Enhancing Thermoelectric Properties of (Cu2Te)1−x-(BiCuTeO)x Composites by Optimizing Carrier Concentration
Abstract
:1. Introduction
2. Materials and Methods
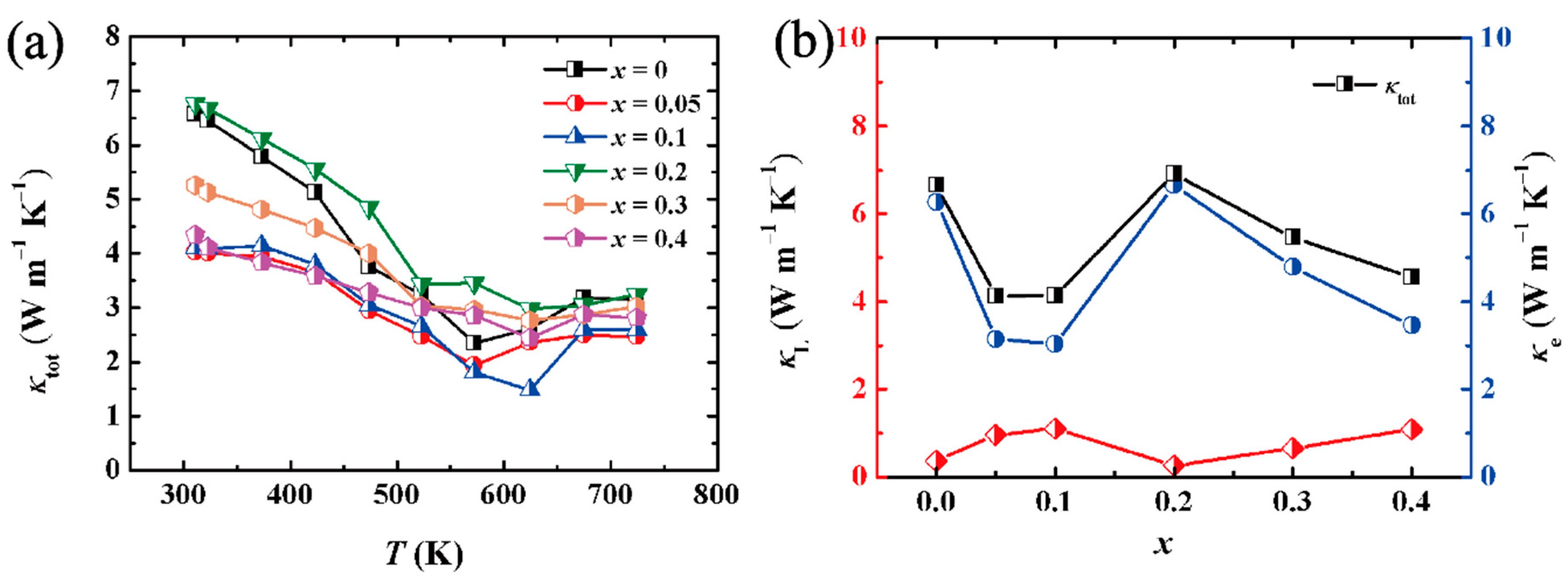
3. Results and Discussion


4. Conclusions
Author Contributions
Funding
Institutional Review Board Statement
Informed Consent Statement
Data Availability Statement
Conflicts of Interest
References
- Wu, Z.; Zhang, S.; Liu, Z.; Mu, E.; Hu, Z. Thermoelectric converter: Strategies from materials to device application. Nano Energy 2022, 91, 106692. [Google Scholar] [CrossRef]
- Zeier, W.G.; Zevalkink, A.; Gibbs, Z.M.; Hautier, H.; Kanatzidis, M.G.; Snyder, G.J. Thinking Like a Chemist: Intuition in Thermoelectric Materials. Angew. Chem. Int. Ed. 2016, 55, 6826–6841. [Google Scholar] [CrossRef] [PubMed]
- Tan, G.; Zhao, L.-D.; Kanatzidis, M.G. Rationally Designing High-Performance Bulk Thermoelectric Materials. Chem. Rev. 2016, 116, 12123–12149. [Google Scholar] [CrossRef] [PubMed]
- Zhu, T.; Liu, Y.; Fu, C.; Joseph, P.; Snyder, J.G.; Zhao, X. Compromise and Synergy in High-Efficiency Thermoelectric Materials. Adv. Mater. 2017, 29, 1605884. [Google Scholar] [CrossRef]
- Shi, X.; Chen, L. Thermoelectric materials step up. Nat. Mater. 2016, 15, 691–692. [Google Scholar] [CrossRef]
- Shi, X.-L.; Zou, J.; Chen, Z.-G. Advanced Thermoelectric Design: From Materials and Structures to Devices. Chem. Rev. 2020, 120, 7399–7515. [Google Scholar] [CrossRef]
- Yang, L.; Chen, Z.-G.; Dargusch, M.S.; Zou, J. High Performance Thermoelectric Materials: Progress and Their Applications. Adv. Energy Mater. 2018, 8, 1701797. [Google Scholar] [CrossRef]
- Poudeu, P.F.P.; Guéguen, A.; Wu, C.-I.; Hogan, T.; Kanatzidis, M.G. High Figure of Merit in Nanostructured n-Type KPbmSbTem+2 Thermoelectric Materials. Chem. Mater. 2010, 22, 1046–1053. [Google Scholar] [CrossRef]
- Snyder, G.J.; Toberer, E.S. Complex thermoelectric materials. Nat. Mater. 2008, 7, 105–114. [Google Scholar] [CrossRef]
- Hicks, L.D.; Dresselhaus, M.S. Effect of quantum-well structures on the thermoelectric figure of merit. Phys. Rev. B 1993, 47, 12727–12731. [Google Scholar] [CrossRef]
- Venkatasubramanian, R.; Siivola, E.; Colpitts, T.; O’Quinn, B. Thin-film thermoelectric devices with high room-temperature figures of merit. Nature 2001, 413, 597–602. [Google Scholar] [CrossRef]
- Pei, Y.; Shi, X.; Lalonde, A.; Wang, H.; Chen, L.; Snyder, G.J. Convergence of electronic bands for high performance bulk thermoelectrics. Nature 2011, 473, 66–69. [Google Scholar] [CrossRef]
- He, W.; Wang, D.; Wu, H.; Xiao, Y.; Zhang, Y.; He, D.; Feng, Y.; Hao, Y.-J.; Dong, J.-F.; Chetty, R.; et al. High thermoelectric performance in low-cost SnS0.91Se0.09 crystals. Science 2019, 365, 1418–1424. [Google Scholar] [CrossRef]
- Lee, W.-Y.; Park, N.-W.; Kang, S.-Y.; Kang, M.-S.; Bui, T.; Seok, J.; Kim, G.-S.; Saitoh, E.; Lee, S.-K. Bidirectional energy filtering for electronic and phonon transport in Al2O3/ZnO superlattice films with anisotropy. J. Alloys Compd. 2020, 815, 152482. [Google Scholar] [CrossRef]
- Zhou, Z.; Xu, Y.; Zou, M.; Liu, C.; Lan, J.; Lin, Y.-H.; Nan, C.-W. A sandwich structure assisted by defect engineering for higher thermoelectric performance in ZnO-based films. J. Am. Ceram. Soc. 2021, 104, 1370–1378. [Google Scholar] [CrossRef]
- Zhou, Z.; Zou, M.; Xu, Y.; Lan, J.; Liu, C.; Ahand, A.; Lin, Y.-H.; Nan, C.-W. High thermoelectric performance of high-mobility Ga-doped ZnO films via homogenous interface design. J. Am. Ceram. Soc. 2021, 104, 3992–3999. [Google Scholar] [CrossRef]
- Heremans, J.P.; Jovovic, V.; Toberer, E.S.; Saramat, A.; Kurosaki, K.; Charoenphakdee, A.; Yamanaka, S.; Snyder, G.J. Enhancement of Thermoelectric Efficiency in PbTe by Distortion of the Electronic Density of States. Science 2008, 321, 554–557. [Google Scholar] [CrossRef] [Green Version]
- Heremans, J.P.; Thrush, C.M.; Morelli, D.T. Thermopower enhancement in lead telluride nanostructures. Phys. Rev. B 2004, 70, 115334. [Google Scholar] [CrossRef]
- Biswas, K.; He, J.; Blum, I.D.; Wu, C.-I.; Hogan, T.P.; Seidman, D.N.; Dravid, V.P.; Kanatzidis, M.G. Correction: Corrigendum: High-performance bulk thermoelectrics with all-scale hierarchical architectures. Nature 2012, 489, 414–418. [Google Scholar] [CrossRef]
- He, J.; Kanatzidis, M.G.; Dravid, V.P. High performance bulk thermoelectrics via a panoscopic approach. Mater. Today 2013, 16, 166–176. [Google Scholar] [CrossRef]
- Zheng, Y.; Zou, M.; Zhang, W.; Yi, D.; Lan, J.L.; Nan, C.-W.; Lin, Y.-H. Electrical and thermal transport behaviours of high-entropy perovskite thermoelectric oxides. J. Adv. Ceram. 2021, 10, 377–384. [Google Scholar] [CrossRef]
- Zhou, Z.; Chai, Y.; Ikuta, Y.; Lee, Y.; Lin, Y.-H.; Kimura, Y. Reduced Thermal Conductivity of Mg2(Si, Sn) Solid Solutions by a Gradient Composition Layered Microstructure. ACS Appl. Mater. Int. 2020, 12, 19547–19552. [Google Scholar] [CrossRef]
- Wu, H.; Zhao, L.D.; Zheng, F.; Wu, D.; Pei, Y.; Tong, X.; Kanatzidis, M.G.; He, J. Broad temperature plateau for thermoelectric figure of merit ZT>2 in phase-separated PbTe0.7S0.3. Nat. Commun. 2014, 5, 4515. [Google Scholar] [CrossRef] [Green Version]
- Wang, Y.; Liu, W.-D.; Shi, X.-L.; Hong, M.; Wang, L.-J.; Li, M.; Wang, H.; Zou, J.; Chen, Z.-G. Enhanced thermoelectric properties of nanostructured n-type Bi2Te3 by suppressing Te vacancy through non-equilibrium fast reaction. Chem. Eng. J. 2020, 391, 123513. [Google Scholar] [CrossRef]
- Baranovskiy, A.; Harush, M.; Amouyal, Y. On the Influence of Rare Earth Dopants on Thermal Transport in Thermoelectric Bi2Te3 Compounds: An Ab Initio Perspective. Adv. Theory Simul. 2019, 2, 1800162. [Google Scholar] [CrossRef]
- Roychowdhury, S.; Ghosh, T.; Arora, R.; Samanta, M.; Xie, L.; Singh, N.K.; Soni, A.; He, J.; Waghmare, U.V.; Biswas, K. Enhanced atomic ordering leads to high thermoelectric performance in AgSbTe2. Science 2021, 371, 722–727. [Google Scholar] [CrossRef]
- Hong, M.; Chen, Z.-G.; Yang, L.; Liao, Z.-M.; Zou, Y.-C.; Chen, Y.-H.; Matsumura, S.; Zou, J. Achieving ZT > 2 in p-Type AgSbTe2−xSex Alloys via Exploring the Extra Light Valence Band and Introducing Dense Stacking Faults. Adv. Energy Mater. 2018, 8, 1702333. [Google Scholar] [CrossRef]
- Dabin, P.; Hyun, J.; Taeseob, O.; Jooheon, K. Facile fabrication of one-dimensional Te/Cu2Te nanorod composites with improved thermoelectric power factor and low thermal conductivity. Sci. Rep. 2018, 8, 18082. [Google Scholar]
- Sayan, S.; Prashant, K.-S.; Shrikant, S.; Paolo, M.; Michael, L.-F. Synergistic effect of band convergence and carrier transport on enhancing the thermoelectric performance of Ga doped Cu2Te at medium temperatures. Sci. Rep. 2019, 9, 8180. [Google Scholar]
- Liu, W.-D.; Yang, L.; Chen, Z.-G. Cu2Se thermoelectrics: Property, methodology, and device. Nano Today 2020, 35, 100938. [Google Scholar] [CrossRef]
- Liang, X.; Jin, D.; Dai, F. Phase Transition Engineering of Cu2S to Widen the Temperature Window of Improved Thermoelectric Performance. Adv. Electron. Mater. 2019, 5, 1900486. [Google Scholar] [CrossRef]
- Zhao, K.; Liu, K.; Yue, Z.; Wang, Y.; Song, Q.; Li, J.; Guan, M.; Xu, Q.; Qiu, P.; Zhu, H.; et al. Are Cu2Te-Based Compounds Excellent Thermoelectric Materials. Adv. Mater. 2019, 31, 1903480. [Google Scholar] [CrossRef]
- He, Y.; Zhang, T.; Shi, X.; Wei, S.-H.; Chen, L. High thermoelectric performance in copper telluride. NPG Asia Mater. 2015, 7, e210. [Google Scholar] [CrossRef] [Green Version]
- Vaqueiro, P.; Guelou, G.; Stec, M.; Guilmeau, E.; Powell, A. A copper-containing oxytelluride as a promising thermoelectric material for waste heat recovery. J. Mater. Chem. A 2013, 1, 520–523. [Google Scholar] [CrossRef] [Green Version]
- Chen, S.-S.; Luo, Y.-C.; Zhang, Y.-Y.; Dong, S.-T.; Lv, Y.-Y.; Cui, Y.-S.; Yao, S.-H.; Zhou, J.; Chen, Y. Comparisons of electrical/magneto-transport properties of degenerate semiconductors BiCuXO (X = S, Se and Te) and their electron-phonon-interaction evolution. J. Appl. Phys. 2019, 126, 055108. [Google Scholar] [CrossRef]
- Xu, Y.; Han, J.; Luo, Y.; Liu, Y.; Ding, J.; Zhou, Z.; Liu, C.; Zou, M.; Lan, J.; Nan, C.-W.; et al. Enhanced CO2 Reduction Performance of BiCuSeO-Based Hybrid Catalysts by Synergetic Photo-Thermoelectric Effect. Adv. Funct. Mater. 2021, 31, 2105001. [Google Scholar] [CrossRef]
- Ren, G.-K.; Lan, J.; Zhao, L.-D.; Liu, C.; Yuan, H.; Shi, Y.; Zhou, Z.; Lin, Y.-H. Layered oxygen-containing thermoelectric materials: Mechanisms, strategies, and beyond. Mater. Today 2019, 29, 68–85. [Google Scholar] [CrossRef]
- Ren, G.-K.; Wang, S.; Zhou, Z.; Li, X.; Yang, J.; Zhang, W.; Lin, Y.-H.; Yang, J.; Nan, C.-W. Complex electronic structure and compositing effect in high performance thermoelectric BiCuSeO. Nat. Commun. 2019, 10, 2814. [Google Scholar] [CrossRef]
- Koumoto, K.; Wang, Y.; Zhang, R.; Kosuga, A.; Funahashi, R. Oxide Thermoelectric Materials: A Nanostructuring Approach. Annu. Rev. Mater. Res. 2010, 40, 363–394. [Google Scholar] [CrossRef]
- Leitner, J.; Chuchvalec, P.; Sedmidubsky, D.; Strejc, A.; Abrman, P. Estimation of heat capacities of solid mixed oxides. Thermochim. Acta 2002, 395, 27–46. [Google Scholar] [CrossRef]
- Asadov, Y.; Rustamova, L.; Gasimov, G.; Jafarov, K.; Babajev, A. Structural phase transitions in Cu2–xTe crystals (x = 0.00, 0.10, 0.15, 0.20, 0.25). Phase Transit. 1992, 38, 247–259. [Google Scholar] [CrossRef]




| Samples | n (cm−3) | μ (cm2 V−1s−1) | RH (cm3 C−1) | m*(m0) |
|---|---|---|---|---|
| Cu2Te | 8.085 × 1020 | 58.58 | 7.819 × 10−3 | 0.663 |
| (Cu2Te)0.95-(BiCuTeO)0.05 | 4.459 × 1020 | 54.71 | 1.400 × 10−2 | 0.785 |
| (Cu2Te)0.9-(BiCuTeO)0.1 | 3.804 × 1020 | 58.47 | 1.641 × 10−2 | 0.716 |
| (Cu2Te)0.8-(BiCuTeO)0.2 | 1.691 × 1020 | 295.40 | 3.692 × 10−2 | 0.025 |
| (Cu2Te)0.7-(BiCuTeO)0.3 | 2.289 × 1020 | 151.50 | 2.727 × 10−2 | 0.052 |
| (Cu2Te)0.6-(BiCuTeO)0.4 | 2.379 × 1020 | 102.90 | 2.627 × 10−2 | 0.110 |
Publisher’s Note: MDPI stays neutral with regard to jurisdictional claims in published maps and institutional affiliations. |
© 2022 by the authors. Licensee MDPI, Basel, Switzerland. This article is an open access article distributed under the terms and conditions of the Creative Commons Attribution (CC BY) license (https://creativecommons.org/licenses/by/4.0/).
Share and Cite
Zhang, W.; Zhou, Z.; Yang, Y.; Zheng, Y.; Xu, Y.; Zou, M.; Nan, C.-W.; Lin, Y.-H. Enhancing Thermoelectric Properties of (Cu2Te)1−x-(BiCuTeO)x Composites by Optimizing Carrier Concentration. Materials 2022, 15, 2096. https://doi.org/10.3390/ma15062096
Zhang W, Zhou Z, Yang Y, Zheng Y, Xu Y, Zou M, Nan C-W, Lin Y-H. Enhancing Thermoelectric Properties of (Cu2Te)1−x-(BiCuTeO)x Composites by Optimizing Carrier Concentration. Materials. 2022; 15(6):2096. https://doi.org/10.3390/ma15062096
Chicago/Turabian StyleZhang, Wenyu, Zhifang Zhou, Yueyang Yang, Yunpeng Zheng, Yushuai Xu, Mingchu Zou, Ce-Wen Nan, and Yuan-Hua Lin. 2022. "Enhancing Thermoelectric Properties of (Cu2Te)1−x-(BiCuTeO)x Composites by Optimizing Carrier Concentration" Materials 15, no. 6: 2096. https://doi.org/10.3390/ma15062096
APA StyleZhang, W., Zhou, Z., Yang, Y., Zheng, Y., Xu, Y., Zou, M., Nan, C.-W., & Lin, Y.-H. (2022). Enhancing Thermoelectric Properties of (Cu2Te)1−x-(BiCuTeO)x Composites by Optimizing Carrier Concentration. Materials, 15(6), 2096. https://doi.org/10.3390/ma15062096

