Usage of Waste Foundry Sand in Concrete. Int. J. Civ. Eng. 2015, 2, 5–10. [Google Scholar] [CrossRef]
- De Barros Martins, M.A.; Barros, R.M.; Silva, G.; dos Santos, I.F.S. Study on Waste Foundry Exhaust Sand, WFES, as a Partial Substitute of Fine Aggregates in Conventional Concrete. Sustain. Cities Soc. 2019, 45, 187–196. [Google Scholar] [CrossRef]
- Parashar, A.; Aggarwal, P.; Saini, B.; Aggarwal, Y.; Bishnoi, S. Study on Performance Enhancement of Self-Compacting Concrete Incorporating Waste Foundry Sand. Constr. Build. Mater. 2020, 251, 118875. [Google Scholar] [CrossRef]
- Kaur, G.; Siddique, R.; Rajor, A. Properties of Concrete Containing Fungal Treated Waste Foundry Sand. Constr. Build. Mater. 2012, 29, 82–87. [Google Scholar] [CrossRef]
- C496-71; Stand Method Test Split Tensile Strength Cylind Concr Specimens. 1976.
- Ganesh Prabhu, G.; Bang, J.W.; Lee, B.J.; Hyun, J.H.; Kim, Y.Y. Mechanical and Durability Properties of Concrete Made with Used Foundry Sand as Fine Aggregate. Adv. Mater. Sci. Eng. 2015, 2015, 161753. [Google Scholar] [CrossRef] [Green Version]
- Siddique, R.; Sandhu, R.K. Properties of Self-Compacting Concrete Incorporating Waste Foundry Sand. Leonardo J. Sci. 2013, 23, 105–124. [Google Scholar]
- Basar, H.M.; Aksoy, N.D. The Effect of Waste Foundry Sand (WFS) as Partial Replacement of Sand on the Mechanical, Leaching and Micro-Structural Characteristics of Ready-Mixed Concrete. Constr. Build. Mater. 2012, 35, 508–515. [Google Scholar] [CrossRef]
- Pathariya Saraswati, C.; Rana Jaykrushna, K.; Shah Palas, A.; Mehta Jay, G. Application of Waste Foundry Sand for Evolution of Low-Cost Concrete; Citeseer: University Park, PA, USA, 2013; Volume 4. [Google Scholar]
- American Society for Testing Materials. Standard Test Method for Flexural Strength of Concrete (Using Simple Beam with Third-Point Loading); American Society for Testing Materials: West Conshohocken, PA, USA, 2010; Volume 100, pp. 12959–19428. [Google Scholar]
- Mynuddin, S.A.; Mohan, M.; Reddy, T.I.; Pratik Reddy, N.P. Strength Behavior of Concrete Produced with Foundry Sand as Fine Aggregate Replacement. Int. J. Mod. Trends Eng. Sci. 2018, 5, 3476–3480. [Google Scholar]
- Siddique, R.; De Schutter, G.; Noumowe, A. Effect of Used-Foundry Sand on the Mechanical Properties of Concrete. Constr. Build. Mater. 2009, 23, 976–980. [Google Scholar] [CrossRef]
- Sua-iam, G.; Makul, N.; Cheng, S.; Sokrai, P. Workability and Compressive Strength Development of Self-Consolidating Concrete Incorporating Rice Husk Ash and Foundry Sand Waste–A Preliminary Experimental Study. Constr. Build. Mater. 2019, 228, 116813. [Google Scholar] [CrossRef]
- Raja, K.C.P.; Thaniarasu, I.; Elkotb, M.A.; Ansari, K.; Saleel, C.A. Shrinkage Study and Strength Aspects of Concrete with Foundry Sand and Coconut Shell as a Partial Replacement for Coarse and Fine Aggregate. Materials 2021, 14, 7420. [Google Scholar] [CrossRef] [PubMed]
- Jadhav, S.S.; Tande, S.N.; Dubal, A.C. Beneficial Reuse of Waste Foundry Sand in Concrete. Int. J. Sci. Res. Publ. 2017, 7, 74–95. [Google Scholar]
- Bhandari, P.; Tajne, D.K.M. Use of Foundry Sand in Conventional Concrete. Int. J. Latest Trends Eng. Technol. 2016, 3, 249–254. [Google Scholar]
- Kumar, A.; Pratheba, S.; Rajendran, R.; Perumal, K.; Lingeshwaran, N.; Sambaraju, S. An Experimental Study on the Mechanical Properties of Concrete Replacing Sand with Quarry Dust and Waste Foundry Sand. Mater. Today Proc. 2020, 33, 828–832. [Google Scholar] [CrossRef]
- Kavitha, O.R.; Shyamala, G.; Akshana, V. Study of Sustainable Concrete Property Containing Waste Foundry Sand. Mater. Today Proc. 2021, 39, 855–860. [Google Scholar] [CrossRef]
- Zai, A.A.R.; Salhotra, S. Effect of Waste Foundry Sand and Glass Fiber on Mechanical Properties and Fire Resistance of High-Strength Concrete. Mater. Today Proc. 2020, 33, 1733–1740. [Google Scholar]
- Salokhe, E.P.; Desai, D.B. Application of Foundry Waste Sand in Manufacture of Concrete. In Proceedings of the Second International Conference on Emerging Trends in Engineering (SICETE), London, UK, 30–31 May 2014; pp. 1684–2278. [Google Scholar]
- Khatib, J.M.; Baig, S.; Bougara, A.; Booth, C. Foundry Sand Utilisation in Concrete Production. In Proceedings of the Second International Conference on Sustainable Construction Materials and Technologies, Ancona, Italy, 28 June 2010; Citeseer: Princeton, NJ, USA, 2010; Volume 1, pp. 1490–4507. [Google Scholar]
- Makul, N.; Sokrai, P. Influences of Fine Waste Foundry Sand from the Automobile Engine-Part Casting Process and Water-Cementitious Ratio on the Properties of Concrete: A New Approach to Use of a Partial Cement Replacement Material. J. Build. Eng. 2018, 20, 544–558. [Google Scholar] [CrossRef]
- ASTM Standard C1202–18; Standard Test Method for Electrical Indication of Concrete’s Ability to Resist Chloride Ion Penetration. ASTM: West Conshohocken, PA, USA, 2012.










| Authors | Divya et al. [41] | Siddique et al. [42] | Ahmad et al. [39] | Bilal et al. [43] | Guney et al. [44] |
|---|---|---|---|---|---|
| Specific gravity | 2.4 | 2.61 | 2.34 | 2.55 | 2.45 |
| Absorption (%) | 1.7 | 1.3 | 4.08 | 1.48 | - |
| Fineness Modulus | 1.86 | 1.78 | 2.33 | 1.90 | - |
| Moisture Content (%) | Nil | - | - | - | 3.25 |
| Particle finer than 75 µm (%) | - | 18 | - | - | 24 |
| Unit weight (kg/m3) | - | 1638 | 1546 | 1555 | - |
| Authors | Ahmad et al. [39] | Divya et al. [41] | Bilal et al. [43] | Guney et al. [44] | Dogan et al. [31] |
|---|---|---|---|---|---|
| SiO2 | 81.8 | 88.11 | 88.50 | 98 | 98.64 |
| Al2O3 | 6.9 | 0.49 | 4.63 | 0.8 | 0.74 |
| Fe2O3 | 2.3 | 2.38 | 0.83 | 0.25 | 1.01 |
| MgO | 0.32 | 0.76 | 0.21 | 0.023 | 0.50 |
| CaO | 3.55 | 1.65 | 0.90 | 0.035 | 0.35 |
| NaO2 | 0.6 | 0.95 | 0.02 | 0.04 | 1.07 |
| K2O | 0.9 | 0.83 | 0.01 | 0.04 | 0.21 |
| Author | WFS Replacement with Fine Aggregate | Slump (mm) | Compression Strength (MPa) | Flexure Strength (MPa) | Split Tensile Strength (MPa) |
|---|---|---|---|---|---|
| Mynuddin et al. [66] | 0% | 24.36 | 4.58 | 1.6 | |
| 50% | 22.34 | 4.28 | 1.8 | ||
| 100% | 19.7 | 4.13 | 1.4 | ||
| Bilal et al. [43] | 0% | 32 | 28.0 | 6.01, | 2.5 |
| 10% | 30 | 28.36 | 6.35, | 3.22 | |
| 20% | 30 | 29.0 | 6.52, | 3.31 | |
| 30% | 27 | 29.5 | 6.55, | 3.48 | |
| 40% | 22. | 30.0 | 6.32. | 3.56 | |
| Raja et al. [69] | WFS–CS% | ||||
| 10–10 | 49 | 28.9 | 3.92 | 2.99 | |
| 20–10 | 42 | 30.4 | 4.12 | 2.95 | |
| 30–10 | 32 | 32.1 | 4.26 | 2.88 | |
| 10–20 | 41 | 27.5 | 3.86 | 2.79 | |
| 20–20 | 38 | 24.2 | 3.69 | 2.62 | |
| 30–20 | 30 | 22.3 | 3.57 | 2.5 | |
| Jadhav et al. [70] | 0% | - | 27.17 | - | - |
| 10% | 29.79 | ||||
| 30% | 30.66 | ||||
| 50% | 29.07 | ||||
| 100% | 25.58 | ||||
| Sowmya et al. [50] | 0% | 110 | 31.11 | 5.5 | 3.3 |
| 10% | 100 | 33.92 | 5.75 | 3.85 | |
| 20% | 80 | 34.04 | 5.8 | 4.24 | |
| 30% | 45 | 33 | 5.6 | 3.65 | |
| 40% | 35 | 32 | 5.55 | 3.6 | |
| Bhandari et al. [71] | 0% | - | 32.58 | - | - |
| 10% | 32.87 | ||||
| 20% | 33.51 | ||||
| 30% | 18.21 | ||||
| 40% | 10.74 | ||||
| 60% | 5.37 | ||||
| 80% | 3.22 | ||||
| 100% | 1.57 | ||||
| Siddique et al. [67] | 0% | - | 37.4 | 3.41 | 2.56 |
| 10% | 38.4 | 4.00 | 2.75 | ||
| 20% | 29.5 | 4.10 | 2.85 | ||
| 30% | 30.5 | 4.18 | 2.90 | ||
| Mavroulidou et al. [35] | 0% | - | 46 | 4.6 | 2.85 |
| 10% | 50.5 | 4.9 | 2.95 | ||
| 30% | 49 | 4.8 | 2.9 | ||
| 50% | 48.5 | 4.85 | 2.9 | ||
| 70% | 46 | 4.85 | 2.9 | ||
| 100% | 48.5 | 485 | 2.85 | ||
| Parashar et al. [58] | 0% | - | 34.4 | - | 1.08 |
| 10% | 32.4 | 1.55 | |||
| 20% | 26.4 | 1.48 | |||
| 30% | 21.8 | 1.17 | |||
| 40% | 215 | 1.13 | |||
| Kumar et al. [72] | Control | - | 20 | 3.13 | 1.21 |
| QD: WFS | |||||
| 70:30 | 22.2 | 3.57 | 1.27 | ||
| 80:20 | 23.3 | 3.78 | 1.38 | ||
| Thiruvenkitam et al. [32] | 0% | - | 34.5 | 5.75 | 2.3 |
| 5% | 35 | 5.85 | 2.46 | ||
| 10% | 35.5 | 6.30 | 2.5 | ||
| 15% | 37 | 6.45 | 2.57 | ||
| 20% | 35.4 | 5.90 | 2.48 | ||
| 25% | 33.5 | 5.85 | 2.35 | ||
| Reshma et al. [52] | 0% | 85 | 40.56 | 4.12 | 4.96 |
| 10% | 100 | 42.35 | 4.25 | 5.12 | |
| 20% | 110 | 42.96 | 4.36 | 5.23 | |
| 30% | 115 | 43.05 | 4.47 | 5.36 | |
| 40% | 90 | 41.26 | 4.15 | 5.05 | |
| Kavitha et al. [73] | Treated: Untreated | - | |||
| 0 | 118 | 38.15 | 4.1 | ||
| 10:10 | 100:99 | 41.96:40.39 | 4.42:4.34 | ||
| 20:20 | 90:89 | 44.15:42.25 | 4.65:4.57 | ||
| 30:30 | 84:83 | 49.29:45.34 | 4.94:4.74 | ||
| 40:40 | 80:78 | 43.38:41.37 | 4.35:4.55 | ||
| 50:50 | 65:62 | 40.25:38.55 | 4.21:4.33 | ||
| Mushtaq et al. [51] | 0% | 90 | 34 | - | 3.00 |
| 10% | 80 | 27 | 2.80 | ||
| 20% | 75 | 30 | 2.90 | ||
| 30% | 65 | 32 | 2.95 | ||
| 40% | 45 | 33 | 2.50 | ||
| 50% | 25 | 27 | 2.45 | ||
| Zai et al. [74] | WFS: GF | ||||
| 0:0 | 100 | 42 | 6.24 | 3.07 | |
| 40:0.5 | 85 | 37 | 6.68 | 3.106 | |
| 50:0.5 | 75 | 35 | 6.4 | 3.09 | |
| 40:1 | 80 | 46 | 6.76 | 3.64 | |
| 50:1 | 100 | 37 | 6.48 | 3.17 | |
| Barros et al. [57] | 0% | 41 | 3.5 | ||
| 10% | 39 | 3.55 | |||
| 20% | 42 | 3.23 | |||
| 30% | 42.3 | 3.42 | |||
| 40% | 46 | 3.85 | |||
| 50% | 44 | 3.75 | |||
| Manoharan et al. [54] | 0% | 110 | 24.0 | 4.84 | 2.2 |
| 5% | 100 | 24.5 | 4.97 | 2.3 | |
| 10% | 100 | 25 25 | 5.06 | 2.4 | |
| 15% | 90 | 25.9 | 5.14 | 2.6 | |
| 20% | 85 | 26.3 | 5.2 | 2.8 | |
| 25% | 80 | 22.3 | 4.78 | 2.1 | |
| Prasad et al. [41] | M: FA: WFS: PP | ||||
| M1: 20: 10: 0.5 | 130 | 32 | 5 | 3.18 | |
| M2: 20: 20: 1 | 79 | 36.5 | 5.19 | 3.82 | |
| M3: 20: 30: 1.5 | 37 | 29 | 4.34 | 2.86 | |
| M4: 25: 10: 0.5 | 84 | 30 | 5.78 | 3.50 | |
| M5: 25: 20: 1 | 43 | 34.5 | 3.90 | 3.34 | |
| M6: 25: 30: 1.5 | 119 | 33 | 4.88 | 3.66 | |
| M7: 30: 10: 0.5 | 51 | 25.5 | 5 | 2.86 | |
| M8: 30: 20: 1 | 124 | 35.5 | 4.98 | 4.13 | |
| M9: 30: 30: 1.5 | 73 | 37 | 5.15 | 3.50 | |
| CM: 0: 0: 0 | 160 | 34.5 | 4.67 | 2.86 | |
| Manoharan et al. [54] | 0% | 110 | 24.0 | 4.84 | 2.2 |
| 5% | 100 | 24.5 | 4.97 | 2.3 | |
| 10% | 100 | 25 25 | 5.06 | 2.4 | |
| 15% | 90 | 25.9 | 5.14 | 2.6 | |
| 20% | 85 | 26.3 | 5.2 | 2.8 | |
| 25% | 80 | 22.3 | 4.78 | 2.1 | |
| Siddique et al. [55] | 0% | 90 | 30 | 3.4 | |
| 5% | 85 | 34 | 3.6 | ||
| 10% | 85 | 37 | 3.85 | ||
| 15% | 80 | 38.5 | 3.9 | ||
| 20% | 75 | 37.5 | 3.8 |
Publisher’s Note: MDPI stays neutral with regard to jurisdictional claims in published maps and institutional affiliations. |
© 2022 by the authors. Licensee MDPI, Basel, Switzerland. This article is an open access article distributed under the terms and conditions of the Creative Commons Attribution (CC BY) license (https://creativecommons.org/licenses/by/4.0/).
Share and Cite
Ahmad, J.; Zhou, Z.; Martínez-García, R.; Vatin, N.I.; de-Prado-Gil, J.; El-Shorbagy, M.A. Waste Foundry Sand in Concrete Production Instead of Natural River Sand: A Review. Materials 2022, 15, 2365. https://doi.org/10.3390/ma15072365
Ahmad J, Zhou Z, Martínez-García R, Vatin NI, de-Prado-Gil J, El-Shorbagy MA. Waste Foundry Sand in Concrete Production Instead of Natural River Sand: A Review. Materials. 2022; 15(7):2365. https://doi.org/10.3390/ma15072365
Chicago/Turabian StyleAhmad, Jawad, Zhiguang Zhou, Rebeca Martínez-García, Nikolai Ivanovich Vatin, Jesús de-Prado-Gil, and Mohammed A. El-Shorbagy. 2022. "Waste Foundry Sand in Concrete Production Instead of Natural River Sand: A Review" Materials 15, no. 7: 2365. https://doi.org/10.3390/ma15072365
APA StyleAhmad, J., Zhou, Z., Martínez-García, R., Vatin, N. I., de-Prado-Gil, J., & El-Shorbagy, M. A. (2022). Waste Foundry Sand in Concrete Production Instead of Natural River Sand: A Review. Materials, 15(7), 2365. https://doi.org/10.3390/ma15072365

