Vibration Control of a Wind-Excited Transmission Tower-Line System by Shape Memory Alloy Dampers
Abstract
:1. Introduction
2. Model of a High-Rise Tower-Line Coupled System
2.1. Mathematical Model of Transmission Lines
2.2. Mathematical Model of Tower-Line Coupled System
3. Mathematical Model of SMA Dampers
4. Equation of Motion of the Controlled Structure
5. Case Study
5.1. Structural and Damper Parameters
5.2. Peak Response Comparison
6. Parametric Study on Control Efficacy
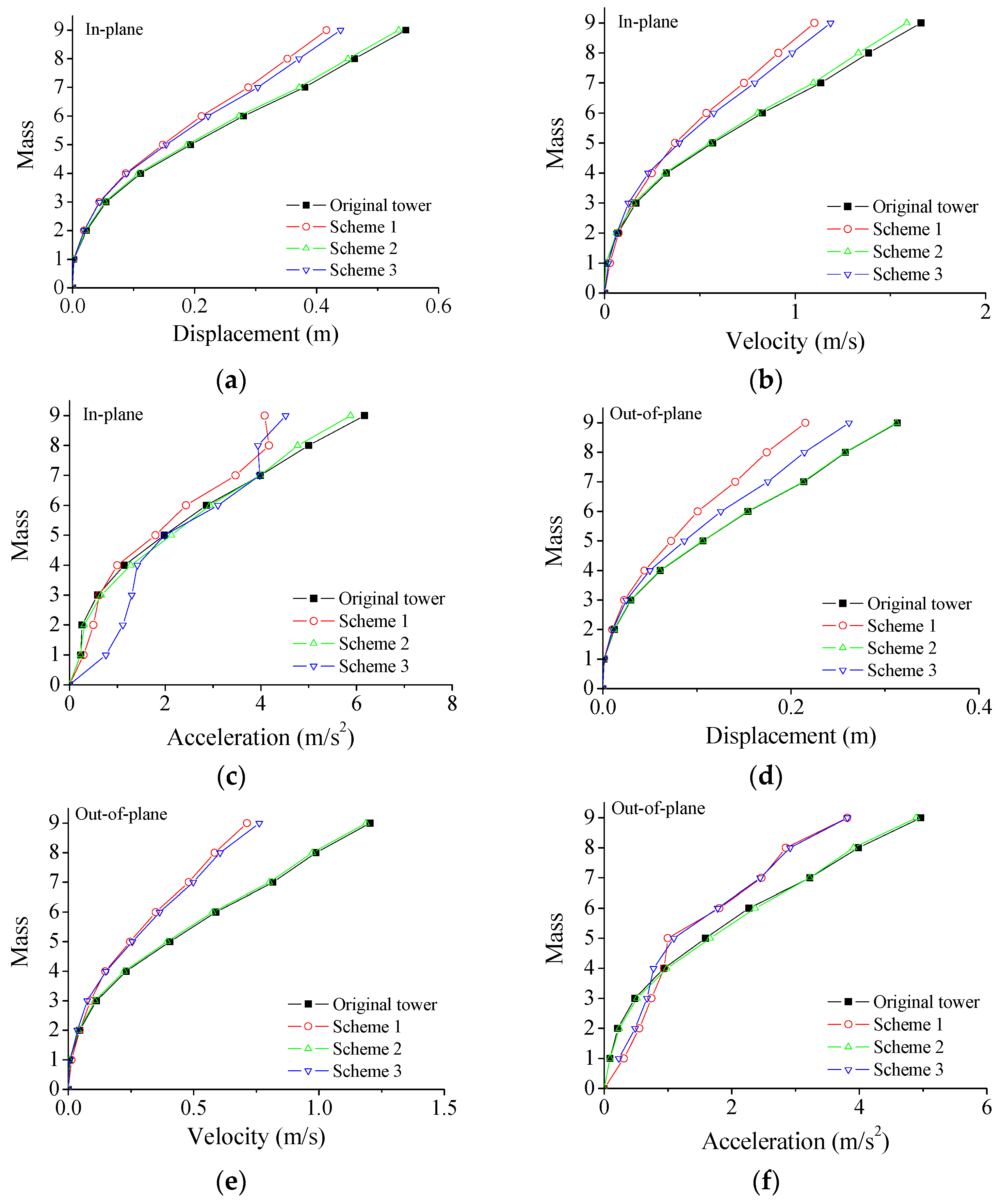
6.1. Effect of Damper Stiffness
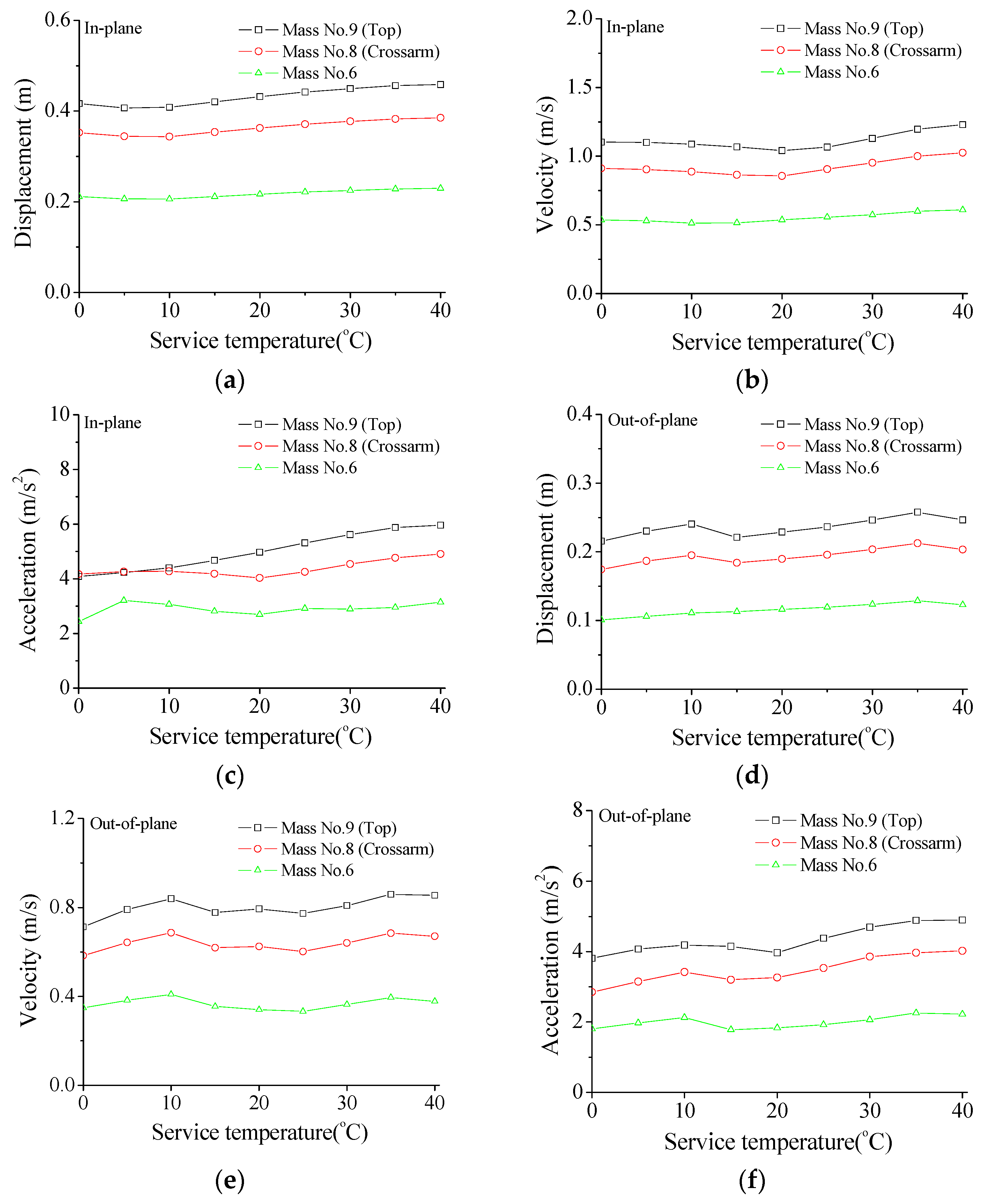
6.2. Influence of Damper Service Temperature
6.3. Variation of Hysteresis Loop
7. Properties of System Energy Responses
7.1. Energy Curves with Control
7.2. Effect of Damper Stiffness on Energy Response
7.3. Variation in Energy Response with Service Temperature
8. Concluding Remarks
- (1)
- SMA dampers are beneficial in the vibration control of the tower-line coupled system disturbed by wind loading. The control efficacy on displacement and velocity is slightly better than acceleration. The peak PSD values of the controlled tower are much smaller than those of the uncontrolled tower.
- (2)
- The peak responses gradually decrease with the increasing damper stiffness. For the in-plane vibration, the optimal SC values for the peak displacement, velocity, and acceleration are 1.0, 2.0, and 1.0, respectively. For the out-of-plane vibration, the optimal SC values for the peak displacement, velocity, and acceleration are 1.0, 1.0, and 0.8, respectively. Therefore, the optimum SC value is selected as 1.0 considering the overall damper performance. An optimum stiffness coefficient exists for the response control and it is unnecessary to set a very large stiffness coefficient to save fabrication cost.
- (3)
- The influence of service temperature on peak damper deformation is much smaller compared with that of damper stiffness. If the service temperature reaches a relatively large value (T = 40 °C), the peak damper force increases quickly and, at the same time, the enclosed areas of SMA dampers dramatically reduce to a very small level. Overall, the service temperature has a great influence on damper force instead of damper deformation. A very large service temperature is unnecessary for the improvement of the control performance of SMA dampers.
- (4)
- The control performance on wind-induced dynamic responses can also be depicted by energy responses. Furthermore, the optimal stiffness coefficient and service temperature of SMA dampers can also be determined in line with energy curves.
Author Contributions
Funding
Institutional Review Board Statement
Informed Consent Statement
Data Availability Statement
Acknowledgments
Conflicts of Interest
References
- Amiri, M.M.; Yahyai, M. Estimation of damping ratio of TV towers based on ambient vibration monitoring. Struct. Des. Tall Spec. Build. 2013, 22, 862–875. [Google Scholar] [CrossRef]
- Chen, B.; Guo, W.H.; Li, P.Y.; Xie, W.P. Dynamic responses and vibration control of the transmission tower-line system: A state-of-the-art-review. Sci. World J. 2014, 538457, 1–20. [Google Scholar] [CrossRef] [PubMed] [Green Version]
- Li, T.; Fan, J.; Lv, Y.X. Collapse analysis of a steel TV tower under wind load. Steel Constr. 2017, 32, 80–83. [Google Scholar]
- Liu, R.S.; Liu, J.L.; Yan, D.Q. Seismic damage investigation and analysis of electric power system in Lushan MS 7.0 earthquake. J. Nat. Disasters 2013, 22, 85–92. [Google Scholar]
- Housner, G.W.; Bergman, L.A.; Caughey, T.K.; Chassiakos, A.G.; Claus, R.O.; Masri, S.F.; Skelton, R.E.; Soong, T.T.; Spencer, B.F., Jr.; Yao, T.P. Structural control: Past, present, and future. J. Eng. Mech. ASCE 1997, 123, 897–971. [Google Scholar] [CrossRef]
- Xu, Y.L.; Qu, W.L.; Chen, B. Active/robust moment controllers for seismic response control of a large span building on top of ship lift towers. J. Sound Vib. 2003, 261, 277–296. [Google Scholar] [CrossRef]
- Chen, B.; Xia, Y. Advanced technologies in disaster prevention and mitigation. Adv. Struct. Eng. 2017, 20, 1141–1142. [Google Scholar] [CrossRef] [Green Version]
- Yang, N.; Wang, C.M.; Balendra, T. Composite mass dampers for vibration control of wind-excited towers. J. Sound Vib. 1998, 213, 301–316. [Google Scholar] [CrossRef]
- Wu, J.C.; Yang, J.N. LQG control of lateral-torsional motion of Nanjing TV transmission tower. Earthq. Eng. Struct. Dyn. 2000, 29, 1111–1130. [Google Scholar] [CrossRef]
- Ghorbani-Tanha, A.K.; Noorzad, A.; Rahimian, M. Mitigation of wind-induced motion of Milad Tower by tuned mass damper. Struct. Des. Tall Spec. Build. 2009, 18, 371–385. [Google Scholar] [CrossRef]
- Lu, X.L.; Li, P.Z.; Guo, X.Q.; Shi, W.X.; Liu, J. Vibration control using ATMD and site measurements on the Shanghai World Financial Center Tower. Struct. Des. Tall Spec. Build. 2014, 23, 105–123. [Google Scholar] [CrossRef]
- Hitchcock, P.A.; Glanville, M.J.; Kwok, K.C.S.; Watkins, R.D. Damping properties and wind-induced response of a steel frame tower fitted with liquid column vibration absorbers. J. Wind Eng. Ind. Aerodyn. 1999, 83, 183–196. [Google Scholar] [CrossRef]
- Balendra, T.; Wang, C.M.; Yan, N. Control of wind-excited towers by active tuned liquid column damper. Eng. Struct. 2001, 23, 1054–1067. [Google Scholar] [CrossRef]
- Pall, A.S.; Marsh, C. Response of friction damped braced frames. J. Struct. Div. ASCE 1982, 108, 1313–1323. [Google Scholar] [CrossRef]
- Grigorian, C.E.; Yang, T.S.; Popov, E.P. Slotted bolted connection energy dissipators. Earthq. Spectra 1993, 9, 491–504. [Google Scholar] [CrossRef]
- Quintana, H.C.; Petkovski, M. Optimum performance of structural control with friction dampers. Eng. Struct. 2018, 172, 154–162. [Google Scholar] [CrossRef]
- Chen, B.; Yang, D.; Feng, K.; Ouyang, Y.Q. Response control of a high-rise television tower under seismic excitations by friction dampers. Int. J. Struct. Stab. Dyn. 2018, 18, 1850140. [Google Scholar] [CrossRef]
- Zhang, Z.Q.; Li, A.Q. Seismic response vibration control analyses of Hefei TV Tower with fluid viscous damper. In Proceedings of the International Conference on Health Monitoring of Structure, Materials and Environment, Nanjing, China, 16 October 2007. [Google Scholar]
- Chen, B.; Xiao, X.; Li, P.Y.; Zhong, W.L. Performance evaluation on transmission-tower line system with passive friction dampers subjected to wind excitations. Shock Vib. 2015, 310458, 1–13. [Google Scholar] [CrossRef] [Green Version]
- Chen, B.; Weng, S.; Zhi, L.H.; Li, D.M. Response control of a large transmission-tower line system under seismic excitations by using friction dampers. Adv. Struct. Eng. 2017, 20, 1155–1173. [Google Scholar] [CrossRef]
- Tian, L.; Yu, Q.Q.; Ma, R.S. Study on seismic control of power transmission tower-line coupled system under multicomponent excitations. Math. Probl. Eng. 2013, 829415, 1–12. [Google Scholar] [CrossRef]
- Zhang, P.; Song, G.B.; Li, H.N.; Lin, Y.X. Seismic control of power transmission tower using pounding TMD. J. Eng. Mech. ASCE 2013, 139, 1395–1406. [Google Scholar] [CrossRef]
- Chen, B.; Wu, J.B.; Ouyang, Y.Q.; Yang, D. Response evaluation and vibration control of a transmission tower-line system in mountain areas subjected to cable rupture. Struct. Monit. Maint. 2018, 5, 151–171. [Google Scholar]
- Urreta, H.; Leicht, Z.; Sanchez, A.; Agirre, A.; Kuzhir, P.; Magnac, G. Hydrodynamic bearing lubricated with magnetic fluids. J. Intell. Mater. Syst. Struct. 2010, 21, 1491–1499. [Google Scholar] [CrossRef]
- Urreta, H.; Aguirre, G.; Kuzhir, P.; de Lacalle, L.N.L. Seals based on magnetic fluids for high precision spindles of machine tools. Int. J. Precis. Eng. Manuf. 2018, 19, 495–503. [Google Scholar] [CrossRef] [Green Version]
- Xu, Y.L.; Qu, W.L.; Chen, Z.H. Control of wind-excited truss tower using semiactive friction damper. J. Struct. Eng. ASCE 2001, 127, 861–868. [Google Scholar] [CrossRef]
- Chen, B.; Zheng, J.; Qu, W.L. Control of wind-induced response of transmission tower-line system by using magnetorheological dampers. Int. J. Struct. Stab. Dyn. 2009, 9, 661–685. [Google Scholar] [CrossRef]
- Song, G.B.; Ma, N.; Li, H.N. Applications of shape memory alloys in civil structures. Eng. Struct. 2006, 28, 1266–1274. [Google Scholar] [CrossRef]
- Fang, C.; Wang, W.; He, C.; Chen, Y. Self-centring behaviour of steel and steel-concrete composite connections equipped with NiTi SMA bolts. Eng. Struct. 2017, 150, 390–408. [Google Scholar] [CrossRef]
- Han, Y.L.; Li, Q.S.; Li, A.Q.; Leung, A.Y.T.; Lin, P.H. Structural vibration control by shape memory alloy damper. Earthq. Eng. Struct. Dyn. 2003, 32, 483–494. [Google Scholar] [CrossRef]
- Zheng, Y.; Dong, Y.; Chen, B.; Ghazanfar, A.A. Seismic damage mitigation of bridges with self-adaptive SMA-cable-based bearings. Smart Struct. Syst. 2019, 24, 127–139. [Google Scholar]
- Tabrizikahou, A.; Kuczma, M.; Lasecka-Plura, M.; Noroozinejad Farsangi, E. Cyclic behavior of masonry shear walls retrofitted with engineered cementitious composite and pseudoelastic shape memory alloy. Sensors 2022, 22, 511. [Google Scholar] [CrossRef] [PubMed]
- Li, X.H.; Zhu, Z.W. Nonlinear dynamic characteristics and stability analysis of energy storage flywheel rotor with shape memory alloy damper. J. Energy Storage 2022, 45, 103392. [Google Scholar] [CrossRef]
- Tian, L.; Zhou, M.Y.; Qiu, C.X.; Pan, H.Y.; Rong, K.J. Seismic response control of transmission tower-line system using SMA-based TMD. Struct. Eng. Mech. 2020, 74, 129–143. [Google Scholar]
- Wu, J.B.; Chen, B.; Zhi, L.H.; Song, X.X. Seismic response mitigation of a television transmission tower by shape memory alloy dampers. Materials 2021, 14, 6987. [Google Scholar] [CrossRef]
- Brinson, L.C. One-dimensional constitutive behavior of shape memory alloys: Thermomechanical derivation with non-constant material functions and redefined martensite internal variable. J. Intell. Mater. Syst. Struct. 1993, 4, 229–242. [Google Scholar] [CrossRef]
- Zheng, Y.; Dong, Y.; Li, Y. Resilience and life-cycle performance of smart bridges with shape memory alloy (SMA)-cable-based bearings. Constr. Build. Mater. 2018, 158, 389–400. [Google Scholar] [CrossRef]
- Qiu, C.; Fang, C.; Liang, D.; Du, X.; Yam, M.C.H. Behavior and application of self-centering dampers equipped with buckling-restrained SMA bars. Smart Mater. Struct. 2020, 29, 035009. [Google Scholar] [CrossRef]




















| A | C ≤ 0.22% | Mn ≤ 1.4% | Si ≤ 0.35% | S ≤ 0.050% | p ≤ 0.045% |
| B | C ≤ 0.20% | Mn ≤ 1.4% | Si ≤ 0.35% | S ≤ 0.045% | p ≤ 0.045% |
| C | C ≤ 0.17% | Mn ≤ 1.4% | Si ≤ 0.35% | S ≤ 0.040% | p ≤ 0.040% |
| D | C ≤ 0.17% | Mn ≤ 1.4% | Si ≤ 0.35% | S ≤ 0.035% | p ≤ 0.035% |
| Damper. No. | SC = 0.4 | SC = 1.0 | SC = 2.0 | SC = 3.0 | |
|---|---|---|---|---|---|
| 02 In-plane direction | Peak force | 20.24 kN | 49.86 kN | 99.16 kN | 145.44 kN |
| Peak defomation | 6.28 cm | 5.27 cm | 4.86 cm | 3.33 cm | |
| 06 Out-of-plane direction | Peak force | 12.87 kN | 31.91 kN | 63.04 kN | 94.47 kN |
| Peak defomation | 3.05 cm | 2.48 cm | 1.66 cm | 1.61 cm |
| Damper. No. | T = 0 °C | T = 10 °C | T = 20 °C | T = 40 °C | |
|---|---|---|---|---|---|
| 02 In-plane direction | Peak force | 49.86 kN | 59.04 kN | 68.48 kN | 86.39 kN |
| Peak defomation | 5.28 cm | 5.14 cm | 5.39 cm | 5.62 cm | |
| 06 Out-of-plane direction | Peak force | 31.91 kN | 38.26 kN | 44.47 kN | 56.94 kN |
| Peak defomation | 2.49 cm | 2.81 cm | 2.82 cm | 2.96 cm |
Publisher’s Note: MDPI stays neutral with regard to jurisdictional claims in published maps and institutional affiliations. |
© 2022 by the authors. Licensee MDPI, Basel, Switzerland. This article is an open access article distributed under the terms and conditions of the Creative Commons Attribution (CC BY) license (https://creativecommons.org/licenses/by/4.0/).
Share and Cite
Chen, B.; Song, X.; Li, W.; Wu, J. Vibration Control of a Wind-Excited Transmission Tower-Line System by Shape Memory Alloy Dampers. Materials 2022, 15, 1790. https://doi.org/10.3390/ma15051790
Chen B, Song X, Li W, Wu J. Vibration Control of a Wind-Excited Transmission Tower-Line System by Shape Memory Alloy Dampers. Materials. 2022; 15(5):1790. https://doi.org/10.3390/ma15051790
Chicago/Turabian StyleChen, Bo, Xinxin Song, Wenbin Li, and Jingbo Wu. 2022. "Vibration Control of a Wind-Excited Transmission Tower-Line System by Shape Memory Alloy Dampers" Materials 15, no. 5: 1790. https://doi.org/10.3390/ma15051790
APA StyleChen, B., Song, X., Li, W., & Wu, J. (2022). Vibration Control of a Wind-Excited Transmission Tower-Line System by Shape Memory Alloy Dampers. Materials, 15(5), 1790. https://doi.org/10.3390/ma15051790
