Assessment of the Influence of Selected Technological Parameters on the Morphology Parameters of the Cutting Surfaces of the Hardox 500 Material Cut by Abrasive Water Jet Technology
Abstract
1. Introduction
2. Materials and Methods
2.1. Description of Measuring Equipment
2.2. Analysis and Evaluation of the Surface
- −
- Measured values of roughness Ra, Rz, Ra4 and Rz4 and deflection of the jet Ø;
- −
- Roughness measured in the middle of the cut areas of the samples;
- −
- Roughness measured 4 mm from the upper cutting edges on the samples’ cut surfaces;
- −
- Deflection of the abrasive water jet;
- −
- Evaluation based on photographic pictures of cut surfaces.
3. Results
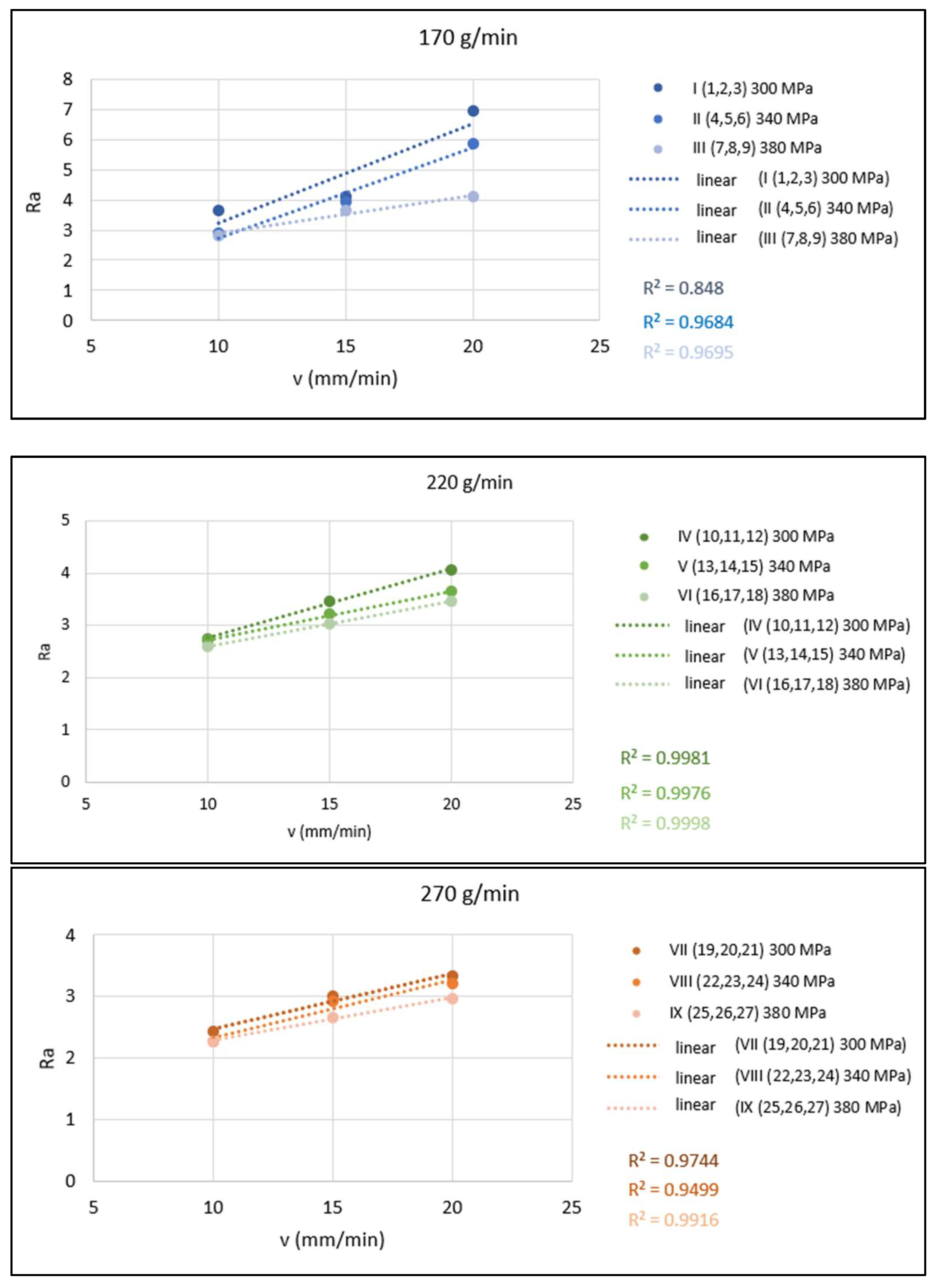
3.1. Measured Values of Roughness Ra, Rz, Ra4 and Rz4 and Deflection of the Abrasive Water Jet Ø
3.2. Roughness Measured in the Centers of the Cut Areas of the Samples
3.3. Roughness Measured 4 mm from the Upper Cutting Edges of the Cut Areas of the Samples
3.4. Evaluation Based on Photographic Images of Cut Surfaces
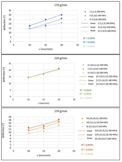
3.5. Deflection of the Abrasive Water Jet
4. Discussion
4.1. Recommendations for Values of Roughness Ra, Rz and Deflection of Abrasive Water Jet Ø
4.2. Recommendations for Roughness Values Ra4 and Rz4
5. Conclusions
- −
- The most significant improvements regarding the roughness of the cut surfaces of 40 mm thick Hardox sheets are achieved by reducing the feed rate of the cutting head and increasing the mass flow of the abrasive. The same applies to the deflection of the abrasive water jet. Pump pressure parameter is less effective to change the roughness as well as the deflection of the abrasive water jet;
- −
- Lower roughness values of Ra, Rz, Ra4 and Rz4 in the samples were caused by lower cutting feed rate, but at the same time, the highest used value of the feed rate v = 20 mm/min can be considered as the limit if it acts in combination with the lowest values of the other two technological parameters mA and p. If this limit value is exceeded, it may not be possible to perform a complete cut of the sheet;
- −
- The feed rate of the cutting head has the greatest influence on the deflection of the jet because half the rate can compensate for the simultaneous change of mass flow and pressure from the maximum (Table 5, combination of parameters No. 5) to the level of their medium value (No. 4), as well as reduction in the feed rate from maximum (No. 3) to mean value (No. 5) compensates for the reduction in pressure from maximum to minimum and at the same time the mass flow from maximum to medium value (No. 3), as well as only the change of mass abrasive flow from maximum to minimum (No. 2). Similarly, reducing the feed rate from maximum to minimum compensates for the change in mass flow and pressure maxima (No. 5) to their minimums (No. 1). The pump pressure parameter has the least effect on the jet deflection;
- −
- The surface quality of the upper zone of the cutting material is better than the quality of the lower zone.
- −
- The evaluation of experiments presented in this article does not elaborate all related issues of the problems of examining the influence of selected technological parameters in terms of surface quality. It is therefore necessary to continue in this important research, especially in the context of AWJ process optimization for industrial applications. The directions of future research within the topic may comprise, for example, expanding the set of experiments for other sheet thicknesses of Hardox 500 steel or other types of Hardox steel (400, 450, 550, 600, Extreme, HiTuf or other hard-to-machine material). An alternative way is to investigate the dependence of other types of abrasive on the quality parameters of the cut surface. Finally, it could also be enwidening to research the influence of selected technological (mA, p, v,…) and quality parameters (Ra, Rz, Ø,…) at wider intervals of their values.
Author Contributions
Funding
Institutional Review Board Statement
Informed Consent Statement
Acknowledgments
Conflicts of Interest
References
- Liu, X.; Liang, Z.; Wen, G.; Yuan, X. Waterjet machining and research developments: A review. Int. J. Adv. Manuf. Technol. 2019, 102, 1257–1335. [Google Scholar] [CrossRef]
- Hashish, M. Modeling study of metal cutting with abrasive waterjets. J. Eng. Mater. Technol. Trans. ASME 1984, 106, 88–100. [Google Scholar] [CrossRef]
- Zeng, J.; Kim, T.J. Development of an abrasive waterjet kerf cutting model for brittle materials. In Proceedings of Jet Cutting Technology; Lichtarowicz, A., Ed.; Kluwer Academic Publishers: Dordrecht, The Netherlands, 1992; pp. 483–501. [Google Scholar]
- Kovacevic, R.; Yong, Z. Modelling of 3D abrasive waterjet machining, part 1—Theoretical basis. In Jetting Technology; Gee, C., Ed.; Mech. Eng. Pub. Ltd.: Bury St Edmunds, UK; London, UK, 1996; pp. 73–82. [Google Scholar]
- Yong, Z.; Kovacevic, R. Modelling of 3D abrasive waterjet machining. Part 2—Simulation of machining. In Jetting Technology; Gee, C., Ed.; Mech. Eng. Pub. Ltd.: Bury St Edmunds, UK; London, UK, 1996; pp. 83–89. [Google Scholar]
- Savkovic, B.; Kovac, P.; Dudic, B.; Gregus, M.; Rodic, D.; Strbac, B.; Ducic, N. Comparative characteristics of ductile iron and austempered ductile iron modeled by neural network. Materials 2019, 12, 2864. [Google Scholar] [CrossRef] [PubMed]
- Hlaváč, L.M. JETCUT-Software for prediction of high-energy waterjet efficiency. In Jetting Technology; Louis, H., Ed.; Prof. Eng. Pub. Ltd.: Bury St Edmunds, UK; London, UK, 1998; pp. 25–37. [Google Scholar]
- Chen, F.L.; Wang, J.; Lemma, E.; Siores, E. Striation formation mechanism on the jet cutting surface. J. Mater. Process. Technol. 2003, 141, 213–218. [Google Scholar] [CrossRef]
- Henning, A.; Westkämper, E. Analysis of the cutting front in abrasive waterjet cutting. In Water Jetting; Longman, P., Ed.; BHR Group: Cranfield, UK; Bedford, UK, 2006; pp. 425–434. [Google Scholar]
- Monno, M.; Pellegrini, G.; Ravasio, C. An experimental investigation of the kerf realised by AWJ: The influence of the pressure fluctuations. In Water Jetting; Longman, P., Ed.; BHR Group: Cranfield, UK; Bedford, UK, 2006; pp. 309–321. [Google Scholar]
- Sutowska, M.; Kapłonek, W.; Pimenov, D.Y.; Gupta, M.K.; Mia, M.; Sharma, S. Influence of variable radius of cutting head trajectory on quality of cutting kerf in the abrasive water jet process for soda–lime glass. Materials 2020, 13, 4277. [Google Scholar] [CrossRef] [PubMed]
- Filip, A.C.; Mihail, L.A.; Vasiloni, M.A. An experimental study on the dimensional accuracy of holes made by abrasive waterjet machining of Hardox steels. MATEC Web Conf. 2017, 137, 02003. [Google Scholar] [CrossRef][Green Version]
- Filip, A.C.; Vasiloni, M.A.; Mihail, L.A. Experimental research on the machinability of Hardox steel by abrasive waterjet cutting. MATEC Web Conf. 2017, 94, 03003. [Google Scholar] [CrossRef][Green Version]
- Hashish, M. Waterjet machining process. In Handbook of Manufacturing Engineering and Technology; Nee, A.Y.C., Ed.; Springer: London, UK, 2015. [Google Scholar]
- Monno, M.; Ravasio, C. The effect of cutting head vibrations on the surfaces generated by waterjet cutting. Int. J. Mach. Tools Manuf. 2005, 45, 355–363. [Google Scholar] [CrossRef]
- Servatka, M. Modelling, Simulation and Optimization of the Technological Parameters in Binding on the Demanded Quality of Products in Manufacturing Technologies with Water Jet. Ph.D. Thesis, Technical University of Košice, FMT Prešov, Slovakia, 2009. (In Slovak). [Google Scholar]
- VDI 2906-5:1994; Quality of Cut Faces of (Sheet) Metal Parts after Cutting, Blanking, Trimming or Piercing—Fine Blanking. Verlag des Vereins Deutscher Ingenieure: Düsseldorf, Germany, 1994.
- Mankova, I. Progressive Technologies; VIENALA: Kosice, Slovakia, 2000; pp. 63–90. ISBN 80-7099-430-4. (In Slovak) [Google Scholar]
- Mascenik, J. Experimental determination of cutting speed influence on cutting surface character in material laser cutting. MM Sci. J. 2016, 3, 960–963. [Google Scholar] [CrossRef][Green Version]
- Mascenik, J.; Gaspar, S. Experimental assessment of roughness changes in the cutting surface and microhardness changes of the material S 355 J2 G3 after being cut by non-conventional technologies. Adv. Mater. Res. 2011, 314–316, 1944–1947. [Google Scholar] [CrossRef]
- Wang, S.; Zhang, S.; Wu, Y.; Yang, F. Exploring kerf cut by abrasive waterjet. Int. J. Adv. Manuf. Technol. 2017, 93, 2013–2020. [Google Scholar] [CrossRef]
- Štefek, A.; Hlaváč, L.M.; Tyč, M.; Barták, P.; Kozelský, J. Remarks to Abrasive Waterjet (AWJ) Forces Measurements. In Advances in Water Jetting. Water Jet 2019; Lecture Notes in Mechanical Engineering; Klichová, D., Sitek, L., Hloch, S., Valentinčič, J., Eds.; Springer: Cham, Switzerland, 2021. [Google Scholar] [CrossRef]
- Deam, R.T.; Lemma, E.; Ahmed, D.H. Modelling of the abrasive water jet cutting process. Wear 2004, 257, 877–891. [Google Scholar] [CrossRef]
- Valíček, J.; Harničárová, M.; Hlavatý, I.; Grznárik, R.; Kušnerová, M.; Hutyrová, Z.; Panda, A. Anew approach for the determination of technological parameters for hydroabrasive cutting of materials. Mater. Werkst. 2016, 47, 462–471. [Google Scholar] [CrossRef]
- Krenicky, T. Non-contact study of surfaces created using the AWJ technology. Manuf. Technol. 2015, 15, 61–64. [Google Scholar] [CrossRef]
- Krenicky, T.; Servatka, M.; Gaspar, S.; Mascenik, J. Abrasive Water Jet Cutting of Hardox Steels—Quality Investigation. Processes 2020, 8, 1652. [Google Scholar] [CrossRef]
- Nair, A.; Kumanan, S. Multi-performance optimization of abrasive water jet machining of Inconel 617 using WPCA. Mater. Manuf. Process. 2017, 32, 693–699. [Google Scholar] [CrossRef]
- Hlaváč, L.M.; Hlaváčová, I.M.; Geryk, V.; Plančár, Š. Investigation of the taper of kerfs cut in steels by AWJ. Int. J. Adv. Manuf. Technol. 2015, 77, 1811–1818. [Google Scholar] [CrossRef]
- Hlaváč, L.M.; Hlaváčová, I.M.; Arleo, F.; Viganò, F.; Annoni, M.; Geryk, V. Shape distortion reduction method for abrasive water jet (AWJ) cutting. Precis. Eng. 2018, 53, 194–202. [Google Scholar] [CrossRef]
- Olejárová, Š.; Ružbarský, J.; Krenický, T. Introduction into the issue of water jet machining. In Vibrations in the Production System. SpringerBriefs in Applied Sciences and Technology; Springer: Cham, Swizerland, 2019; pp. 1–10. ISBN 978-3-030-01736-1. [Google Scholar] [CrossRef]
- Chen, M.; Zhang, S.; Zeng, J.; Chen, B. Correcting shape error located in cut-in/cut-out region in abrasive water jet cutting proces. Int. J. Adv. Manuf. Technol. 2018, 102, 1165–1178. [Google Scholar] [CrossRef]
- Pahuja, R.; Ramulu, M.; Hashish, M. Surface quality and kerf width prediction in abrasive water jet machining of metal-composite stacks. Compos. Part B Eng. 2019, 175, 107134. [Google Scholar] [CrossRef]

















| Sample Identification | Technological Parameters | Qualitative Parameters | ||||||||||
|---|---|---|---|---|---|---|---|---|---|---|---|---|
| Sample No. | Sample Cut No. | mA [g/min] | p [MPa] | v [mm/min] | Repeated Measurements for Evaluation Ø [°] | Ø [°] | Ra | Rz | ||||
| Ø1 | Ø2 | Ø3 | Ø4 | Ø5 | ||||||||
| I | 1 | 170 | 300 | 10 | 17.4 | 18.1 | 17.5 | 18.0 | 17.5 | 17.7 | 3.65 | 20.84 |
| 2 | 170 | 300 | 15 | 20.8 | 28.0 | 25.2 | 25.1 | 24.2 | 24.7 | 4.09 | 21.90 | |
| 3 | 170 | 300 | 20 | 34.9 | 26.8 | 28.5 | 28.0 | 32.1 | 30.1 | 6.95 | 24.96 | |
| II | 4 | 170 | 340 | 10 | 15.0 | 14.2 | 15.8 | 14.2 | 15.9 | 15.0 | 2.90 | 19.79 |
| 5 | 170 | 340 | 15 | 17.5 | 19.0 | 18.2 | 17.5 | 18.6 | 18.2 | 3.92 | 21.00 | |
| 6 | 170 | 340 | 20 | 22.8 | 25.4 | 30.0 | 29.5 | 23.0 | 26.1 | 5.87 | 23.64 | |
| III | 7 | 170 | 380 | 10 | 14.0 | 14.8 | 14.6 | 14.8 | 14.4 | 14.5 | 2.83 | 19.11 |
| 8 | 170 | 380 | 15 | 17.4 | 16.8 | 17.0 | 17.0 | 17.3 | 17.1 | 3.66 | 20.81 | |
| 9 | 170 | 380 | 20 | 22.1 | 19.7 | 21.7 | 19.4 | 22.9 | 21.2 | 4.10 | 22.90 | |
| IV | 10 | 220 | 300 | 10 | 14.1 | 14.2 | 14.5 | 14.3 | 14.3 | 14.3 | 2.75 | 18.67 |
| 11 | 220 | 300 | 15 | 16.5 | 17.2 | 17.1 | 16.8 | 17.1 | 16.9 | 3.46 | 20.56 | |
| 12 | 220 | 300 | 20 | 21.7 | 19.8 | 20.3 | 19.6 | 21.3 | 20.5 | 4.07 | 21.10 | |
| V | 13 | 220 | 340 | 10 | 14.3 | 13.6 | 13.9 | 13.7 | 13.8 | 13.9 | 2.71 | 17.14 |
| 14 | 220 | 340 | 15 | 15.4 | 16.0 | 16.1 | 15.8 | 15.5 | 15.8 | 3.22 | 20.60 | |
| 15 | 220 | 340 | 20 | 19.0 | 21.1 | 19.3 | 18.8 | 21.0 | 19.8 | 3.65 | 20.93 | |
| VI | 16 | 220 | 380 | 10 | 14.0 | 13.4 | 13.1 | 14.1 | 13.0 | 13.5 | 2.60 | 16.83 |
| 17 | 220 | 380 | 15 | 15.1 | 15.7 | 15.3 | 15.4 | 15.4 | 15.4 | 3.02 | 19.66 | |
| 18 | 220 | 380 | 20 | 18.1 | 19.6 | 18.6 | 18.8 | 18.7 | 18.8 | 3.46 | 20.69 | |
| VII | 19 | 270 | 300 | 10 | 13.3 | 13.1 | 12.5 | 12.2 | 13.7 | 13.0 | 2.44 | 16.52 |
| 20 | 270 | 300 | 15 | 15.0 | 13.5 | 13.8 | 14.7 | 13.6 | 14.1 | 3.01 | 19.30 | |
| 21 | 270 | 300 | 20 | 17.6 | 18.2 | 19.1 | 19.0 | 17.8 | 18.3 | 3.33 | 20.10 | |
| VIII | 22 | 270 | 340 | 10 | 11.7 | 10.7 | 12.1 | 12.2 | 11.0 | 11.5 | 2.28 | 16.25 |
| 23 | 270 | 340 | 15 | 12.9 | 12.5 | 12.4 | 12.9 | 12.8 | 12.7 | 2.93 | 18.29 | |
| 24 | 270 | 340 | 20 | 17.1 | 16.7 | 16.5 | 16.8 | 16.8 | 16.8 | 3.21 | 19.77 | |
| IX | 25 | 270 | 380 | 10 | 10.2 | 9.4 | 9.3 | 9.1 | 9.8 | 9.6 | 2.27 | 16.02 |
| 26 | 270 | 380 | 15 | 10.1 | 10.4 | 11.1 | 10.4 | 10.5 | 10.5 | 2.67 | 16.77 | |
| 27 | 270 | 380 | 20 | 15.2 | 14.7 | 14.1 | 13.9 | 14.9 | 14.6 | 2.96 | 18.40 | |
| Average values of Ø, Ra and Rz, respectively | 16.8 | 3.41 | 19.72 | |||||||||
| Sample Identification | Technological Parameters | Qualitative Parameters | ||||
|---|---|---|---|---|---|---|
| Sample No. | Sample Cut No. | mA [g/min] | p [MPa] | v [mm/min] | Ra4 | Rz4 |
| I | 1 | 170 | 300 | 10 | 3.03 | 18.87 |
| 2 | 170 | 300 | 15 | 3.10 | 19.37 | |
| 3 | 170 | 300 | 20 | 3.36 | 21.69 | |
| II | 4 | 170 | 340 | 10 | 2.81 | 18.44 |
| 5 | 170 | 340 | 15 | 2.93 | 19.17 | |
| 6 | 170 | 340 | 20 | 3.10 | 21.39 | |
| III | 7 | 170 | 380 | 10 | 2.47 | 18.01 |
| 8 | 170 | 380 | 15 | 2.83 | 19.01 | |
| 9 | 170 | 380 | 20 | 3.02 | 19.99 | |
| IV | 10 | 220 | 300 | 10 | 2.36 | 17.86 |
| 11 | 220 | 300 | 15 | 2.56 | 18.72 | |
| 12 | 220 | 300 | 20 | 2.99 | 19.95 | |
| V | 13 | 220 | 340 | 10 | 2.26 | 17.23 |
| 14 | 220 | 340 | 15 | 2.49 | 18.61 | |
| 15 | 220 | 340 | 20 | 2.78 | 19.67 | |
| VI | 16 | 220 | 380 | 10 | 2.16 | 16.90 |
| 17 | 220 | 380 | 15 | 2.44 | 18.09 | |
| 18 | 220 | 380 | 20 | 2.71 | 19.53 | |
| VII | 19 | 270 | 300 | 10 | 2.11 | 16.81 |
| 20 | 270 | 300 | 15 | 2.29 | 17.92 | |
| 21 | 270 | 300 | 20 | 2.68 | 18.96 | |
| VIII | 22 | 270 | 340 | 10 | 2.07 | 16.64 |
| 23 | 270 | 340 | 15 | 2.24 | 17.54 | |
| 24 | 270 | 340 | 20 | 2.53 | 18.92 | |
| IX | 25 | 270 | 380 | 10 | 2.02 | 16.19 |
| 26 | 270 | 380 | 15 | 2.22 | 17.23 | |
| 27 | 270 | 380 | 20 | 2.50 | 18.78 | |
| Average values of Ra4 and Rz4 | 3.15 | 20.95 | ||||
| Combination of Parameters | Technological Parameter | Value | Ra | Cutting Surface Identification | Rz | Cutting Identification |
|---|---|---|---|---|---|---|
| 1 | mA | 220 g/min | 3.46 | IV/11 | 19.79 | II/4 |
| p | 300 MPa | |||||
| v | 15 mm/min | |||||
| 2 | mA | 220 g/min | 3.46 | VI/18 | 19.66 | VI/17 |
| p | 380 MPa | |||||
| v | 20 mm/min | |||||
| 3 | mA | 270 g/min | 3.33 | VII/21 | 19.77 | VIII/24 |
| p | 300 MPa | |||||
| v | 20 mm/min |
| Combination of Parameters | Technological Parameter | Value | Ra4 | Cutting Surface Identification | Technological Parameter | Value | Rz4 | Cutting Identification |
|---|---|---|---|---|---|---|---|---|
| 1 | mA | 170 g/min | 3.10 | I/2 | mA | 170 g/min | 19.99 | III/9 |
| p | 300 MPa | p | 380 MPa | |||||
| v | 15 mm/min | v | 20 mm/min | |||||
| 2 | mA | 170 g/min | 3.10 | II/6 | mA | 170 g/min | 21.39 | II/6 |
| p | 340 MPa | p | 340 MPa | |||||
| v | 20 mm/min | v | 20 mm/min | |||||
| 3 | mA | 170 g/min | 3.03 | I/1 | mA | 220 g/min | 19.95 | IV/12 |
| p | 300 MPa | p | 300 MPa | |||||
| v | 10 mm/min | v | 20 mm/min |
| Combination of Parameters | Min | Medium | Max | Technological Parameter Value | Jet Deflection | Cutting Identification |
|---|---|---|---|---|---|---|
| 1 | mAmin | 170 g/min | 17.7° | I/1 | ||
| pmin | 300 MPa | |||||
| vmin | 10 mm/min | |||||
| 2 | mAmin | 170 g/min | 17.1° | III/8 | ||
| pmax | 380 MPa | |||||
| vmed | 15 mm/min | |||||
| 3 | mAmed | 220 g/min | 16.9° | IV/11 | ||
| pmin | 300 MPa | |||||
| vmed | 15 mm/min | |||||
| 4 | mAmed | 220 g/min | 15.8° | V/14 | ||
| pmed | 340 MPa | |||||
| vmed | 15 mm/min | |||||
| 5 | mAmax | 270 g/min | 16.8° | VIII/24 | ||
| pmax | 380 MPa | |||||
| vmax | 20 mm/min |
| Technological Parameter | Qualitative Parameter | ||||||
|---|---|---|---|---|---|---|---|
| mA | p | v | Ra | Rz | Ø | Quality (Surface Roughness), Application | |
| for minimum measured values | 270 g/min | 380 MPa | 10 mm/min | 2.27 | 16.02 | 9.6° | low roughness, without/easy further processing |
| for maximum measured values | 170 g/min | 300 MPa | 20 mm/min | 6.95 | 24.96 | 30.1° | very high roughness, material cutting |
| Technological Parameter | Significance of the Technological Parameter | Technological Conditions | ||
|---|---|---|---|---|
| mA [g/min] | p [MPa] | v [mm/min] | ||
| mA | High | 170; 220; 270 | 300; 340; 380 | 10; 15; 20 |
| p | Low | |||
| v | High | |||
Publisher’s Note: MDPI stays neutral with regard to jurisdictional claims in published maps and institutional affiliations. |
© 2022 by the authors. Licensee MDPI, Basel, Switzerland. This article is an open access article distributed under the terms and conditions of the Creative Commons Attribution (CC BY) license (https://creativecommons.org/licenses/by/4.0/).
Share and Cite
Krenicky, T.; Olejarova, S.; Servatka, M. Assessment of the Influence of Selected Technological Parameters on the Morphology Parameters of the Cutting Surfaces of the Hardox 500 Material Cut by Abrasive Water Jet Technology. Materials 2022, 15, 1381. https://doi.org/10.3390/ma15041381
Krenicky T, Olejarova S, Servatka M. Assessment of the Influence of Selected Technological Parameters on the Morphology Parameters of the Cutting Surfaces of the Hardox 500 Material Cut by Abrasive Water Jet Technology. Materials. 2022; 15(4):1381. https://doi.org/10.3390/ma15041381
Chicago/Turabian StyleKrenicky, Tibor, Stefania Olejarova, and Milos Servatka. 2022. "Assessment of the Influence of Selected Technological Parameters on the Morphology Parameters of the Cutting Surfaces of the Hardox 500 Material Cut by Abrasive Water Jet Technology" Materials 15, no. 4: 1381. https://doi.org/10.3390/ma15041381
APA StyleKrenicky, T., Olejarova, S., & Servatka, M. (2022). Assessment of the Influence of Selected Technological Parameters on the Morphology Parameters of the Cutting Surfaces of the Hardox 500 Material Cut by Abrasive Water Jet Technology. Materials, 15(4), 1381. https://doi.org/10.3390/ma15041381

