Fabrication of Porous Alumina Structures by SPS and Carbon Sacrificial Template for Bone Regeneration
Abstract
:1. Introduction
2. Materials and Methods
2.1. Preparation of the Samples
2.2. Characterization Techniques
3. Results and Discussion
3.1. Chemical Composition
3.2. Structure of the Porous Alumina
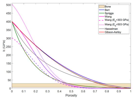
3.3. Mechanical Properties
4. Conclusions
Author Contributions
Funding
Institutional Review Board Statement
Informed Consent Statement
Data Availability Statement
Acknowledgments
Conflicts of Interest
References
- Henkel, J.; Hutmacher, D.W. Design and fabrication of scaffold-based tissue engineering. BioNanoMaterials 2013, 14, 171–193. [Google Scholar] [CrossRef] [Green Version]
- Salgado, A.J.; Coutinho, O.P.; Reis, R.L. Bone tissue engineering: State of the art and future trends. Macromol. Biosci. 2004, 4, 743–765. [Google Scholar] [CrossRef] [PubMed] [Green Version]
- O’Brien, F.J. Biomaterials & scaffolds for tissue engineering. Mater. Today 2011, 14, 88–95. [Google Scholar] [CrossRef]
- Murphy, C.M.; O’Brien, F.J.; Little, D.G.; Schindeler, A. Cell-scaffold interactions in the bone tissue engineering triad. Eur. Cells Mater. 2013, 26, 120–132. [Google Scholar] [CrossRef]
- Yang, S. Review The Design of Scaffolds for Use in Tissue Engineering. Part I. Tradit. Factors 2001, 7, 679–689. [Google Scholar] [CrossRef] [Green Version]
- Gervaso, F.; Sannino, A.; Peretti, G.M. The biomaterialist’s task: Scaffold biomaterials and fabrication technologies. Joints 2013, 1, 130–137. [Google Scholar] [CrossRef] [Green Version]
- Ebnesajjad, S. Handbook of Biopolymers and Biodegradable Plastics: Properties, Processing and Applications, 1st ed.; Elversier: Amsterdam, The Netherlands, 2012. [Google Scholar]
- Zhang, L.; Yang, G.; Johnson, B.N.; Jia, X. Three-dimensional (3D) printed scaffold and material selection for bone repair. Acta Biomater. 2019, 84, 16–33. [Google Scholar] [CrossRef]
- Karageorgiou, V.; Kaplan, D. Porosity of 3D biomaterial scaffolds and osteogenesis. Biomaterials 2005, 26, 5474–5491. [Google Scholar] [CrossRef]
- Bose, S.; Darsell, J.; Hosick, H.L.; Yang, L.; Sarkar, D.K.; Bandyopadhyay, A. Processing and characterization of porous alumina scaffolds. J. Mater. Sci. Mater. Med. 2002, 13, 23–28. [Google Scholar] [CrossRef]
- Liu, J.; Ruan, J.; Chang, L.; Yang, H.; Ruan, W. Porous Nb-Ti-Ta alloy scaffolds for bone tissue engineering: Fabrication, mechanical properties and in vitro/vivo biocompatibility. Mater. Sci. Eng. C 2017, 78, 503–512. [Google Scholar] [CrossRef]
- Paredes, C.; Martínez-Vázquez, F.J.; Pajares, A.; Miranda, P. Co-continuous calcium phosphate/polycaprolactone composite bone scaffolds fabricated by digital light processing and polymer melt suction. Ceram. Int. 2021, 47, 17726–17735. [Google Scholar] [CrossRef]
- Pei, X.; Wu, L.; Zhou, C.; Fan, H.; Gou, M.; Li, Z.; Zhang, B.; Lei, H.; Sun, H.; Liang, J.; et al. 3D printed titanium scaffolds with homogeneous diamond-like structures mimicking that of the osteocyte microenvironment and its bone regeneration study. Biofabrication 2020, 13, 015008. [Google Scholar] [CrossRef]
- Park, J. Bioceramics: Properties, Preparation and Applications, 1st ed.; York, S.N., Ed.; Springer: New York, NY, USA, 2008; ISBN 978-0-387-09544-8. [Google Scholar]
- Piconi, C.; Maccauro, G.; Muratori, F.; Brach Del Prever, E. Alumina and zirconia ceramics in joint replacements. J. Appl. Biomater. Biomech. JABB 2003, 1, 19–32. [Google Scholar] [CrossRef]
- Esquivias, L.; Morales-Flórez, V.; Piñero, M.; De La Rosa-Fox, N. Structure of bioactive mixed polymer/colloid aerogels. J. Non-Cryst. Solids 2005, 351, 3347–3355. [Google Scholar] [CrossRef]
- Toledo-Fernández, J.A.; Mendoza-Serna, R.; Morales-Flórez, V.; De La Rosa-Fox, N.; Santos, A.; Piñero, M.; Esquivias, L. Cerámica y Vidrio Aerogeles con aplicaciones en. Bol. Soc. Esp. Ceram. Vidr. 2007, 46, 138–144. [Google Scholar] [CrossRef]
- Toledo-Fernández, J.A.; Mendoza-Serna, R.; Morales, V.; De La Rosa-Fox, N.; Piñero, M.; Santos, A.; Esquivias, L. Bioactivity of wollastonite/aerogels composites obtained from a TEOS-MTES matrix. J. Mater. Sci. Mater. Med. 2008, 19, 2207–2213. [Google Scholar] [CrossRef]
- Almeida, J.C.; Wacha, A.; Gomes, P.S.; Alves, L.C.; Fernandes, M.H.V.; Salvado, I.M.M.; Fernandes, M.H.R. A biocompatible hybrid material with simultaneous calcium and strontium release capability for bone tissue repair. Mater. Sci. Eng. C 2016, 62, 429–438. [Google Scholar] [CrossRef]
- González-Sánchez, M.; Rivero-Antúnez, P.; Cano-Crespo, R.; Almeida, J.C.; Fernandes, M.H.V.; Morales-Flórez, V. New strategy to manufacture and bioactivate porous alumina scaffolds for bone regeneration by Spark Plasma Sintering, sacrificial template and sol-gel. In Proceedings of the EUROMAT, Virtual Conference, 13–17 September 2021; Available online: https://www.euromat2021.org/ (accessed on 22 December 2021).
- Marco Matiínez, F.; Urda Martinez-Aedo, A.L. (Eds.) Traumatología y Ortopedia Para el Grado en Medicina; Elsevier: Barcelona, Spain, 2015; ISBN-10: 8480866772, ISBN-13: 978-8480866774. [Google Scholar]
- Krafts, K.P. Tissue Repair. Reinforced Scaffolds, 1st ed.; Li, X., Ed.; Springer Nature: Singapore, 2017; ISBN-10: 9811099049, ISBN-13: 978-9811099045. [Google Scholar]
- Caeiro, J.R.; González, P.; Guede, D. Biomecánica y hueso (y II): Ensayos en los distintos niveles jerárquicos del hueso y técnicas alternativas para la determinación de la resistencia ósea. Rev. Osteoporos. Metab. Miner. 2013, 5, 99–108. [Google Scholar] [CrossRef] [Green Version]
- Mauli Agrawal, C.; Ray, R.B. Biodegradable polymeric scaffolds for bone tissue engineering. J. Biomed. Mater. Res. 2001, 55, 141–150. [Google Scholar] [CrossRef]
- Wu, S.; Liu, X.; Yeung, K.W.K.; Liu, C.; Yang, X. Biomimetic porous scaffolds for bone tissue engineering. Mater. Sci. Eng. R Rep. 2014, 80, 1–36. [Google Scholar] [CrossRef]
- Bert, C.W. Prediction of elastic moduli of solids with oriented porosity. J. Mater. Sci. 1985, 20, 2220–2224. [Google Scholar] [CrossRef]
- Salvini, V.R.; Pandolfelli, V.C.; Spinelli, D. Mechanical Properties of Porous Ceramics. In Recent Advances in Porous Ceramics; Basheer Al-Naib, U.M., Ed.; IntechOpen: London, UK, 2018; pp. 171–199. [Google Scholar] [CrossRef] [Green Version]
- Wang, J.C. Young’s modulus of porous materials-Part 1 Theoretical derivation of modulus-porosity correlation. J. Mater. Sci. 1984, 19, 801–808. [Google Scholar] [CrossRef]
- Wang, J.C. Young’s modulus of porous materials-Part 2 Young’s modulus of porous alumina with changing pore structure. J. Mater. Sci. 1984, 19, 809–814. [Google Scholar] [CrossRef]
- Hasselman, D.P.H. On the Porosity Dependence of the Elastic Moduli of Polycrystalline Refractory Materials. J. Am. Ceram. Soc. 1962, 45, 452–453. [Google Scholar] [CrossRef]
- Gibson, L.J. Cellular Solids: Structure and Properties, 2nd ed.; Cambridge University Press: Cambridge, UK, 1999; ISBN 0-521-49911-9. [Google Scholar]
- Lu, G.; (Max) Lu, G.; Xiao, Z. Mechanical properties of porous materials. J. Porous Mater. 1999, 6, 359–368. [Google Scholar] [CrossRef]
- Choren, J.A.; Heinrich, S.M.; Silver-Thorn, M.B. Young’s modulus and volume porosity relationships for additive manufacturing applications. J. Mater. Sci. 2013, 48, 5103–5112. [Google Scholar] [CrossRef]
- Campos, J.V.; Lavagnini, I.R.; Ferreira, J.A.; Montrazi, E.T.; Bonagamba, T.J.; de Pallone, E.M.J.A. Análise comparativa entre diferentes ensaios porosimétricos em alumina macroporosa. Matéria (Rio de Janeiro) 2017, 22 (Suppl. 1). [Google Scholar] [CrossRef] [Green Version]
- Yoon, B.H.; Choi, W.Y.; Kim, H.E.; Kim, J.H.; Koh, Y.H. Aligned porous alumina ceramics with high compressive strengths for bone tissue engineering. Scr. Mater. 2008, 58, 537–540. [Google Scholar] [CrossRef]
- Choi, D.H.; Kamada, K.; Enomoto, N.; Hojo, J.; Lee, S.W. Fabrication of porous alumina ceramics by spark plasma sintering method. Adv. Mater. Res. 2007, 26–28, 279–282. [Google Scholar] [CrossRef]
- Choi, S.; Oh, Y.I.; Park, K.H.; Lee, J.S.; Shim, J.H.; Kang, B.J. New clinical application of three-dimensional-printed polycaprolactone/β-tricalcium phosphate scaffold as an alternative to allograft bone for limb-sparing surgery in a dog with distal radial osteosarcoma. J. Vet. Med. Sci. 2019, 81, 434–439. [Google Scholar] [CrossRef] [Green Version]
- Díaz-Arca, A.; Ros-Tárraga, P.; Martínez Tomé, M.J.; De Aza, A.H.; Meseguer-Olmo, L.; Mazón, P.; De Aza, P.N. Micro-/nano-structured ceramic scaffolds that mimic natural cancellous bone. Materials 2021, 14, 1439. [Google Scholar] [CrossRef]
- Rivero-Antúnez, P.; Cano-Crespo, R.; Sánchez-Bajo, F.; Domínguez-Rodríguez, A.; Morales-Flórez, V. Reactive SPS for sol–gel alumina samples: Structure, sintering behavior, and mechanical properties. J. Eur. Ceram. Soc. 2021, 41, 5548–5557. [Google Scholar] [CrossRef]








| Model | Expression | Conditions | Refs. |
|---|---|---|---|
| Bert | Oriented porosity | [26] | |
| Spriggs | Low and moderate porosity, p ≤ 0.5 | [27] | |
| Wang | High porosity, p ≥ 0.5 | [28,29] | |
| Hasselman | Loads parallel to the pores | [30] | |
| Gibson-Ashby | Open pores and isotropic material | [31,32] |
| Powders | Particle Size (µm) |
|---|---|
| Alumina | 1.58 ± 0.85 and 19.5 ± 8.7 |
| CG | 11.4 ± 4.2 |
| CM | 490 ± 130 |
| Treatment Label | S1 | S2 | S3 |
|---|---|---|---|
| Heating/cooling ramps | ↑100 °C/min and ↓50 °C/min | ||
| Plateau | 1300 °C–5 min | 1500 °C–5 min | |
| Uniaxial pressure (MPa) | 75 | 50 | 75 |
| Element | wt.% | Element | wt.% |
|---|---|---|---|
| Al | 44.60 | P | 0.14 |
| Ca | 0.48 | S | 0.17 |
| Fe | 0.32 | Si | 5.98 |
| K | 0.09 | Sr | 0.01 |
| Mg | 0.16 | Ti | 0.10 |
| Na | 0.31 | W | 0.03 |
| Ni | 0.02 | Zr | 0.01 |
| O | 47.58 | - | - |
| Sample Name | Porosity Hg (%) | Young’s Modulus (GPa) | |
|---|---|---|---|
| CG | S1 | 91.0 | 0.302 ± 0.002 |
| S2 | 57.4 | 0.230 ± 0.005 | |
| S3 | 68.3 | 0.529 ± 0.010 | |
| S3-1100 | 32.0 | 0.429 ± 0.011 | |
| S3-1250 | 32.5 | 0.216 ± 0.005 | |
| CM | S2 | 61.5 | 0.559 ± 0.012 |
| S3 | 58.1 | 0.792 ± 0.011 | |
| S3-1100 | 93.6 | 1.36 ± 0.03 | |
| S3-1250 | 38.52 | 2.42 ± 0.08 | |
| S3-1300 | 6.9 | 2.48 ± 0.07 | |
| S3-1250-1400 | - | 4.38 ± 0.10 | |
Publisher’s Note: MDPI stays neutral with regard to jurisdictional claims in published maps and institutional affiliations. |
© 2022 by the authors. Licensee MDPI, Basel, Switzerland. This article is an open access article distributed under the terms and conditions of the Creative Commons Attribution (CC BY) license (https://creativecommons.org/licenses/by/4.0/).
Share and Cite
González-Sánchez, M.; Rivero-Antúnez, P.; Cano-Crespo, R.; Morales-Flórez, V. Fabrication of Porous Alumina Structures by SPS and Carbon Sacrificial Template for Bone Regeneration. Materials 2022, 15, 1754. https://doi.org/10.3390/ma15051754
González-Sánchez M, Rivero-Antúnez P, Cano-Crespo R, Morales-Flórez V. Fabrication of Porous Alumina Structures by SPS and Carbon Sacrificial Template for Bone Regeneration. Materials. 2022; 15(5):1754. https://doi.org/10.3390/ma15051754
Chicago/Turabian StyleGonzález-Sánchez, Manuela, Pedro Rivero-Antúnez, Rafael Cano-Crespo, and Víctor Morales-Flórez. 2022. "Fabrication of Porous Alumina Structures by SPS and Carbon Sacrificial Template for Bone Regeneration" Materials 15, no. 5: 1754. https://doi.org/10.3390/ma15051754
APA StyleGonzález-Sánchez, M., Rivero-Antúnez, P., Cano-Crespo, R., & Morales-Flórez, V. (2022). Fabrication of Porous Alumina Structures by SPS and Carbon Sacrificial Template for Bone Regeneration. Materials, 15(5), 1754. https://doi.org/10.3390/ma15051754

