Effect of Compaction Ratio on Mechanical Properties of Low-Strength Hydraulically Bound Mixtures for Road Engineering
Abstract
:1. Introduction
2. Materials and Methods
2.1. Materials
2.2. Specimen Preparation
- 3 × 5 = 15 blows for 95%
- 3 × 12 = 36 blows for 98%
- 3 × 25 = 75 blows for 100%
2.3. Research Programme
2.3.1. Unconfined Compressive Strength ()
2.3.2. Indirect Tensile Strength ()—Indirect Diametrical Tensile (IDT) Test
2.3.3. Dynamic Stiffness Modulus ()—IDT Test
3. Results and Discussion
3.1. Unconfined Compressive Strength ()
3.2. Indirect Tensile Strength ()—IDT Test
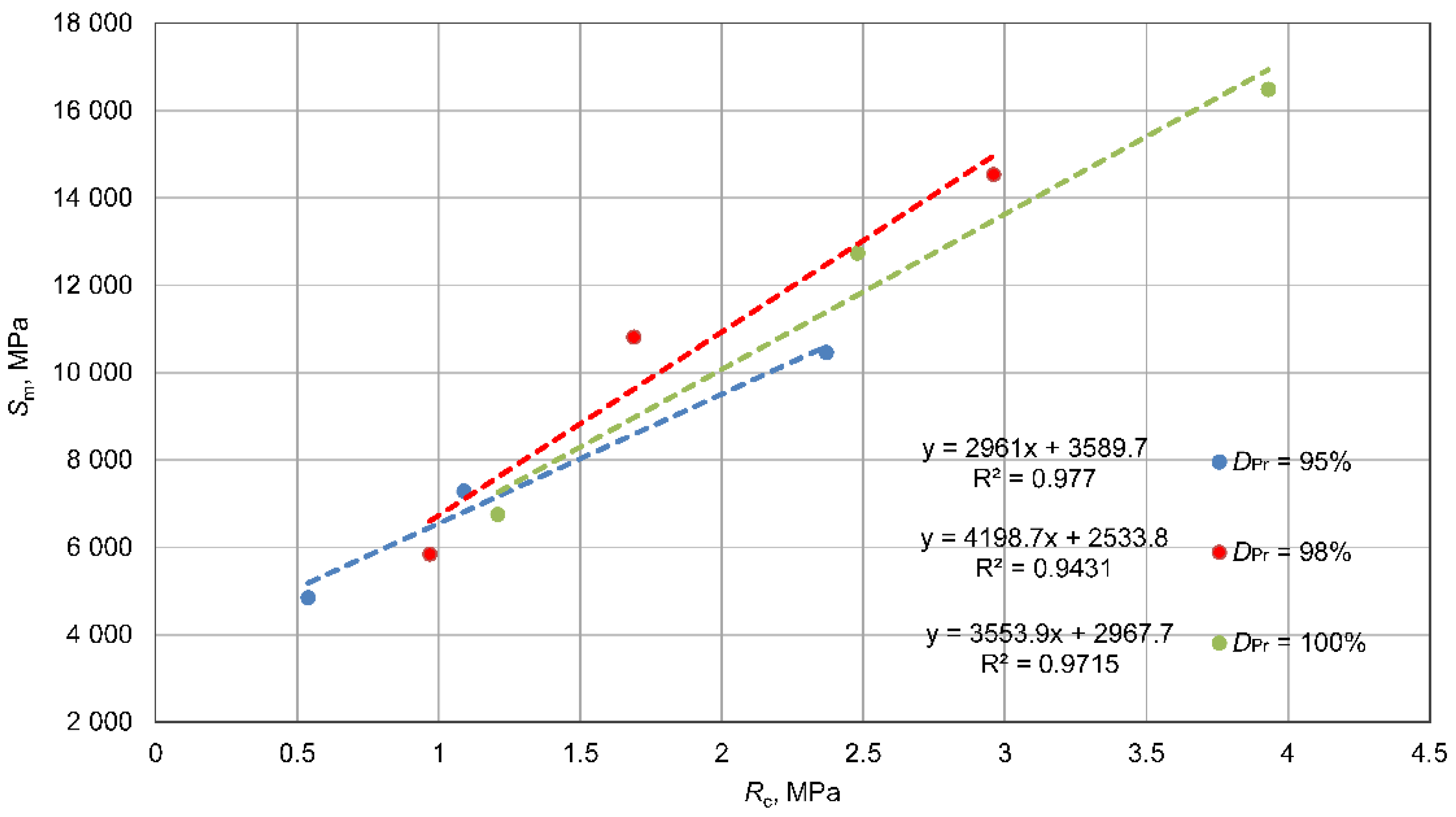
3.3. Dynamic Stiffness Modulus ()—IDT Test
3.4. Analysis of Normalised , , and
4. Conclusions
Author Contributions
Funding
Institutional Review Board Statement
Informed Consent Statement
Data Availability Statement
Acknowledgments
Conflicts of Interest
References
- European Standard EN14227–15; Hydraulically Bound Mixtures—Specifications—Part 15: Hydraulically Stabilised Soils. European Committee for Standardization: Brussels, Belgium, 2015.
- Kraszewski, C.; Dreger, M.; Mitrut, M.; Przygoda, M. Quicklime Soil Stabilisation in Road Engineering—Theory and Practice. Mar. Eng. Geotech. 2020, 2, 82–86. (In Polish) [Google Scholar]
- Kraszewski, C. Strength Characteristics of Hydraulically Bound Aggregate Mixtures in Road Construction. Roads Bridges Drog. I Mosty 2009, 3, 31–54. (In Polish) [Google Scholar]
- Kraszewski, C. Analysis of Frost Resistance Test Results for Hydraulically Bound Mixtures. Roads Bridges Drog. I Mosty 2008, 3, 19–33. (In Polish) [Google Scholar]
- Kraszewski, C. Hydraulically Bound Soils and Aggregates in Road Engineering. Drogownictwo 2009, 3, 98–103. (In Polish) [Google Scholar]
- Seco, A.; del Castillo, J.M.; Espuelas, S.; Marcelino, S.; García, B. Sulphate Soil Stabilisation with Magnesium Binders for Road Subgrade Construction. Int. J. Pavement Eng. 2020, 1–11. [Google Scholar] [CrossRef]
- Rodriguez, A.K.; Ayyavu, C.; Iyengar, S.R.; Bazzi, H.S.; Masad, E.; Little, D.; Hanley, H.J.M. Polyampholyte Polymer as a Stabiliser for Subgrade Soil. Int. J. Pavement Eng. 2018, 19, 467–478. [Google Scholar] [CrossRef]
- Baghini, M.S.; Ismail, A.B.; Karim, M.R.B.; Shokri, F.; Firoozi, A.A. Effects on Engineering Properties of Cement-Treated Road Base with Slow Setting Bitumen Emulsion. Int. J. Pavement Eng. 2017, 18, 202–215. [Google Scholar] [CrossRef]
- Arulrajah, A.; Mohammadinia, A.; D’Amico, A.; Horpibulsuk, S. Effect of Lime Kiln Dust as an Alternative Binder in the Stabilization of Construction and Demolition Materials. Constr. Build. Mater. 2017, 152, 999–1007. [Google Scholar] [CrossRef]
- Kang, X.; Ge, L.; Kang, G.-C.; Mathews, C. Laboratory Investigation of the Strength, Stiffness, and Thermal Conductivity of Fly Ash and Lime Kiln Dust Stabilised Clay Subgrade Materials. Road Mater. Pavement Des. 2015, 16, 928–945. [Google Scholar] [CrossRef]
- European Standard EN14227–1; Hydraulically Bound Mixtures—Specifications—Part 1: Cement Bound Granular Mixtures. European Committee for Standardization: Brussels, Belgium, 2013.
- Lv, S.; Xia, C.; Liu, H.; You, L.; Qu, F.; Zhong, W.; Yang, Y.; Washko, S. Strength and Fatigue Performance for Cement-Treated Aggregate Base Materials. Int. J. Pavement Eng. 2021, 22, 690–699. [Google Scholar] [CrossRef]
- Hou, Y.; Ji, X.; Su, X. Mechanical Properties and Strength Criteria of Cement-Stabilised Recycled Concrete Aggregate. Int. J. Pavement Eng. 2019, 20, 339–348. [Google Scholar] [CrossRef]
- Gajewska, B.; Kraszewski, C.; Rafalski, L. Significance of Cement-Stabilised Soil Grain Size Distribution in Determining the Relationship Between Strength and Resilient Modulus. Road Mater. Pavement Des. 2018, 19, 1692–1701. [Google Scholar] [CrossRef]
- European Standard EN13286–2; Unbound and Hydraulically Bound Mixtures—Part 2: Test Methods for Laboratory Dry Density and Water Content—Proctor Compaction. European Committee for Standardization: Brussels, Belgium, 2010.
- European Standard EN13286–1; Unbound and Hydraulically Bound Mixtures—Part 1: Test Methods for Laboratory Reference Density and Water Content—Introduction, General Requirements and Sampling. European Committee for Standardization: Brussels, Belgium, 2010.
- Cerni, G.; Camilli, S. Comparative Analysis of Gyratory and Proctor Compaction Processes of Unbound Granular Materials. Road Mater. Pavement Des. 2011, 12, 397–421. [Google Scholar] [CrossRef]
- White, G.W.; Gnanendran, C.T. The Influence of Compaction Method and Density on the Strength and Modulus of Cementitiously Stabilised Pavement Materials. Int. J. Pavement Eng. 2005, 6, 97–110. [Google Scholar] [CrossRef]
- Wang, F.; Pang, W.; Fang, Y.; Jiang, Y.; Han, L.; Li, Y. Comparative Research on Mechanical Properties and Void Distribution of Cement Stabilized Macadam Based on Static Pressure and Vibration Compaction. Appl. Sci. 2020, 10, 8830. [Google Scholar] [CrossRef]
- Yaghoubi, E.; Disfani, M.M.; Arulrajah, A.; Kodikara, J. Impact of Compaction Method on Mechanical Characteristics of Unbound Granular Recycled Materials. Road Mater. Pavement Des. 2018, 19, 912–934. [Google Scholar] [CrossRef]
- Yideti, T.F.; Birgisson, B.; Jelagin, D. Influence of Aggregate Packing Structure on California Bearing Ratio Values of Unbound Granular Materials. Road Mater. Pavement Des. 2014, 15, 102–113. [Google Scholar] [CrossRef]
- Kraszewski, C.; Rafalski, L.; Cwiakala, M.; Dreger, M. Effect of Applied Stress Increments of the Secondary Deformation Modulus and the Ratio Between the Secondary and Primary Moduli of Sandy Gravel and Crushed Aggregate in Static Plate Load Tests. Roads Bridges Drog. I Mosty 2020, 19, 283–296. [Google Scholar] [CrossRef]
- WT-5; Technical Specification—Hydraulically Bound Mixtures for National Roads. General Director for National Roads and Motorways: Warsaw, Poland, 2010.
- Kraszewski, C. Soil Stabilization by Processed Oil Sludge in Road Engineering. Ph.D. Thesis, Warsaw University of Technology, Warszawa, Poland, 2005. [Google Scholar]
- Transportation Officials. Mechanistic–Empirical Pavement Design Guide A Manual of Practice; American Association of State Highway and Transportation Officials: Washington, DC, USA, 2008. [Google Scholar]
- Gajewska, B.; Gajewski, M.; Kraszewski, C.; Rafalski, L. Investigations of Resilient Moduli of Selected Hydraulically Bound Mixtures (HBM) Under Cyclic Load. Roads Bridges Drog. I Mosty 2012, 11, 269–280. [Google Scholar] [CrossRef]
- Jiang, Y.; Yuan, K.; Li, Q.; Deng, C.; Yi, Y.; Zhang, Y.; Xue, J. Comparison of Mechanical Properties of Cement-Stabilized Loess Produced Using Different Compaction Methods. Adv. Mater. Sci. Eng. 2020, 2020, 1–20. [Google Scholar] [CrossRef]
- Wang, T.; Liu, S.; Feng, Y.; Yu, J. Compaction Characteristics and Minimum Void Ratio Prediction Model for Gap-Graded Soil-Rock Mixture. Appl. Sci. 2018, 8, 2584. [Google Scholar] [CrossRef] [Green Version]
- Wang, S.L.; Baaj, H. Treatment of Weak Subgrade Materials with Cement and Hydraulic Road Binder (HRB). Road Mater. Pavement Des. 2021, 22, 1756–1779. [Google Scholar] [CrossRef]
- Gnanendran, C.T.; Piratheepan, J. Characterisation of a Lightly Stabilised Granular Material by Indirect Diametrical Tensile Testing. Int. J. Pavement Eng. 2008, 9, 445–456. [Google Scholar] [CrossRef]
- Sullivan, W.G.; Howard, I.L. Time Delay Effects on Compactability of Soil-Cement Materials during Proctor Testing. Transp. Res. Rec. 2021, 2675, 481–493. [Google Scholar] [CrossRef]
- Moghal, A.A.B.; Ashfaq, M.; Al-Obaid, A.A.K.H.; Abbas, M.F.; Shaker, A.A. Compaction delay and its effect on the geotechnical properties of lime treated semi-arid soils. Road Mater. Pavement Des. 2021, 22, 2626–2640. [Google Scholar] [CrossRef]
- European Standard EN 13286–41; Unbound and Hydraulically Bound Mixtures—Part 41: Test Method for the Determination of the Compressive Strength of Hydraulically Bound Mixtures. European Committee for Standardization (CEN): Brussels, Belgium, 2021.
- European Standard EN 13286–42; Unbound and Hydraulically Bound Mixtures—Part 42: Test Method for the Determination of the Indirect Tensile Strength of Hydraulically Bound Mixtures. European Committee for Standardization (CEN): Brussels, Belgium, 2003.
- European Standard EN 12697–26; Bituminous Mixtures—Test Methods—Part 26: Stiffness. European Committee for Standardization (CEN): Brussels, Belgium, 2018.
- European Standard EN 197–191; Cement—Part 1: Composition, Specifications and Conformity Criteria for Common Cement. European Committee for Standardization (CEN): Brussels, Belgium, 2011.
- Kraszewski, C.; Gajewska, B. Testing and Analysis of Influence of Compaction Ratio on Mechanistic and Elastic Properties of Low Strength Cement Stabilized Soils. Research PW.S-759; Road and Bridge Research Institute: Warsaw, Poland, 2017. [Google Scholar]
- Marrani, A.; Lancieri, F. Performance of Cement Stabilized Recycled Crushed Concrete. In Proceedings of the First International Conference on Transport Infrastructure ICTI, Beijing, China, 23–26 April 2008. [Google Scholar]
- Yeo, R. The Development and Evaluation of Protocols for the Laboratory Characterisation of Cemented Materials; Austroads: Sydney, Australia, 2008; Issue Number AP-T101/08. [Google Scholar]
- Greg, A.; Morkel, C.; van der Weshuizen, G. Development of Tensile Fatigue Criteria for Bound Materials; NZ Transport Agency: Wellington, The New Zealand, 2011; p. 136.
















| Number of 2.5 kg Hammer Blows per Specimen with ϕ = 100 and h = 120 mm | (J/cm3) | (%) | |
|---|---|---|---|
| 15 | 95 | 0.1191 | 20 |
| 36 | 98 | 0.2859 | 48 |
| 75 | 100 | 0.5955 | 100 |
| Mixture | Max Dry Density, (g/cm3) | Optimum Moisture Content, OMC (%) |
|---|---|---|
| 100% sand | 1.833 | 8.2 |
| 95% sand + 5% cement | 1.897 | 8.5 |
| 93.5% sand + 6.5% cement | 1.903 | 9.5 |
| 92% sand + 8% cement | 1.921 | 9.5 |
| Cement Dosage (%) | (%) | Average (MPa) | Standard Deviation (SD) |
|---|---|---|---|
| 5 | 95 | 0.54 | 0.067 |
| 98 | 0.97 | 0.033 | |
| 100 | 1.21 | 0.055 | |
| 6.5 | 95 | 1.09 | 0.076 |
| 98 | 1.69 | 0.255 | |
| 100 | 2.48 | 0.141 | |
| 8 | 95 | 2.37 | 0.387 |
| 98 | 2.96 | 0.426 | |
| 100 | 3.93 | 0.287 |
| Cement Dosage (%) | Compaction Ratio, (%) | Average Indirect Tensile Strength, Rit (MPa) | Standard Deviation (SD) |
|---|---|---|---|
| 5 | 95 | 0.14 | 0.047 |
| 98 | 0.17 | 0.048 | |
| 100 | 0.20 | 0.054 | |
| 6.5 | 95 | 0.25 | 0.059 |
| 98 | 0.31 | 0.105 | |
| 100 | 0.34 | 0.089 | |
| 8 | 95 | 0.31 | 0.034 |
| 98 | 0.33 | 0.104 | |
| 100 | 0.39 | 0.024 |
| Cement Content (%) | Compaction Ratio, (%) | Dynamic Stiffness Modulus, (MPa) | Standard Deviation (SD) |
|---|---|---|---|
| 5 | 95 | 4853 | 140.7 |
| 98 | 5850 | 54.1 | |
| 100 | 6758 | 588.8 | |
| 6.5 | 95 | 7297 | 1126.4 |
| 98 | 10,815 | 323.8 | |
| 100 | 12,738 | 2265.9 | |
| 8 | 95 | 10,463 | 1659.6 |
| 98 | 14,533 | 1649.1 | |
| 100 | 16,488 | 3375.7 |
| Feature | ||||
|---|---|---|---|---|
| % | 32–51 | 44–61 | 72–82 | 100 |
| % | 55–71 | 70–79 | 89–92 | 100 |
| % | 40–61 | 57–72 | 83–89 | 100 |
Publisher’s Note: MDPI stays neutral with regard to jurisdictional claims in published maps and institutional affiliations. |
© 2022 by the authors. Licensee MDPI, Basel, Switzerland. This article is an open access article distributed under the terms and conditions of the Creative Commons Attribution (CC BY) license (https://creativecommons.org/licenses/by/4.0/).
Share and Cite
Kraszewski, C.; Rafalski, L.; Gajewska, B. Effect of Compaction Ratio on Mechanical Properties of Low-Strength Hydraulically Bound Mixtures for Road Engineering. Materials 2022, 15, 1561. https://doi.org/10.3390/ma15041561
Kraszewski C, Rafalski L, Gajewska B. Effect of Compaction Ratio on Mechanical Properties of Low-Strength Hydraulically Bound Mixtures for Road Engineering. Materials. 2022; 15(4):1561. https://doi.org/10.3390/ma15041561
Chicago/Turabian StyleKraszewski, Cezary, Leszek Rafalski, and Beata Gajewska. 2022. "Effect of Compaction Ratio on Mechanical Properties of Low-Strength Hydraulically Bound Mixtures for Road Engineering" Materials 15, no. 4: 1561. https://doi.org/10.3390/ma15041561
APA StyleKraszewski, C., Rafalski, L., & Gajewska, B. (2022). Effect of Compaction Ratio on Mechanical Properties of Low-Strength Hydraulically Bound Mixtures for Road Engineering. Materials, 15(4), 1561. https://doi.org/10.3390/ma15041561

