An Efficient Cyan Emission from Copper (II) Complexes with Mixed Organic Conjugate Ligands
Abstract
:1. Introduction
2. Materials and Methods
2.1. Chemicals
2.2. Material Preparation
2.3. Characterization
3. Results and Discussion
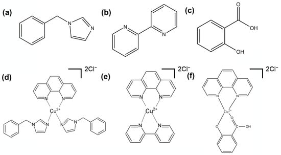
3.1. Structures of the Coordination Complexes
3.2. Fluorescent Behavior of the Complexes
- Benzylimidazole; excitation = 280 nm, ligand emission = 400 nm, copper (II) complex emission = 468 nm
- Bipyridine; excitation = 294 nm, ligand emission = 425 nm, copper (II) complex emission = 485 nm
- Salicylic acid; excitation = 286 nm, ligand emission = 390 nm, copper (II) complex emission = 473 nm
3.3. TG and Electrochemistry
4. Conclusions
Author Contributions
Funding
Data Availability Statement
Conflicts of Interest
References
- Napierala, S.; Walesa-Chorab, M. On-substrate postsynthetic metal ion exchange as a tool for tuning electrochromic properties of materials. Eur. Polym. J. 2020, 140, 110052. [Google Scholar] [CrossRef]
- Artem’ev, A.V.; Davydova, M.P.; Berezin, A.S.; Brel, V.K.; Morgalyuk, V.P.; Bagryanskaya, I.Y.; Samsonenko, D.G. Luminescence of the Mn2+ ion in non-O-h and T-d coordination environments: The missing case of square pyramid. Dalton Trans. 2019, 48, 16448–16456. [Google Scholar] [CrossRef] [PubMed]
- Berezin, A.S.; Davydova, M.P.; Bagryanskaya, I.Y.; Artyushin, O.I.; Brel, V.K.; Artem’ev, A.V. A red-emitting Mn(II)-based coordination polymer build on 1,2,4,5-tetrakis (diphenylphosphinyl)benzene. Inorg. Chem. Commun. 2019, 107, 107473. [Google Scholar] [CrossRef]
- Bortoluzzi, M.; Castro, J.; Di Vera, A.; Palu, A.; Ferraro, V. Manganese(ii) bromo- and iodo-complexes with phosphoramidate and phosphonate ligands: Synthesis, characterization and photoluminescence. New J. Chem. 2021, 45, 12871–12878. [Google Scholar] [CrossRef]
- Zhang, S.; Zhao, Y.; Zhou, J.; Ming, H.; Wang, C.-H.; Jing, X.; Ye, S.; Zhang, Q. Structural design enables highly-efficient green emission with preferable blue light excitation from zero-dimensional manganese (II) hybrids. Chem. Eng. J. 2021, 421, 129886. [Google Scholar] [CrossRef]
- Banasz, R.; Walesa-Chorab, M. Polymeric complexes of transition metal ions as electrochromic materials: Synthesis and properties. Coord. Chem. Rev. 2019, 389, 1–18. [Google Scholar] [CrossRef]
- El-Habeeb, A.A.; Refat, M.S. Synthesis, structure interpretation, antimicrobial and anticancer studies of tranexamic acid complexes towards Ga(III), W(VI), Y(III) and Si(IV) metal ions. J. Mol. Struct. 2019, 1175, 65–72. [Google Scholar] [CrossRef]
- Loncarevic, A.; Ivankovic, M.; Rogina, A. Electrosprayed Chitosan-Copper Complex Microspheres with Uniform Size. Materials 2021, 14, 5630. [Google Scholar] [CrossRef]
- Ma, D.L.; Wong, S.Y.; Kang, T.S.; Ng, H.P.; Han, Q.B.; Leung, C.H. Iridium(III)-based chemosensors for the detection of metal ions. Methods 2019, 168, 3–17. [Google Scholar] [CrossRef]
- Adnan, S.; Al-Adilee, K.J.; Abedalrazaq, K.A. Synthesis, Spectral Characterization And Anticancer Studies of Novel Azo Schiff Base And its Complexes with Ag(I), Au(III) And Pt(IV) ions. Egypt. J. Chem. 2020, 63, 4749–4756. [Google Scholar]
- Bharadwaj, N.; Kaushik, J. Comparative Study of Complexation of Midodrine Hydrochloride and Noradrenaline with Ag (I) Metal Ion—A Spectroscopic Method. Int. J. Life Sci. Pharma Res. 2020, 10, L53–L56. [Google Scholar]
- Chen, W.C.; Sukpattanacharoen, C.; Chan, W.H.; Huang, C.C.; Hsu, H.F.; Shen, D.; Hung, W.Y.; Kungwan, N.; Escudero, D.; Lee, C.S.; et al. Modulation of Solid-State Aggregation of Square-Planar Pt(II) Based Emitters: Enabling Highly Efficient Deep-Red/Near Infrared Electroluminescence. Adv. Funct. Mater. 2020, 30, 2002494. [Google Scholar] [CrossRef]
- Kryuchkova, N.A.; Mironov, I.V.; Afanas’eva, V.A. The effect of ligand modification on the structure and electronic spectra of tetraazamacrocyclic complexes Au(III). J. Mol. Struct. 2021, 1224, 129162. [Google Scholar] [CrossRef]
- Chabera, P.; Liu, Y.; Prakash, O.; Thyrhaug, E.; El Nahhas, A.; Honarfar, A.; Essen, S.; Fredin, L.A.; Harlang, T.C.B.; Kjaer, K.S.; et al. A low-spin Fe(III) complex with 100-ps ligand-to-metal charge transfer photoluminescence. Nature 2017, 543, 695–699. [Google Scholar] [CrossRef] [PubMed]
- McCusker, C.E.; Castellano, F.N. Design of a Long-Lifetime, Earth-Abundant, Aqueous Compatible Cu(I) Photosensitizer Using Cooperative Steric Effects. Inorg. Chem. 2013, 52, 8114–8120. [Google Scholar] [CrossRef]
- Nnabuike, G.G.; Salunke-Gawali, S.; Patil, A.S.; Butcher, R.J.; Lawal, M.; Bamigboye, M.O.; Obaleye, J.A. Copper(II) and Nickel(II) complexes of the non-steroidal anti-inflammatory drug indomethacin containing aromatic chelating N,N-donor ligand: Synthesis and structural studies. J. Mol. Struct. 2021, 1224, 129069. [Google Scholar] [CrossRef]
- Padnya, P.; Shibaeva, K.; Arsenyev, M.; Baryshnikova, S.; Terenteva, O.; Shiabiev, I.; Khannanov, A.; Boldyrev, A.; Gerasimov, A.; Grishaev, D.; et al. Catechol-Containing Schiff Bases on Thiacalixarene: Synthesis, Copper (II) Recognition, and Formation of Organic-Inorganic Copper-Based Materials. Molecules 2021, 26, 2334. [Google Scholar] [CrossRef]
- Tang, H.; Zhou, Z.; Li, Z.; Chen, S.; Wang, L.; Zhang, T. Copper (II) complexes of 1-methyl-5-aminotetrazole with different energetic anions: Syntheses, crystal structures and properties. J. Energetic Mater. 2021, 39, 23–32. [Google Scholar] [CrossRef]
- Li, L.; Huang, M.; Liu, X.H.; Sun, D.M.; Shao, C.Y. In Situ Generation of Fluorescent Copper Nanoclusters Embedded in Monolithic Eggshell Membrane: Properties and Applications. Materials 2018, 11, 1913. [Google Scholar] [CrossRef] [Green Version]
- Devi, L.R.; Raza, M.K.; Musib, D.; Ramu, V.; Devi, J.; Roy, M. Nucleus targeting anthraquinone-based copper (II) complexes as the potent PDT agents: Synthesis, photo-physical and theoretical evaluation. Inorg. Chim. Acta 2020, 500, 119208. [Google Scholar] [CrossRef]
- Kumar, P.; Kumar, V.; Kaur, N.; Mobin, S.M.; Kaur, P.; Singh, K. A fluorene based probe: Synthesis and “turn-on” water sensitivity of the in-situ formed Cu2+ complex: Application in bio-imaging. Anal. Chim. Acta 2022, 1189, 339211. [Google Scholar] [CrossRef] [PubMed]
- Wang, Z.G.; Chen, B.K.; Rogach, A.L. Synthesis, optical properties and applications of light-emitting copper nanoclusters. Nanoscale Horiz. 2017, 2, 135–146. [Google Scholar] [CrossRef] [PubMed]
- Bencini, A.; Lippolis, V. 1,10-Phenanthroline: A versatile building block for the construction of ligands for various purposes. Coord. Chem. Rev. 2010, 254, 2096–2180. [Google Scholar] [CrossRef]
- Walger, E.; Marlin, N.; Molton, F.; Mortha, G. Study of the Direct Red 81 Dye/Copper(II)-Phenanthroline System. Molecules 2018, 23, 242. [Google Scholar] [CrossRef] [PubMed] [Green Version]
- Feng, Y.; Wang, L.; Xing, Z.; Huang, Q.; Ma, P. A new Cu(II) coordination polymer constructed from two kinds of ligands and rare Ta2OF10 (2-) anion: Synthesis, crystal structure and fluorescent properties. Inorg. Chem. Commun. 2018, 93, 15–19. [Google Scholar] [CrossRef]
- Zang, Q.; Zhong, G.-Q.; Wang, M.-L. A copper(II) complex with pyridine-2,6-dicarboxylic acid: Synthesis, characterization, thermal decomposition, bioactivity and interactions with herring sperm DNA. Polyhedron 2015, 100, 223–230. [Google Scholar] [CrossRef]
- Kim, H.T.; Kang, E.; Kim, M.; Joo, J.M. Synthesis of Bidentate Nitrogen Ligands by Rh-Catalyzed C-H Annulation and Their Application to Pd-Catalyzed Aerobic C-H Alkenylation. Org. Lett. 2021, 23, 3657–3662. [Google Scholar] [CrossRef]
- Radhika, S.; Aneeja, T.; Philip, R.M.; Anilkumar, G. Recent advances and trends in the biomimetic iron-catalyzed asymmetric epoxidation. Appl. Organomet. Chem. 2021, 35, e6217. [Google Scholar] [CrossRef]
- Zhang, W.C.; Lu, X. Long-lived photoluminescence and high quantum yield of copper(II) complexes with novel nanostructures. Rsc Adv. 2015, 5, 101155–101161. [Google Scholar] [CrossRef]
- Yamgar, B.A.; Sawant, V.A.; Jadhav, A.N.; Chavan, S.S. Synthesis, characterization and photoluminescence properties of copper(II)-azido/thiocyanato complexes with thiazolylazo dye and 1,2-bis(diphenylphosphino)ethane. Inorg. Chem. Commun. 2010, 13, 1207–1209. [Google Scholar] [CrossRef]
- Bibi, S.; Mohamad, S.; Manan, N.S.A.; Ahmad, J.; Kamboh, M.A.; Khor, S.M.; Yamin, B.M.; Halim, S.N.A. Synthesis, characterization, photoluminescence, and electrochemical studies of novel mononuclear Cu(II) and Zn(II) complexes with the 1-benzylimidazolium ligand. J. Mol. Struct. 2017, 1141, 31–38. [Google Scholar] [CrossRef]
- Su, S.; Cheng, M.-l.; Ren, Y.; Zhai, C.; Tao, F.; Liu, Q. Three transition metal complexes with uncoordinated carboxyl groups: Synthesis, structures, and luminescence properties. Transit. Met. Chem. 2014, 39, 559–566. [Google Scholar] [CrossRef]
- Alwis, D.D.D.H.; Chandrika, U.G.; Jayaweera, P.M. Spectroscopic studies of neutral and chemically oxidized species of beta-carotene, lycopene and norbixin in CH2Cl2: Fluorescence from intermediate compounds. J. Lumin. 2015, 158, 60–64. [Google Scholar] [CrossRef]
- Martin, H.J.; Schulz, K.H.; Bumgardner, J.D.; Walters, K.B. XPS study on the use of 3-aminopropyltriethoxysilane to bond chitosan to a titanium surface. Langmuir 2007, 23, 6645–6651. [Google Scholar] [CrossRef]
- Lawrie, G.; Keen, I.; Drew, B.; Chandler-Temple, A.; Rintoul, L.; Fredericks, P.; Grondahl, L. Interactions between alginate and chitosan biopolymers characterized using FTIR and XPS. Biomacromolecules 2007, 8, 2533–2541. [Google Scholar] [CrossRef]
- Xiang, Y.; Zhang, Q.; Si, J.; Du, J.; Guo, H.; Zhang, T. Characterization and catalytic kinetics studies of N-cetyl-O-sulfate chitosan multinuclear copper complex as an artificial hydrolase. J. Mol. Catal. A-Chem. 2010, 322, 33–38. [Google Scholar] [CrossRef]
- Anitha, C.; Sheela, C.D.; Tharmaraj, P.; Raja, S.J. Synthesis and characterization of VO(II), Co(II), Ni(II), Cu(II) and Zn(II) complexes of chromone based azo-linked Schiff base ligand. Spectrochim. Acta Part A-Mol. Biomol. Spectrosc. 2012, 98, 35–42. [Google Scholar] [CrossRef]
- Chowdhury, S.; Bhattacharya, A.; Saha, P.; Majumder, S.; Suresh, E.; Naskar, J.P. A copper(II) complex of benzimidazole-based ligand: Synthesis, structure, redox aspects and fluorescence properties. J. Coord. Chem. 2016, 69, 3664–3676. [Google Scholar] [CrossRef]
- Mondragon, M.; Elizalde, L.E.; Gomez-Vidales, V.; Arias, E.; Moggio, I. Luminescent copper(I, II) complex-anchored halloysite clay nanotubes. Mater. Chem. Phys. 2018, 212, 237–244. [Google Scholar] [CrossRef]
- Tian, D.; Liu, X.-J.; Chen, R.-Y.; Zhang, Y.-H. Syntheses, structures, luminescent and magnetic properties of two coordination polymers based on a flexible multidentate carboxylate ligand. Chin. Chem. Lett. 2015, 26, 499–503. [Google Scholar] [CrossRef]
- Pavlishchuk, A.V.; Kolotilov, S.V.; Zeller, M.; Thompson, L.K.; Addison, A.W. Formation of Coordination Polymers or Discrete Adducts via Reactions of Gadolinium(III)-Copper(II) 15-Metallacrown-5 Complexes with Polycarboxylates: Synthesis, Structures and Magnetic Properties. Inorg. Chem. 2014, 53, 1320–1330. [Google Scholar] [CrossRef] [PubMed]











| No. | Formula | Quantum Yield (%) | Lifetime (µs) | Peak Emission Wavelength (nm) | Ref. |
|---|---|---|---|---|---|
| 1 | [Cu2(opdc)2(phen)2] n | 2.1 | 7.2 × 10−4 | 450 | [25] |
| 2 | [Cu(bipy)(acac)(NO3)] | 3.09 | 9.05 | 465 | [29] |
| 3 | [Cu(bipy)(DMF)(NO3)2] | 2.17 | 5.22 | 465 | [29] |
| 4 | [Cu(bipy)(Ala)(NO3)(H2O)] | 3.14 | 11.2 | 468 | [29] |
| 5 | Cu(CDHPBC) | 4.0 | -- | 522 | [31] |
| Complex A | Complex B | Complex C | ||||
|---|---|---|---|---|---|---|
| Mass Norm. (%) | Atom (%) | Mass Norm. (%) | Atom (%) | Mass Norm. (%) | Atom (%) | |
| Copper | 9.86 | 2.26 | 15.72 | 4.09 | 16.73 | 4.49 |
| Nitrogen | 12.75 | 13.28 | 12.06 | 14.24 | 10.84 | 13.21 |
| Carbon | 65.56 | 79.59 | 52.71 | 72.57 | 50.07 | 71.17 |
| Chlorine | 11.83 | 4.86 | 19.51 | 9.1 | 21.76 | 10.48 |
| Oxygen | ---- | ----- | ---- | ---- | 0.6 | 0.64 |
| Copper (II) Complex | Copper (II) Complex Structure | Quantum Yield (%) | Phosphorescence Lifetime (µs) | Emission Wavelength (nm) |
|---|---|---|---|---|
| A | Cu(bim)2(phen) | 1.5 | 12.2 | 468 |
| B | Cu(bipy)(phen) | 4.9 | 10.3 | 485 |
| C | Cu(SA)(phen) | 11.9 | 9.9 | 473 |
| Complex | I0 | A (Kelvin) | R2 |
|---|---|---|---|
| A = copper (II) with benzylimidazole | 5.38 | −638 | 0.87 |
| B = copper (II) with bipyridine | 7.7 | −720 | 0.90 |
| C = copper (II) with salicylic acid | 7.74981 | −725.82 | 0.945 |
Publisher’s Note: MDPI stays neutral with regard to jurisdictional claims in published maps and institutional affiliations. |
© 2022 by the authors. Licensee MDPI, Basel, Switzerland. This article is an open access article distributed under the terms and conditions of the Creative Commons Attribution (CC BY) license (https://creativecommons.org/licenses/by/4.0/).
Share and Cite
Wang, J.; Ren, J.; Tang, Q.; Wang, X.; Wang, Y.; Wang, Y.; Du, Z.; Wang, W.; Huang, L.; Belfiore, L.A.; et al. An Efficient Cyan Emission from Copper (II) Complexes with Mixed Organic Conjugate Ligands. Materials 2022, 15, 1719. https://doi.org/10.3390/ma15051719
Wang J, Ren J, Tang Q, Wang X, Wang Y, Wang Y, Du Z, Wang W, Huang L, Belfiore LA, et al. An Efficient Cyan Emission from Copper (II) Complexes with Mixed Organic Conjugate Ligands. Materials. 2022; 15(5):1719. https://doi.org/10.3390/ma15051719
Chicago/Turabian StyleWang, Jingjing, Junjie Ren, Qinglin Tang, Xinzhi Wang, Yao Wang, Yanxin Wang, Zhonglin Du, Wei Wang, Linjun Huang, Laurence A. Belfiore, and et al. 2022. "An Efficient Cyan Emission from Copper (II) Complexes with Mixed Organic Conjugate Ligands" Materials 15, no. 5: 1719. https://doi.org/10.3390/ma15051719
APA StyleWang, J., Ren, J., Tang, Q., Wang, X., Wang, Y., Wang, Y., Du, Z., Wang, W., Huang, L., Belfiore, L. A., & Tang, J. (2022). An Efficient Cyan Emission from Copper (II) Complexes with Mixed Organic Conjugate Ligands. Materials, 15(5), 1719. https://doi.org/10.3390/ma15051719

