Effects of Organic Vehicle on the Rheological and Screen-Printing Characteristics of Silver Paste for LTCC Thick Film Electrodes
Abstract
:1. Introduction
2. Experiments
3. Results and Discussion
3.1. Influence of Solvents on Organic Vehicle
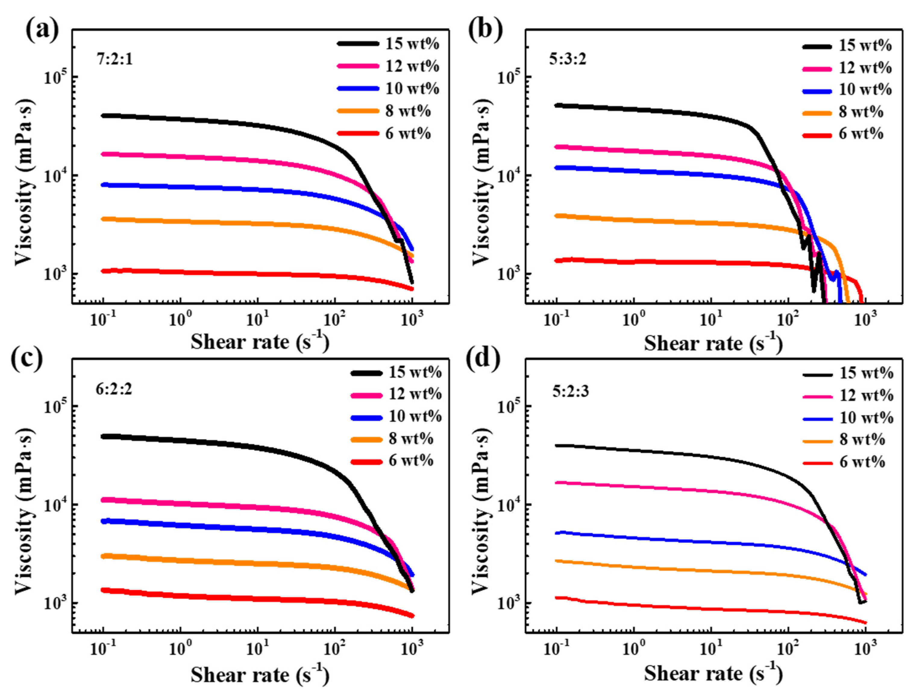
3.2. Influence of Binder on Silver Paste
3.3. Screen-Printing Characteristics
3.4. Thixotropy of Silver Paste
4. Conclusions
Author Contributions
Funding
Institutional Review Board Statement
Informed Consent Statement
Data Availability Statement
Acknowledgments
Conflicts of Interest
References
- Jantunen, H.; Kangasvieri, T.; Vähäkangas, J.; Leppävuori, S. Design aspects of microwave components with LTCC technique. J. Eur. Ceram. Soc. 2003, 23, 2541–2548. [Google Scholar] [CrossRef]
- Gao, Y.; Kong, X.; Munroe, N.; Jones, K. Evaluation of silver as a miniature direct methanol full cell electrode. J. Power Sources 2010, 195, 46–53. [Google Scholar] [CrossRef]
- Birol, H. Fabrication of Low Temperature Co-Fired Ceramic (Ltcc)-Based Sensor and Micro-Fluidic Structures. Techniques 2007, 3696, 1–160. [Google Scholar]
- Rane, S.B.; Phatak, G.J.; Gangal, S. Silver thick film pastes for low temperature co-fired ceramics: Impact of glass frit variation. Solder. Surf. Mt. Technol. 2008, 20, 41–46. [Google Scholar]
- Eberstein, M.; Kretzschmar, C.; Seuthe, T.; Marcinkowski, M.; Ihle, M.; Ziesche, S.; Partsch, U.; Gora, F. Towards highly conductive silver pastes for LTCC power electronics. In Proceedings of the 44th International Symposium on Microelectronics 2011, Long Beach, CA, USA, 9–13 October 2011; pp. 553–558. [Google Scholar]
- Jagtap, S.; Deshpande, V.; Rane, V.; Rane, S.; Phatak, G.; Amalnerkar, D. In-house development of co-fireable thick film silver conductor for LTCC applications. J. Mater. Sci. Mater. Electron. 2008, 19, 522–527. [Google Scholar] [CrossRef]
- Wu, S.P.; Zheng, L.Q.; Zhao, Q.Y.; Ding, X.H. Preparation and characterization of high-temperature silver thick film and its application in multilayer chip inductances. Colloids Surf. A Physicochem. Eng. Asp. 2010, 372, 120–126. [Google Scholar] [CrossRef]
- Chen, C.N.; Huang, C.T.; Tseng, W.J.; Wei, M.H. Dispersion and rheology of surfactant-mediated silver nanoparticle suspensions. Appl. Surf. Sci. 2010, 257, 650–655. [Google Scholar] [CrossRef]
- Taylor, B.E.; Felten, J.J.; Horowitz, S.J.; Larry, J.R.; Rosenberg, R.M. Advances in Low Cost Silver-Containing Thick Film Conductors. ElectroComponent Sci. Technol. 1981, 9, 67–85. [Google Scholar] [CrossRef] [Green Version]
- Lin, J.C.; Wang, C.Y. Effect of surface properties of silver powder on the sintering of its thick-film conductor. Mater. Chem. Phys. 1996, 45, 253–261. [Google Scholar] [CrossRef]
- Rane, S.B.; Seth, T.; Phatak, G.J.; Amalnerkar, D.P.; Ghatpande, M. Effect of inorganic binders on the properties of silver thick films. J. Mater. Sci. Mater. Electron. 2004, 15, 103–106. [Google Scholar] [CrossRef]
- Kong, D.; Lin, Z. A research on sintering process of conductive silver paste in low temperature used for silk-screen printing. AIP Conf. Proc. 2018, 1995, 020013. [Google Scholar]
- Vincent, M.; Gopalakrishnan, V.K. Factors influencing rheological characteristics of silver thick film paste and its correlation to multilayer ceramic processing. Adv. Appl. Ceram. 2018, 118, 106–113. [Google Scholar] [CrossRef]
- Hsiang, H.I.; Chen, C.C.; Fan, L.F.; Cheng, H.Y. Rheological behaviors of silver conductive pastes with ethyl cellulose. Circuit World 2020, 47, 43–49. [Google Scholar] [CrossRef]
- Alias, R.; Mohd, S. Rheological Behaviors and Their Correlation with Printing Performance of Silver Paste for LTCC Tape. In Rheology; InTech Open: Rijeka, Croatia, 2012; pp. 321–338. [Google Scholar]
- Secor, E.B.; Lim, S.; Zhang, H.; Frisbie, C.D.; Francis, L.F.; Hersam, M.C. Gravure printing of graphene for large-area flexible electronics. Adv. Mater. 2014, 26, 4533–4538. [Google Scholar] [CrossRef]
- Secor, E.B.; Prabhumirashi, P.L.; Puntambekar, K.; Geier, M.L.; Hersam, M.C. Inkjet printing of high conductivity, flexible graphene patterns. J. Phys. Chem. Lett. 2013, 4, 1347–1351. [Google Scholar] [CrossRef]
- Li, H.; Zhu, X.; Li, Z.; Yang, J.; Lan, H. Preparation of nano silver paste and applications in transparent electrodes via electric-field driven micro-scale 3D printing. Nanomaterials 2020, 10, 107. [Google Scholar] [CrossRef] [Green Version]
- Yüce, C.; König, M. Rheology and Screen-Printing Performance of Model Silver Pastes for Metallization of Si-Solar Cells. Coatings 2018, 8, 406. [Google Scholar] [CrossRef] [Green Version]
- Zaremba, L.S.; Smoleński, W.H. Optimal portfolio choice under a liability constraint. Ann. Oper. Res. 2000, 97, 131–141. [Google Scholar] [CrossRef]
- Lee, S.; Paik, U.; Yoon, S.M.; Choi, J.Y. Dispersant-ethyl cellulose binder interactions at the Ni particle-dihydroterpineol interface. J. Am. Ceram. Soc. 2006, 89, 3050–3055. [Google Scholar] [CrossRef]
- Schneider, M. Novel Concept for the Formulation of Printing Pastes for Printable Electronics Based on the Capillary Suspension Phenomenon. Doctoral Dissertation, Karlsruher Instituts für Technologie, Karlsruhe, Germany, 24 March 2017. [Google Scholar]
- Jaap, H.; Arthur, W.W.; Hugo, H.C.; Wim, C.S. The importance of paste rheology in improving fine line, thick film screen printing of front side metallization. Angew. Chem. Int. Ed. 1997, 6, 951–952. [Google Scholar]
- Altay, B.N.; Jourdan, J.; Turkani, V.S.; Dietsch, H.; Maddipatla, D.; Pekarovicova, A.; Fleming, P.D.; Atashbar, M. Impact of Substrate and Process on the Electrical Performance of Screen-Printed Nickel Electrodes: Fundamental Mechanism of Ink Film Roughness. ACS Appl. Energy Mater. 2018, 1, 7164–7173. [Google Scholar] [CrossRef]
- Woo, K.; Jang, D.; Kim, Y.; Moon, J. Relationship between printability and rheological behavior of ink-jet conductive inks. Ceram. Int. 2013, 39, 7015–7021. [Google Scholar] [CrossRef]
- Hemmati, S.; Barkey, D.P.; Gupta, N. Rheological behavior of silver nanowire conductive inks during screen printing. J. Nanoparticle Res. 2016, 18, 249. [Google Scholar] [CrossRef]
- Lin, M.; Gai, Y.; Xiao, D.; Tan, H.; Zhao, Y. Preparation of pristine graphene paste for screen printing patterns with high conductivity. Chem. Phys. Lett. 2018, 713, 98–104. [Google Scholar] [CrossRef]
- Society, T.R. Experiments on the quantity of gases absorbed by water, at different temperatures, and under different pressures. Lancet 1924, 203, 458. [Google Scholar]
- Hu, Y.; Du, Z.; Yao, Y.; Ma, Y.; Li, Y.; Xu, Y.; Zhao, X.; Tao, T.; Liang, B.; Lu, S. Effects of organic additives on the microstructural, rheological and electrical properties of silver paste for LTCC applications. J. Mater. Sci. Mater. Electron. 2021, 32, 14368–14384. [Google Scholar] [CrossRef]
- Claypole, A.; Claypole, J.; Kilduff, L.; Gethin, D.; Claypole, T. Stretchable Carbon and Silver Inks for Wearable Applications. Nanomaterials 2021, 11, 1200. [Google Scholar] [CrossRef]
- Marani, D.; Gadea, C.; Hjelm, J.; Hjalmarsson, P.; Wandel, M.; Kiebach, R. Influence of hydroxyl content of binders on rheological properties of cerium-gadolinium oxide (CGO) screen printing inks. J. Eur. Ceram. Soc. 2015, 35, 1495–1504. [Google Scholar] [CrossRef]
- Nie, T.; Cui, C.; Ma, S.; Wang, H. General Control Method of Wettability and Rheological Properties of Organic Medium—A Key Material for Electronic Paste. ACS Appl. Electron. Mater. 2021, 3, 861–871. [Google Scholar] [CrossRef]
- Qi, X.; Ha, H.; Hwang, B.; Lim, S. Printability of the screen-printed strain sensor with carbon black/silver paste for sensitive wearable electronics. Appl. Sci. 2020, 10, 6983. [Google Scholar] [CrossRef]









| No. | Sample | Solvent Ratio | No. | Sample | Solvent Ratio | No. | Sample | Solvent Ratio |
|---|---|---|---|---|---|---|---|---|
| 1 | A2B7C1 | 2:7:1 | 7 | A2B6C2 | 2:6:2 | 12 | A2B5C3 | 2:5:3 |
| 2 | A3B6C1 | 3:6:1 | 8 | A3B5C2 | 3:5:2 | 13 | A3B4C3 | 3:4:3 |
| 3 | A4B5C1 | 4:5:1 | 9 | A4B4C2 | 4:4:2 | 14 | A4B3C3 | 4:3:3 |
| 4 | A5B4C1 | 5:4:1 | 10 | A5B3C2 | 5:3:2 | 15 | A5B2C3 | 5:2:3 |
| 5 | A6B3C1 | 6:3:1 | 11 | A6B2C2 | 6:2:2 | |||
| 6 | A7B2C1 | 7:2:1 |
Publisher’s Note: MDPI stays neutral with regard to jurisdictional claims in published maps and institutional affiliations. |
© 2022 by the authors. Licensee MDPI, Basel, Switzerland. This article is an open access article distributed under the terms and conditions of the Creative Commons Attribution (CC BY) license (https://creativecommons.org/licenses/by/4.0/).
Share and Cite
Gao, Y.; Feng, J.; Liu, F.; Liu, Z. Effects of Organic Vehicle on the Rheological and Screen-Printing Characteristics of Silver Paste for LTCC Thick Film Electrodes. Materials 2022, 15, 1953. https://doi.org/10.3390/ma15051953
Gao Y, Feng J, Liu F, Liu Z. Effects of Organic Vehicle on the Rheological and Screen-Printing Characteristics of Silver Paste for LTCC Thick Film Electrodes. Materials. 2022; 15(5):1953. https://doi.org/10.3390/ma15051953
Chicago/Turabian StyleGao, Yujun, Jingjing Feng, Feng Liu, and Zhifu Liu. 2022. "Effects of Organic Vehicle on the Rheological and Screen-Printing Characteristics of Silver Paste for LTCC Thick Film Electrodes" Materials 15, no. 5: 1953. https://doi.org/10.3390/ma15051953
APA StyleGao, Y., Feng, J., Liu, F., & Liu, Z. (2022). Effects of Organic Vehicle on the Rheological and Screen-Printing Characteristics of Silver Paste for LTCC Thick Film Electrodes. Materials, 15(5), 1953. https://doi.org/10.3390/ma15051953

