Pin-on-Disc Modelling with Mesh Deformation Using Discrete Element Method
Abstract
:1. Introduction
2. Materials and Methods
2.1. Discrete Element Method
2.2. Geometrical Plastic Deformation Technique
2.3. Pin-on-Disc Test Setup
3. Pin-on-Disc Test
4. Calibration of Wear Coefficient
4.1. Simulation Setup
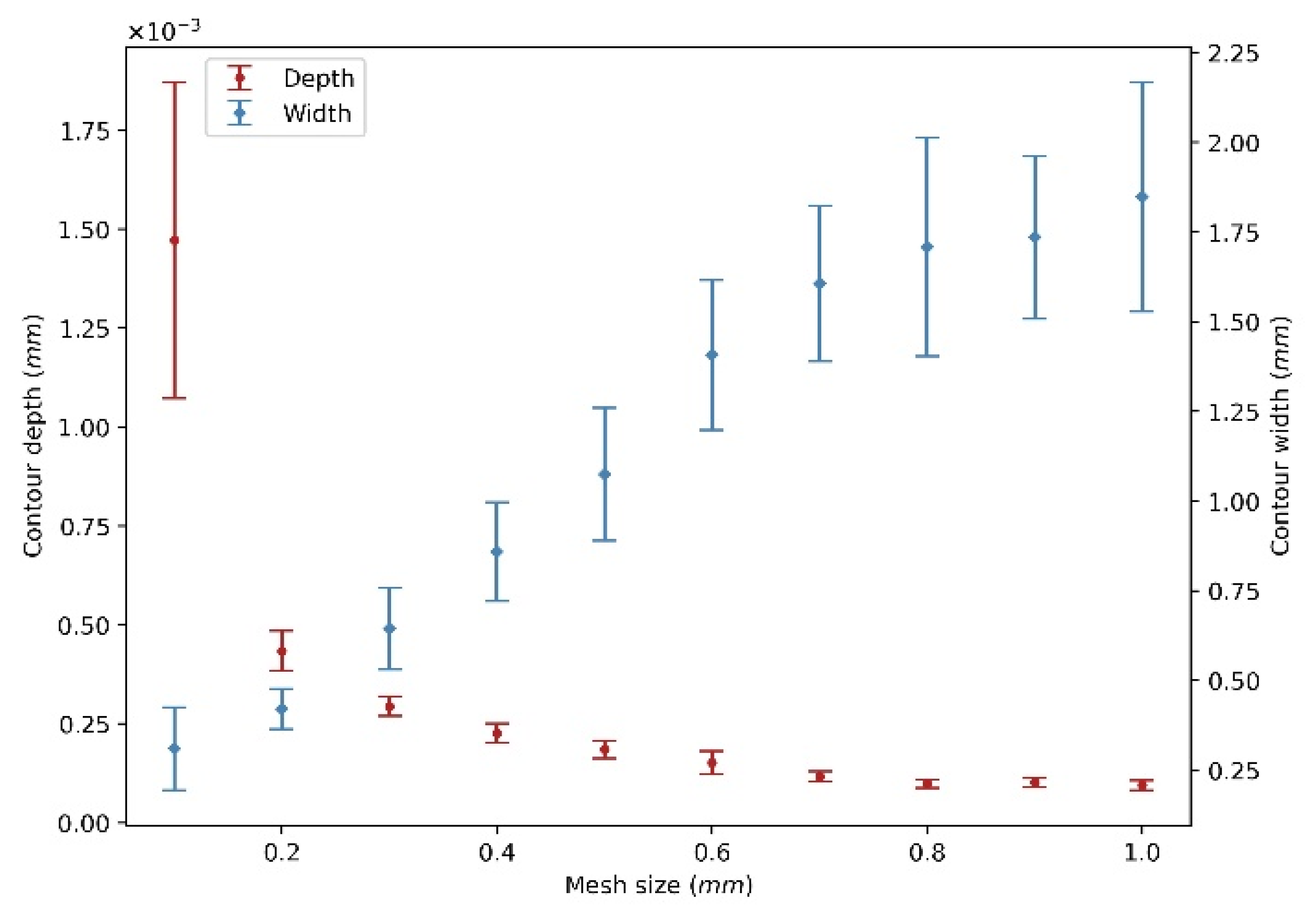
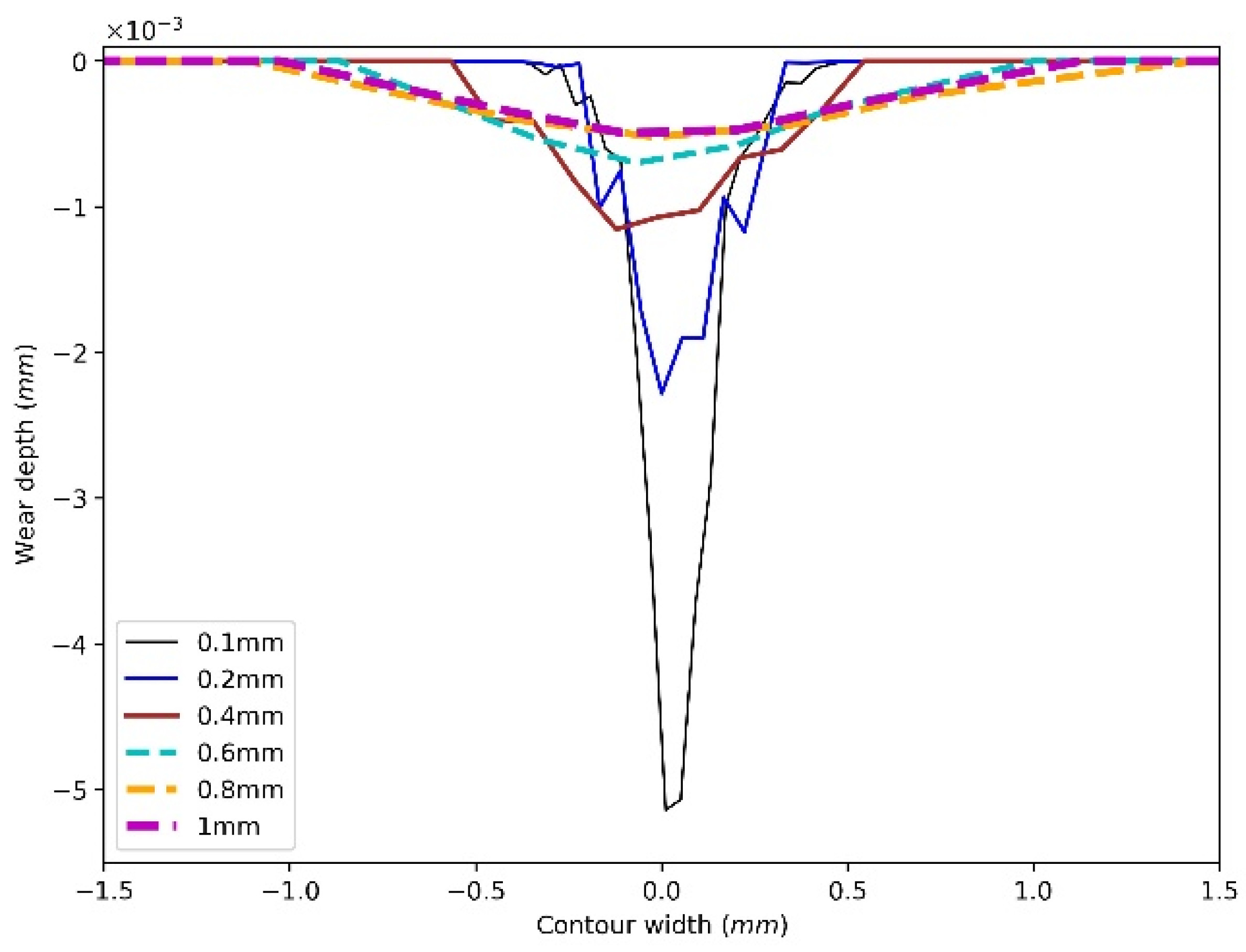
4.2. Mesh Size Sensitivity
4.3. Calibration Analysis
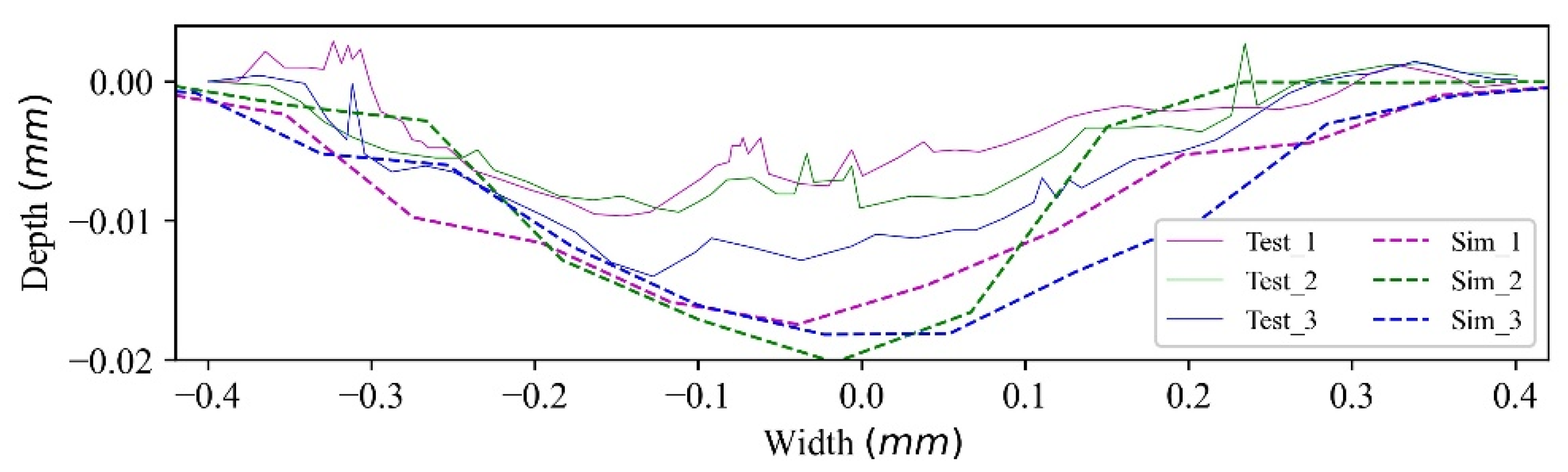
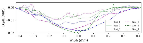
5. Verification of Numerical Results
6. Conclusions
Author Contributions
Funding
Institutional Review Board Statement
Informed Consent Statement
Data Availability Statement
Conflicts of Interest
References
- Schulze, D. Powders and Bulk Solids: Behavior, Characterization, Storage and Flow; Springer Ltd.: Berlin, Germany, 2003. [Google Scholar]
- Roberts, A.W. Chute performance and design for rapid flow conditions. Chem. Eng. Technol. 2003, 26, 163–170. [Google Scholar] [CrossRef]
- Hutchings, I.; Shipway, P. Sliding Wear, 2nd ed.; Elsevier Ltd.: Amsterdam, The Netherlands, 2017; ISBN 9780081009109. [Google Scholar]
- Chen, G. Surface Wear Reduction of Bulk Solids Handling Equipment Using Bionic Design; Delft University of Technology: Delft, The Netherlands, 2017; ISBN 9789055842278. [Google Scholar]
- Yan, Y.; Helmons, R.; Wheeler, C.; Schott, D. Optimization of a convex pattern surface for sliding wear reduction based on a definitive screening design and discrete element method. Powder Technol. 2021, 394, 1094–1110. [Google Scholar] [CrossRef]
- Burman, B.C.; Cundall, P.A.; Strack, O.D.L. A discrete numerical model for granular assemblies. Geotechnique 1980, 30, 331–336. [Google Scholar] [CrossRef] [Green Version]
- Coetzee, C.J. Review: Calibration of the discrete element method. Powder Technol. 2017, 310, 104–142. [Google Scholar] [CrossRef]
- Cleary, P.W. Predicting charge motion, power draw, segregation and wear in ball mills using discrete element methods. Miner. Eng. 1998, 11, 1061–1080. [Google Scholar] [CrossRef]
- Cleary, P.W.; Owen, P. Development of models relating charge shape and power draw to SAG mill operating parameters and their use in devising mill operating strategies to account for liner wear. Miner. Eng. 2018, 117, 42–62. [Google Scholar] [CrossRef]
- Cleary, P.W.; Sinnott, M.; Morrison, R. Analysis of stirred mill performance using DEM simulation: Part 2-Coherent flow structures, liner stress and wear, mixing and transport. Miner. Eng. 2006, 19, 1551–1572. [Google Scholar] [CrossRef]
- Xu, L.; Bao, S.; Zhao, Y. Multi-level DEM study on liner wear in tumbling mills for an engineering level approach. Powder Technol. 2020, 364, 332–342. [Google Scholar] [CrossRef]
- Xu, L.; Luo, K.; Zhao, Y.; Fan, J.; Cen, K. Influence of particle shape on liner wear in tumbling mills: A DEM study. Powder Technol. 2019, 350, 26–35. [Google Scholar] [CrossRef]
- Xu, L.; Luo, K.; Zhao, Y. Numerical prediction of wear in SAG mills based on DEM simulations. Powder Technol. 2018, 329, 353–363. [Google Scholar] [CrossRef]
- Rojas, E.; Vergara, V.; Soto, R. Case study: Discrete element modeling of wear in mining hoppers. Wear 2019, 430–431, 120–125. [Google Scholar] [CrossRef]
- Kalácska, Á.; De Baets, P.; Fauconnier, D.; Schramm, F.; Frerichs, L.; Sukumaran, J. Abrasive wear behaviour of 27MnB5 steel used in agricultural tines. Wear 2020, 442–443, 203107. [Google Scholar] [CrossRef]
- Katinas, E.; Chotěborský, R.; Linda, M.; Jankauskas, V. Wear modelling of soil ripper tine in sand and sandy clay by discrete element method. Biosyst. Eng. 2019, 188, 305–319. [Google Scholar] [CrossRef]
- Powell, M.S.; Weerasekara, N.S.; Cole, S.; Laroche, R.D.; Favier, J. DEM modelling of liner evolution and its influence on grinding rate in ball mills. Miner. Eng. 2011, 24, 341–351. [Google Scholar] [CrossRef]
- Kalala, J.T.; Moys, M.H. Discrete element method modelling of liner wear in dry ball milling. J. South Afr. Inst. Min. Metall. 2004, 104, 597–602. [Google Scholar]
- Esteves, P.M.; Mazzinghy, D.B.; Galéry, R.; Machado, L.C.R. Industrial vertical stirred mills screw liner wear profile compared to discrete element method simulations. Minerals 2021, 11, 397. [Google Scholar] [CrossRef]
- Boemer, D.; Ponthot, J.P. A generic wear prediction procedure based on the discrete element method for ball mill liners in the cement industry. Miner. Eng. 2017, 109, 55–79. [Google Scholar] [CrossRef]
- Schramm, F.; Kalácska; Pfeiffer, V.; Sukumaran, J.; De Baets, P.; Frerichs, L. Modelling of abrasive material loss at soil tillage via scratch test with the discrete element method. J. Terramechanics 2020, 91, 275–283. [Google Scholar] [CrossRef]
- Thornton, C. Interparticle sliding in the presence of adhesion. J. Phys. D Appl. Phys. 1991, 24, 1942–1946. [Google Scholar] [CrossRef]
- Solutions, D.E.M. EDEM 2.3 User Guide; EDEM: Edinburgh, Scotland, UK, 2010. [Google Scholar]
- Archard, J.F. Contact and rubbing of flat surfaces. J. Appl. Phys. 1953, 24, 981–988. [Google Scholar] [CrossRef]
- Perazzo, F.; Löhner, R.; Labbe, F.; Knop, F.; Mascaró, P. Numerical modeling of the pattern and wear rate on a structural steel plate using DEM. Miner. Eng. 2019, 137, 290–302. [Google Scholar] [CrossRef]
- De Bono, J.; Li, H.; McDowell, G. A new abrasive wear model for railway ballast. Soils Found. 2020, 60, 714–721. [Google Scholar] [CrossRef]
- Godino, L.; Pombo, I.; Girardot, J.; Sanchez, J.A.; Iordanoff, I. Modelling the wear evolution of a single alumina abrasive grain: Analyzing the influence of crystalline structure. J. Mater. Process. Technol. 2020, 277, 116464. [Google Scholar] [CrossRef]
- Ramalho, A.; Miranda, J.C. The relationship between wear and dissipated energy in sliding systems. Wear 2006, 260, 361–367. [Google Scholar] [CrossRef] [Green Version]
- Forsström, D.; Jonsén, P. Calibration and validation of a large scale abrasive wear model by coupling DEM-FEM: Local failure prediction from abrasive wear of tipper bodies during unloading of granular material. Eng. Fail. Anal. 2016, 66, 274–283. [Google Scholar] [CrossRef]
- Chen, X.; Liu, Y. Finite Element Modeling and Simulation with ANSYS Workbench; CRC Press: Boca Raton, FL, USA, 2014. [Google Scholar]
- Chen, G.; Liu, Y.; Lodewijks, G.; Schott, D.L. Experimental research on the determination of the coefficient of sliding wear under iron ore handling conditions. Tribol. Ind. 2017, 39, 378–390. [Google Scholar] [CrossRef] [Green Version]
- Coronado, J.J.; Rodríguez, S.A.; Sinatora, A. Effect of particle hardness on mild-severe wear transition of hard second phase materials. Wear 2013, 301, 82–88. [Google Scholar] [CrossRef]
- Hutchings, I.; Shipway, P. Wear by Hard Particles, 2nd ed.; Elsevier Ltd.: Amsterdam, The Netherlands, 2017; ISBN 9780081009109. [Google Scholar]
- Chen, G.; Lodewijks, G.; Schott, D.L. Numerical prediction on abrasive wear reduction of bulk solids handling equipment using bionic design. Part. Sci. Technol. 2019, 37, 964–973. [Google Scholar] [CrossRef]


















| Categories | Parameters | Values |
|---|---|---|
| Iron ore | radius (mm) | 3 |
| hardness (Hv) | 476 ± 9 | |
| hardness (Hm) | 4–4.5 | |
| density (kg/m3) | 4850 | |
| Mild steel | density (kg/m3) | 7932 |
| hardness (Hv) | 134 ± 4 | |
| Test | indentation force (N) | 5 |
| rotational speed (deg/s) | 390.8 | |
| sliding distance (m) | 180 | |
| revolutions (-) | 1302.5 | |
| rotational radius (mm) | 22 |
| Categories | Parameters | Values |
|---|---|---|
| Iron ore | radius (mm) | 3 |
| density (kg/m3) | 4850 | |
| Poisson’s ratio | 0.24 | |
| shear modulus (GPa) | 0.1 | |
| Mild steel | density (kg/m3) | 7932 |
| Poisson’s ratio | 0.3 | |
| shear modulus (GPa) | 78 | |
| mesh size (mm) | 0.1 | |
| Contact | coefficient of restitution e | 0.4 |
| coefficient of static friction μs | 1.0 | |
| coefficient of rolling friction μr | 0 | |
| Conditions | indentation force (N) | 5 |
| rotational speed (deg/s) | 180 | |
| rotating radius (mm) | 22 | |
| coefficient of sliding wear αs(×10−11 Pa−1) | 5 | |
| time step Δt(×10−5 s) | 1.4 |
| R 1 | R 2 | R 3 | R 4 | R 5 | R 6 | R 7 | R 8 | R 9 | R 10 | |
|---|---|---|---|---|---|---|---|---|---|---|
| Wear depth | 0 | 0 | 0 | 0 | 1.3 × 10−12 | 0.03 | 0.01 | 0.11 | 0.33 | 0.54 |
| Wear width | 0 | 0 | 0.001 | 0.02 | 0.04 | 0.001 | 0.02 | 0.21 | 0.29 | 0.15 |
| Wear Depth (mm) | Wear Width (mm) | Wear Volume (mm3) | |
|---|---|---|---|
| Test result | 0.014 | 0.8 | 0.565 |
| Numerical result | 0.019 | 1.07 | 0.532 |
| Discrepancy | 36% | 34% | 6% |
Publisher’s Note: MDPI stays neutral with regard to jurisdictional claims in published maps and institutional affiliations. |
© 2022 by the authors. Licensee MDPI, Basel, Switzerland. This article is an open access article distributed under the terms and conditions of the Creative Commons Attribution (CC BY) license (https://creativecommons.org/licenses/by/4.0/).
Share and Cite
Yan, Y.; Helmons, R.; Schott, D. Pin-on-Disc Modelling with Mesh Deformation Using Discrete Element Method. Materials 2022, 15, 1813. https://doi.org/10.3390/ma15051813
Yan Y, Helmons R, Schott D. Pin-on-Disc Modelling with Mesh Deformation Using Discrete Element Method. Materials. 2022; 15(5):1813. https://doi.org/10.3390/ma15051813
Chicago/Turabian StyleYan, Yunpeng, Rudy Helmons, and Dingena Schott. 2022. "Pin-on-Disc Modelling with Mesh Deformation Using Discrete Element Method" Materials 15, no. 5: 1813. https://doi.org/10.3390/ma15051813
APA StyleYan, Y., Helmons, R., & Schott, D. (2022). Pin-on-Disc Modelling with Mesh Deformation Using Discrete Element Method. Materials, 15(5), 1813. https://doi.org/10.3390/ma15051813

