Improving the Anti-Corrosion and Anti-Wear Performance of Anodic Coating on the Surface of AA 5052 via Hydro-Thermal Treatment
Abstract
:1. Introduction
2. Experiment
2.1. Materials and Pre-Treatment
2.2. Experimental Process
2.3. Characteristic
3. Results and Discussion
3.1. Micromorphology
3.2. EDS Analysis
3.3. Crystalline Structure
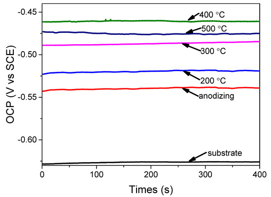
3.4. Electrochemical Corrosion Behavior
3.5. Hardness
3.6. Friction Coefficient
3.7. Adhesion
3.8. Thermal Conductivity
4. Conclusions
Author Contributions
Funding
Institutional Review Board Statement
Informed Consent Statement
Data Availability Statement
Acknowledgments
Conflicts of Interest
References
- Wang, X.; Morisada, Y.; Fujii, H. Interface development and microstructure evolution during double-sided friction stir spot welding of magnesium alloy by adjustable probes and their effects on mechanical properties of the joint. J. Mater. Process. Technol. 2021, 294, 117104. [Google Scholar] [CrossRef]
- Zhou, Y.; Zhu, Y.; Zhu, Y.; Li, L. Phase transformation, kinetics and thermodynamics during the combustion synthesis of Mg2Al3 alloy. J. Alloys Compd. 2015, 628, 257–262. [Google Scholar] [CrossRef]
- Chen, Y.; Huang, Y.; Chang, C.; Kao, P. The effect of extrusion temperature on the development of deformation microstructures in 5052 aluminium alloy processed by equal channel angular extrusion. Acta Mater. 2003, 51, 2005–2015. [Google Scholar] [CrossRef]
- Ohshima, H.; Tanaka, A.; Sukegawa, T. Low-temperature liquid phase epitaxial growth of an (In,Ga,Al)Sb quaternary alloy. Appl. Phys. Lett. 1985, 47, 41–42. [Google Scholar] [CrossRef]
- Owens, A.G.; Veys-Renaux, D.; Cartigny, V.; Rocca, E. Large-pores anodizing of 5657 aluminum alloy in phosphoric acid: An in-situ electrochemical study. Electrochim. Acta 2021, 382, 138303. [Google Scholar] [CrossRef]
- Aliasghari, S.; Skeldon, P.; Zhou, X.; Hashimoto, T. Effect of an anodizing pre-treatment on AA 5052 alloy/polypropylene joining by friction stir spot welding. Mater. Sci. Eng. B 2019, 245, 107–112. [Google Scholar] [CrossRef]
- Fahim, J.; Hadavi, S.; Ghayour, H.; Tabrizi, S.H. Cavitation erosion behavior of super-hydrophobic coatings on Al5083 marine aluminum alloy. Wear 2019, 424–425, 122–132. [Google Scholar] [CrossRef]
- Zeng, Y.; He, Z.; Hua, Q.; Xu, Q.; Min, Y. Polyacrylonitrile Infused in a Modified Honeycomb Aluminum Alloy Bipolar Plate and Its Acid Corrosion Resistance. ACS Omega 2020, 5, 16976–16985. [Google Scholar] [CrossRef]
- Yang, J.; Guo, Y.; Zai, W.; Ma, S.; Dong, L.; Li, G. Preparation and properties of the anodized film on Fe-Cr-Al alloy surface. Anti-Corros. Methods Mater. 2020, 67, 379–386. [Google Scholar] [CrossRef]
- Dhanish, S.; Yoganandan, G.; Balaraju, J. Development of TSA anodized/MnVO sealed coating using a statistical approach for Al 7075 alloy and a study of its corrosion behaviour. Surf. Coatings Technol. 2020, 402, 126316. [Google Scholar] [CrossRef]
- Ma, Y.; Chen, X.; Zhou, X.; Yi, Y.; Liao, Y.; Huang, W. Microstructural origin of localized corrosion in anodized AA2099-T8 aluminium-lithium alloy. Surf. Interface Anal. 2015, 48, 739–744. [Google Scholar] [CrossRef]
- Martínez-Viademonte, M.P.; Abrahami, S.T.; Hack, T.; Burchardt, M.; Terryn, H. A Review on Anodizing of Aerospace Aluminum Alloys for Corrosion Protection. Coatings 2020, 10, 1106. [Google Scholar] [CrossRef]
- Zhao, S.; Dou, B.; Duan, S.; Lin, X.; Zhang, Y.; Emori, W.; Gao, X.; Fang, Z. Influence of fluorinated graphene-modified epoxy coatings on the corrosion behaviour of 2024 aluminium alloy. RSC Adv. 2021, 11, 17558–17573. [Google Scholar] [CrossRef]
- Skoczylas, W.P.; Rempfer, G.F.; Griffith, H. A proposed modular imaging system for photoelectron and electron probe mi-croscopy with aberration correction, and for mirror microscopy and low-energy electron microscopy. Ultramicroscopy 1991, 36, 252–261. [Google Scholar] [CrossRef]
- Abdelgnei, M.A.; Omar, M.Z.; Ghazali, M.J. Wear Properties of Thixoformed Al-5.7Si-2Cu-0.3Mg Aluminium Alloy. Solid State Phenom. 2019, 285, 63–68. [Google Scholar] [CrossRef]
- Chelladurai, S.J.S.; Arthanari, R. Investigation on mechanical and wear properties of zinc-coated steel wires reinforced LM6 aluminium alloy composites by squeeze casting. Surf. Rev. Lett. 2019, 26, 1850125. [Google Scholar] [CrossRef] [Green Version]
- Nagavelly, S.; Velagapudi, V.; Narasaiah, N. Mechanical Properties and Dry Sliding Wear Behaviour of Molybdenum Disulphide Reinforced Zinc–Aluminium Alloy Composites. Trans. Indian Inst. Met. 2017, 70, 2155–2163. [Google Scholar] [CrossRef]
- Simpson, Y.K.; Carter, C.B. The Early Stages of the Spinel-Alumina Phase Transformation. MRS Proc. 1987, 94, 45–50. [Google Scholar] [CrossRef]
- Isadare, A.D.; Aremo, B.; Adeoye, M.O.; Olawale, O.J.; Shittu, M.D. Effect of heat treatment on some mechanical properties of 7075 aluminium alloy. Mater. Res. 2012, 16, 190–194. [Google Scholar] [CrossRef] [Green Version]
- Guan, R.-G.; Wen, J.-L.; Liu, X.-H. Finite element modelling analysis of aluminium alloy 2017 thermal/fluid multiple fields during a single roll stirring process. Mater. Sci. Technol. 2003, 19, 503–506. [Google Scholar] [CrossRef]
- Vencl, A.; Bobic, I.; Arostegui, S.; Bobic, B.; Marinković, A.; Babić, M. Structural, mechanical and tribological properties of A356 aluminium alloy reinforced with Al2O3, SiC and SiC + graphite particles. J. Alloys Compd. 2010, 506, 631–639. [Google Scholar] [CrossRef]
- Wang, R.; Wang, L.; He, C.; Lu, M.; Sun, L. Studies on the sealing processes of corrosion resistant coatings formed on 2024 aluminium alloy with tartaric-sulfuric anodizing. Surf. Coatings Technol. 2018, 360, 369–375. [Google Scholar] [CrossRef]
- Recloux, I.; Andreatta, F.; Druart, M.-E.; Coelho, L.B.; Cepek, C.; Cossement, D.; Fedrizzi, L.; Olivier, M.-G. Stability of benzotriazole-based films against AA2024 aluminium alloy corrosion process in neutral chloride electrolyte. J. Alloys Compd. 2018, 735, 2512–2522. [Google Scholar] [CrossRef]
- Li, Z.; Kuang, Q.; Dong, X.; Yuan, T.; Ren, Q.; Wang, X.; Wang, J.; Jing, X. Characteristics of high-performance anti-corrosion/anti-wear ceramic coatings on magnesium-lithium alloy by plasma electrolytic oxidation surface engineering. Surf. Coatings Technol. 2019, 375, 600–607. [Google Scholar] [CrossRef]
- Jamari, J.; Ammarullah, M.; Saad, A.; Syahrom, A.; Uddin, M.; van der Heide, E.; Basri, H. The Effect of Bottom Profile Dimples on the Femoral Head on Wear in Metal-on-Metal Total Hip Arthroplasty. J. Funct. Biomater. 2021, 12, 38. [Google Scholar] [CrossRef] [PubMed]
- Tacikowski, M.; Betiuk, M.; Cymerman, K.; Pisarek, M.; Pokorska, I.; Wierzchoń, T. High performance corrosion and wear resistant composite titanium nitride layers produced on the AZ91D magnesium alloy by a hybrid method. J. Magnes. Alloy. 2014, 2, 265–273. [Google Scholar] [CrossRef] [Green Version]
- Chang, Y.; Ling, Z.; Li, Y.; Hu, X. Hydrothermal synthesis of aluminum oxy-hydroxide nanorod and nanotube arrays. Electrochim. Acta 2013, 93, 241–247. [Google Scholar] [CrossRef]
- Xu, A.; Weng, Y.; Zhao, R. Permeability and Equivalent Circuit Model of Ionically Conductive Mortar Using Electrochemical Workstation. Materials 2020, 13, 1179. [Google Scholar] [CrossRef] [Green Version]
- De Lima, G.G.; de Souza, G.B.; Lepienski, C.M.; Kuromoto, N.K. Mechanical properties of anodic titanium films containing ions of Ca and P submitted to heat and hydrothermal treatment. J. Mech. Behav. Biomed. Mater. 2016, 64, 18–30. [Google Scholar] [CrossRef]
- Liu, H.; Fan, B.; Fan, G.; Zhao, X.; Liu, Z.; Hao, H.; Yang, B. Long-term protective mechanism of poly(N-methylaniline)/phosphate one-step electropolymerized coatings for copper in 3.5% NaCl solution. J. Alloys Compd. 2021, 872, 159752. [Google Scholar] [CrossRef]
- Nayar, P.; Khanna, A. Formation of crystalline aluminum silicate hydroxide layer during deposition of amorphous alumina coatings by electron beam evaporation. Vacuum 2013, 89, 17–20. [Google Scholar] [CrossRef]
- Liu, X. DRIFTS Study of Surface of γ-Alumina and Its Dehydroxylation. J. Phys. Chem. C 2008, 112, 5066–5073. [Google Scholar] [CrossRef]
- Mukhamed’Yarova, A.N.; Egorova, S.R.; Nosova, O.V.; Lamberov, A.A. Influence of hydrothermal conditions on the phase transformations of amorphous alumina. Mendeleev Commun. 2021, 31, 385–387. [Google Scholar] [CrossRef]
- Pal, S.; Bhowmick, S.; Khan, S.A.; Claverie, A.; Kanjilal, D.; Bakshi, A.K. Annealing temperature-driven near-surface crystallization with improved luminescence in self-patterned alumina films. J. Mater. Sci. Mater. Electron. 2021, 32, 11709–11718. [Google Scholar] [CrossRef]
- Wang, W.; Chen, Z.; Feng, S. Effect of CeO2 on Impact Toughness and Corrosion Resistance of WC Reinforced Al-Based Coating by Laser Cladding. Materials 2019, 12, 2901. [Google Scholar] [CrossRef] [PubMed] [Green Version]
- Choi, J.-W.; Li, W.; Ushioda, K.; Fujii, H. Flat hardness distribution in AA6061 joints by linear friction welding. Sci. Rep. 2021, 11, 11756. [Google Scholar] [CrossRef]
- Domagalski, J.; Xifre-Perez, E.; Marsal, L. Recent Advances in Nanoporous Anodic Alumina: Principles, Engineering, and Applications. Nanomaterials 2021, 11, 430. [Google Scholar] [CrossRef]
- Ono, S.; Asoh, H. A new perspective on pore growth in anodic alumina films. Electrochem. Commun. 2021, 124, 106972. [Google Scholar] [CrossRef]










| Composition | Al | Mg | Si | Cu | Cr | Fe | Mn | Zn | Others |
|---|---|---|---|---|---|---|---|---|---|
| wt% | Balance | 2.2–2.8 | 0.25 | 0.1 | 0.15–0.35 | 0.4 | 0.1 | 0.1 | 0.15 |
| Point | Element Content (wt.%) | ||||||
|---|---|---|---|---|---|---|---|
| Al | Cu | Fe | Mn | Mg | Si | O | |
| 1 | 69.23 | 3.41 | 9.43 | 12.94 | |||
| 2 | 71.32 | 28.68 | |||||
| 3 | 70.56 | 9.79 | 19.65 | ||||
| 4 | 68.22 | 14.74 | 12.81 | 4.23 | |||
| 5 | 77.33 | 11.05 | 2.87 | 8.65 | |||
| 6 | 63.35 | 19.35 | 5.06 | 12.24 | |||
| 7 | 80.95 | 9.02 | 0.79 | 3.60 | 5.64 | ||
| 8 | 49.46 | 32.79 | 6.68 | 2.93 | 8.14 | ||
| 9 | 61.46 | 28.17 | 10.37 | ||||
| 10 | 56.64 | 23.32 | 20.04 | ||||
| 11 | 73.21 | 26.79 | |||||
| 12 | 68.33 | 18.02 | 13.65 | ||||
| 13 | 63.13 | 20.51 | 1.12 | 15.24 | |||
Publisher’s Note: MDPI stays neutral with regard to jurisdictional claims in published maps and institutional affiliations. |
© 2022 by the authors. Licensee MDPI, Basel, Switzerland. This article is an open access article distributed under the terms and conditions of the Creative Commons Attribution (CC BY) license (https://creativecommons.org/licenses/by/4.0/).
Share and Cite
Liu, D.; Zhang, B.; Song, W. Improving the Anti-Corrosion and Anti-Wear Performance of Anodic Coating on the Surface of AA 5052 via Hydro-Thermal Treatment. Materials 2022, 15, 1447. https://doi.org/10.3390/ma15041447
Liu D, Zhang B, Song W. Improving the Anti-Corrosion and Anti-Wear Performance of Anodic Coating on the Surface of AA 5052 via Hydro-Thermal Treatment. Materials. 2022; 15(4):1447. https://doi.org/10.3390/ma15041447
Chicago/Turabian StyleLiu, Debo, Baofeng Zhang, and Wei Song. 2022. "Improving the Anti-Corrosion and Anti-Wear Performance of Anodic Coating on the Surface of AA 5052 via Hydro-Thermal Treatment" Materials 15, no. 4: 1447. https://doi.org/10.3390/ma15041447
APA StyleLiu, D., Zhang, B., & Song, W. (2022). Improving the Anti-Corrosion and Anti-Wear Performance of Anodic Coating on the Surface of AA 5052 via Hydro-Thermal Treatment. Materials, 15(4), 1447. https://doi.org/10.3390/ma15041447
