Mono- and Multi-Objective CFD Optimization of Graded Foam-Filled Channels
Abstract
:1. Introduction
- To propose a comprehensive optimization approach to the design of graded foams with a continuous distribution of the design variables (porosity and PPI) in order to enhance the thermal performance of heat sinks; such a framework would enable the exploration of new additive manufacturing technologies that are capable of building up arbitrary geometries with acceptable cost;
- To compare different multi-objective approaches in order to find the best tradeoff solutions between heat transfer enhancement and pressure drop reduction.
2. Mathematical Modeling
2.1. Governing Equations
2.2. Closure Coefficients, Boundary Conditions and Numerical Modeling
2.3. Optimization Procedure and Data Reduction
- The population size (number of solutions investigated by each iteration/generation) is assumed to be equal to 50 in both mono- and multi-objective optimizations;
- The crossover fraction is assumed to be equal to 0.60 in the mono-objective optimizations, and equal to 0.45 in the multi-objective ones;
- The mutation probability is assumed to be equal to 0.20 in both mono- and multi-objective optimizations;
- The maximum number of generations is assumed to be equal to 50 in both mono- and multi-objective optimizations, with a 0.1 tolerance criterion, i.e., the stop criterion depicted in Figure 3.
3. Results and Comments
3.1. Mono-Objective Optimization
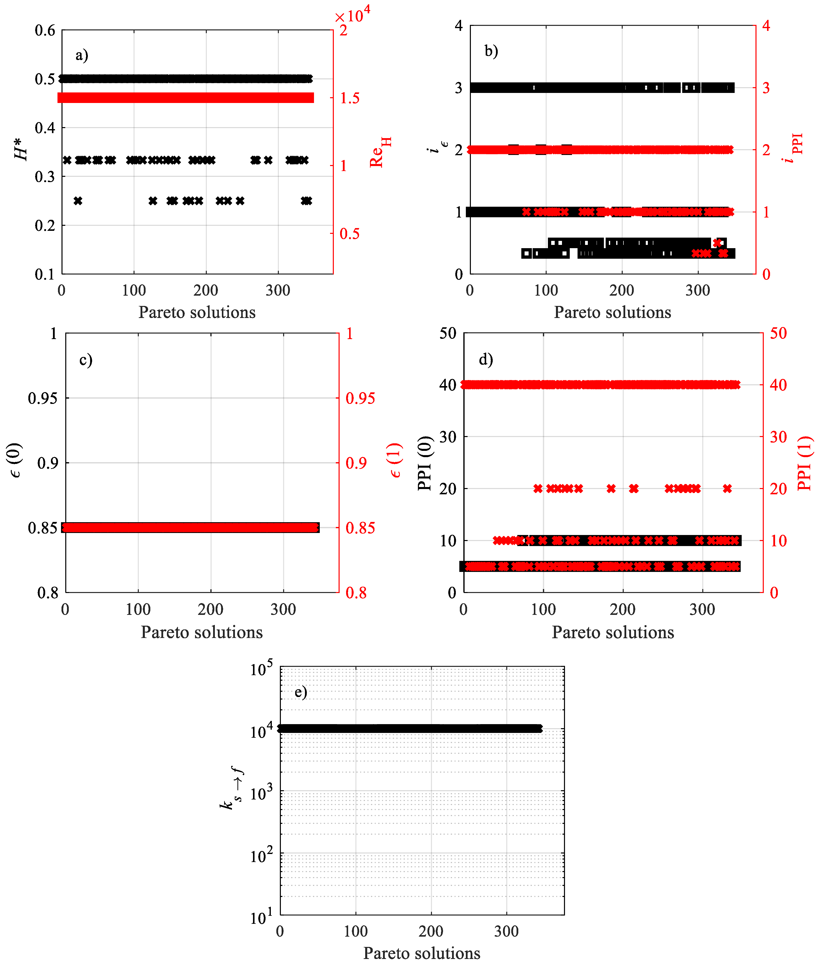
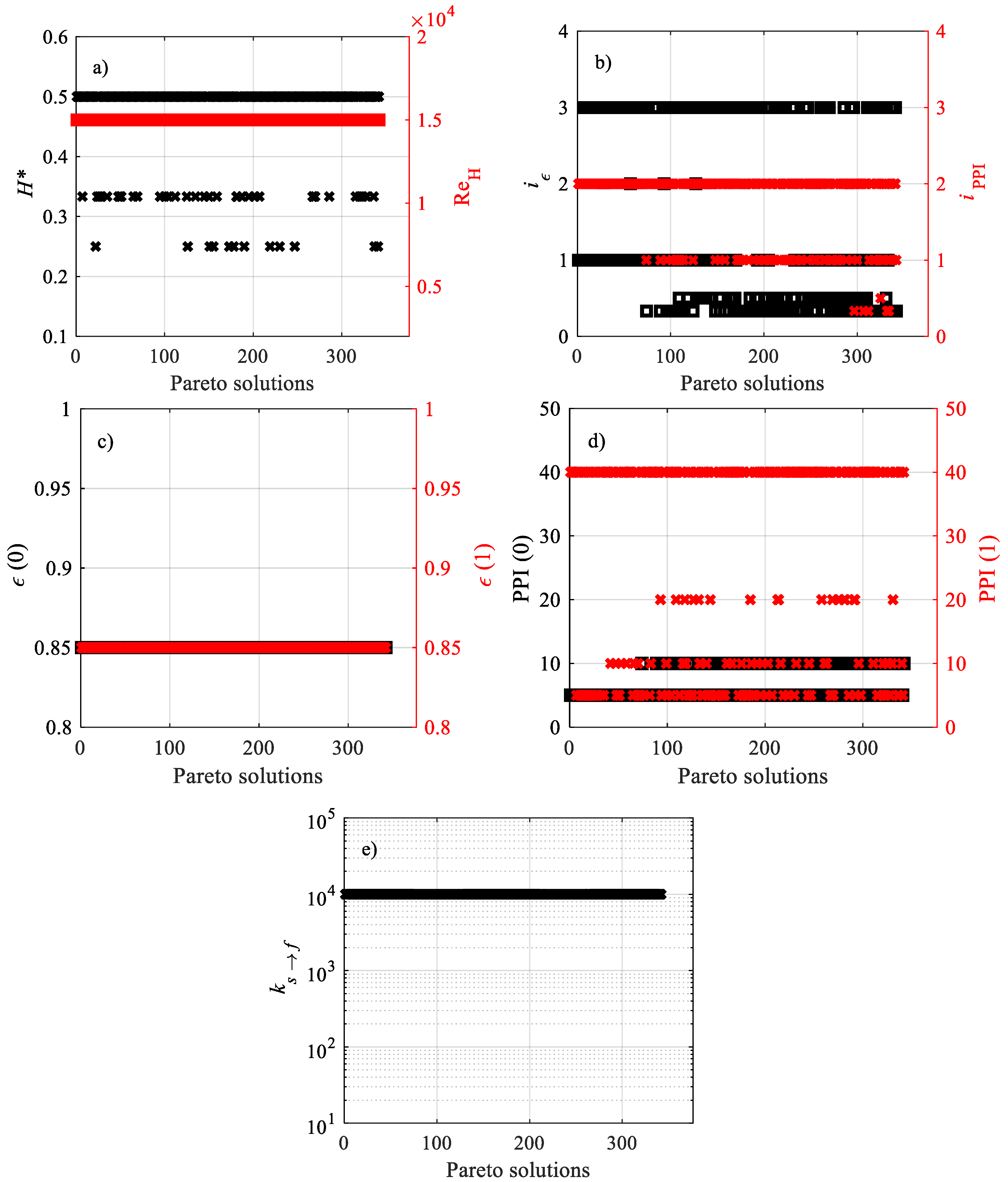
3.2. Multi-Objective Optimization
4. Conclusions
- A mono-objective approach for the maximization of the Performance Evaluation Criterion (PEC) compared to a uniform foam with the same averaged porosity and PPI;
- Three Pareto two-objective approaches addressing heat transfer coefficient vs. pressure drop (F1), Nusselt number vs. friction factor (F2), and dimensionless temperature of the solid phase at the heated wall vs. dimensionless pressure drop (F3).
- By means of the mono-objective function, a PEC = 1.51 maximum value is achieved, which means a heat transfer efficiency of the optimal simulated graded foams that is 51% higher than that of a uniform foam with the same averaged characteristics. The above reported PEC is higher than the 1.42 achieved in [20], where just a parametric analysis was performed;
- The Pareto front for the multi-objective function F1(x) spans in the 413 W/m2 K–667 W/m2 K range of the averaged heat transfer coefficient and in the 42 Pa–420 Pa range of the pressure drop. Utopia optimum values are = 502 W/m2 K and Δp = 80 Pa;
- For F2(x), the average Nusselt number spans in the 2200–3000 range and the friction factor spans in the 35–80 range. Utopia optimum values are = 2790 and f = 41.9;
- For F3(x), the dimensionless volume-averaged temperature of the solid phase at the heated wall range is 0.010–0.029 and the dimensionless pressure drop spans between 74 and 186. Utopia optimum values are = 0.011 and Δp* = 91.
Author Contributions
Funding
Data Availability Statement
Conflicts of Interest
Nomenclature
| Cf | inertial factor |
| cp | specific heat capacity (J/kg K) |
| d | diameter (m) |
| ds | strut diameter (m) |
| f | friction factor |
| Fj(x) | objective function |
| G | geometric function (Table 1) |
| h | heat transfer coefficient (W/m2 K) |
| hv | volumetric heat transfer coefficient (W/m3 K) |
| H | foam height (m) |
| i | index (Equations (3) and (4)) |
| k | thermal conductivity (W/m K) |
| K | permeability (m2) |
| L | foam length (m) |
| n | normal vector |
| NuH | Nusselt number |
| Nuv | volumetric Nusselt number |
| p | pressure (Pa) |
| q | heat flux (W/m2) |
| Rec | cell-size Reynolds number |
| ReH | Reynolds number |
| T | temperature (K) |
| u | velocity vector (m/s) |
| u, v | velocity components (m/s) |
| W | foam width (m) |
| x, y, z | Cartesian coordinates (m) |
| Greek letters | |
| ε | porosity |
| ρ | density (kg/m3) |
| μ | dynamic viscosity (kg/m s) |
| Subscripts | |
| c | cell |
| eff | effective |
| f | fluid |
| i | inlet |
| ref | reference |
| s | solid |
| unif | uniform |
| Superscripts | |
| * | dimensionless |
| f | fluid |
| s | solid |
| Other symbols | |
| <> | porous media volume average |
| ___ | x and/or y directions average |
| Acronyms | |
| GA | Genetic Algorithm |
| PEC | Performance Evaluation Criterion |
| PPI | Pores Per Inch |
References
- Mahjoob, S.; Vafai, K. A synthesis of fluid and thermal transport models for metal foam heat exchangers. Int. J. Heat Mass Tran. 2008, 51, 3701–3711. [Google Scholar] [CrossRef]
- Avila-Marin, A.L. Volumetric receivers in solar thermal power plants with central receiver system technology: A review. Sol. Energy 2011, 85, 891–910. [Google Scholar] [CrossRef]
- Chen, J.; Yang, D.; Jiang, J.; Ma, A.; Song, D. Research progress of phase change materials (PCMs) embedded with metal foam (a review). Proc. Mat. Sci. 2014, 4, 389–394. [Google Scholar] [CrossRef] [Green Version]
- Lotfizadeh, H.; Mehrizi, A.A.; Motlagh, M.S.; Rezazadeh, S. Thermal performance of an innovative heat sink using metallic foams and aluminum nanoparticles—Experimental study. Int. Comm. Heat Mass Tran. 2015, 66, 226–232. [Google Scholar] [CrossRef]
- Ortona, A.; D’Angelo, C.; Gianella, S.; Gaia, D. Cellular ceramics produced by rapid prototyping and replication. Mater. Lett. 2012, 80, 95–98. [Google Scholar] [CrossRef]
- Ge, C.; Priyadarshini, L.; Cormier, D.; Pan, L.; Tuber, J. A preliminary study of cushion properties of a 3D printed thermoplastic polyurethane Kelvin foam. Packag. Technol. Sci. 2018, 31, 361–368. [Google Scholar] [CrossRef]
- Xu, Z.G.; Zhao, C.Y. Experimental study on pool boiling heat transfer in gradient metal foams. Int. J. Heat Mass Tran. 2015, 85, 824–829. [Google Scholar] [CrossRef]
- Yang, X.; Wang, W.; Yang, C.; Jin, L.; Lu, T.J. Solidification of fluid saturated in open-cell metallic foams with graded morphologies. Int. J. Heat Mass Tran. 2016, 98, 60–69. [Google Scholar] [CrossRef]
- Udupa, G.; Rao, S.S.; Gangadharan, K.V. Functionally graded composite materials: An overview. Proc. Mat. Sci. 2014, 5, 1291–1299. [Google Scholar] [CrossRef]
- Xu, F.; Zhang, X.; Zhang, H. A review on functionally graded structures and materials for energy absorption. Eng. Struct. 2018, 171, 309–325. [Google Scholar] [CrossRef]
- Stanev, L.; Kolev, M.; Drenchev, B.; Drenchev, L. Open-cell metallic porous materials obtained through space holders-Part I: Production methods. A review. J. Manuf. Sci. E-T ASME 2014, 139, 050801. [Google Scholar] [CrossRef]
- Yang, J.; Yang, L.; Xu, C.; Du, X. Numerical analysis on thermal behavior of solid–liquid phase change within copper foam with varying porosity. Int. J. Heat Mass Tran. 2015, 84, 1008–1018. [Google Scholar] [CrossRef]
- Chen, X.; Xia, X.L.; Meng, X.L.; Dong, X.H. Thermal performance analysis on a volumetric solar receiver with double-layer ceramic foam. Energy Convers. Manag. 2015, 97, 282–289. [Google Scholar] [CrossRef]
- Wang, P.; Vafai, K. Modeling and analysis of an efficient porous media for a solar porous absorber with a variable pore structure. J. Sol. Energ.-T ASME 2017, 139, 0510051. [Google Scholar] [CrossRef]
- Zaragoza, G.; Goodall, R. Metal foams with graded pore size for heat transfer applications. Adv. Eng. Mater. 2013, 15, 123–128. [Google Scholar] [CrossRef]
- Wang, B.; Hong, Y.; Hou, X.; Xu, Z.; Wang, P.; Fang, X.; Ruan, X. Numerical configuration design and investigation of heat transfer enhancement in pipes filled with gradient porous materials. Energy Convers. Manag. 2015, 105, 206–215. [Google Scholar] [CrossRef]
- Xu, Z.G.; Gong, Q. Numerical investigation on forced convection of tubes partially filled with composite metal foams under local thermal non-equilibrium condition. Int. J. Therm. Sci. 2018, 133, 1–12. [Google Scholar] [CrossRef]
- Bai, X.; Kuwahara, F.; Mobedi, M.; Nakayama, A. Forced convective heat transfer in a channel filled with a functionally graded metal foam matrix. J. Heat Trans.-T ASME 2018, 140, 111702. [Google Scholar] [CrossRef]
- Chen, X.; Xia, X.; Sun, C.; Wang, F.; Liu, R. Performance evaluation of a double-pipe heat exchanger with uniform and graded metal foams. Heat Mass Transf. 2020, 56, 291–302. [Google Scholar] [CrossRef]
- Iasiello, M.; Bianco, N.; Chiu, W.K.S.; Naso, V. The effects of variable porosity and cell size on the thermal performance of functionally-graded foams. Int. J. Therm. Sci. 2021, 160, 106696. [Google Scholar] [CrossRef]
- Safikhani, H.; Eiamsa-ard, S. Pareto based multi-objective optimization of turbulent heat transfer flow in helically corrugated tubes. Appl. Therm. Eng. 2016, 95, 275–280. [Google Scholar] [CrossRef]
- Chamoli, S.; Yu, P.; Yu, S. Multi-objective shape optimization of a heat exchanger tube fitted with compound inserts. Appl. Therm. Eng. 2017, 117, 708–724. [Google Scholar] [CrossRef]
- Liu, C.; Bu, W.; Xu, D. Multi-objective shape optimization of a plate-fin heat exchanger using CFD and multi-objective genetic algorithm. Int. J. Heat Mass Tran. 2017, 111, 65–82. [Google Scholar] [CrossRef]
- Du, S.; He, Y.L.; Yang, W.W.; Liu, Z.B. Optimization method for the porous volumetric solar receiver coupling genetic algorithm and heat transfer analysis. Int. J. Heat Mass Tran. 2018, 122, 383–390. [Google Scholar] [CrossRef]
- Du, S.; Ren, Q.; He, Y.L. Optical and radiative properties analysis and optimization study of the gradually-varied volumetric solar receiver. Appl. Energy 2017, 207, 27–35. [Google Scholar] [CrossRef]
- Zheng, Z.J.; Li, M.J.; He, Y.L. Optimization of porous insert configurations for heat transfer enhancement in tubes based on genetic algorithm and CFD. Int. J. Heat Mass Tran. 2015, 87, 376–379. [Google Scholar] [CrossRef]
- Siavashi, M.; Bahrami, H.R.T.; Aminian, E. Optimization of heat transfer enhancement and pumping power of a heat exchanger tube using nanofluid with gradient and multi-layered porous foams. Appl. Therm. Eng. 2018, 138, 465–474. [Google Scholar] [CrossRef]
- Bianco, N.; Iasiello, M.; Mauro, G.M.; Pagano, L. Multi-objective optimization of finned metal foam heat sinks: Tradeoff between heat transfer and pressure drop. Appl. Therm. Eng. 2021, 182, 116058. [Google Scholar]
- Feng, S.S.; Kuang, J.J.; Wen, T.; Lu, T.J.; Ichimiya, K. An experimental and numerical study of finned metal foam heat sinks under impinging air jet cooling. Int. J. Heat Mass Tran. 2014, 77, 1063–1074. [Google Scholar] [CrossRef]
- Shi, C.; Wang, M.; Yang, J.; Liu, W.; Liu, Z. Performance analysis and multi-objective optimization for tubes partially filled with gradient porous media. Appl. Therm. Eng. 2021, 188, 116530. [Google Scholar] [CrossRef]
- Kan, K.; Chen, H.; Zheng, Y.; Zhou, D.; Binama, M.; Dai, J. Transient characteristics during power-off process in a shaft extension tubular pump by using a suitable numerical model. Renew. Energy 2021, 164, 109–121. [Google Scholar] [CrossRef]
- Kan, K.; Yang, Z.; Lyu, P.; Zheng, Y.; Shen, L. Numerical study of turbulent flow past a rotating axial-flow pump based on a level-set immersed boundary method. Renew. Energy 2021, 168, 960–971. [Google Scholar] [CrossRef]
- Whitaker, S. Advances in theory of fluid motion in porous media. Ind. Eng. Chem. 1969, 61, 14–28. [Google Scholar] [CrossRef]
- Hill, R. Elastic properties of reinforced solids: Some theoretical principles. J. Mech. Physics Solids 1963, 11, 357–372. [Google Scholar] [CrossRef]
- Vafai, K.; Tien, C.L. Boundary and inertia effects on flow and heat transfer in porous media. Int. J. Heat Mass Tran. 1981, 24, 195–203. [Google Scholar] [CrossRef]
- Vafai, K. Convective flow and heat transfer in variable-porosity media. J. Fluid. Mech. 1984, 147, 233–259. [Google Scholar] [CrossRef]
- Amiri, A.; Vafai, K. Analysis of dispersion effect and non-thermal equilibrium, non-Darcian, variable porosity incompressible flow through porous media. Int. J. Heat Mass Tran. 1994, 37, 939–954. [Google Scholar] [CrossRef]
- Kurtbas, I.; Celik, N. Experimental investigation of forced and mixed convection heat transfer in a foam-filled horizontal rectangular channel. Int. J. Heat Mass Tran. 2009, 52, 1313–1325. [Google Scholar] [CrossRef]
- Hutter, C.; Büchi, D.; Zuber, V.; von Rohr, P.R. Heat transfer in metal foams and designed porous media. Chem. Eng. Sci. 2011, 66, 3806–3814. [Google Scholar] [CrossRef]
- Celik, H.; Mobedi, M.; Manca, O.; Ozkol, U. A pore scale analysis for determination of interfacial convective heat transfer coefficient for thin periodic porous media under mixed convection. Int. J. Num. Meth. Heat Fluid Flow. 2017, 27, 2775–2798. [Google Scholar] [CrossRef]
- Ataei-Dadavi, I.; Chakkingal, M.; Kenjeres, S.; Kleijn, C.R.; Tummers, M.J. Experiments on mixed convection in a vented differentially side-heated cavity filled with a coarse porous medium. Int. J. Heat Mass Tran. 2020, 149, 119238. [Google Scholar] [CrossRef]
- Seguin, D.; Montillet, A.; Comiti, J.; Huet, F. Experimental characterization of flow regimes in various porous media—II: Transition to turbulent regime. Chem. Eng. Sci. 1998, 53, 3897–3909. [Google Scholar] [CrossRef]
- Della Torre, A.; Montenegro, G.; Tabor, G.R.; Wears, M.L. CFD characterization of flow regimes inside open cell foam substrates. Int. J. Heat Fluid Flow 2014, 50, 72–82. [Google Scholar] [CrossRef] [Green Version]
- Wu, Z.; Caliot, C.; Flamant, G.; Wang, Z. Numerical simulation of convective heat transfer between air flow and ceramic foams to optimise volumetric solar air receiver performances. Int. J. Heat Mass Tran. 2011, 54, 1527–1537. [Google Scholar] [CrossRef]
- Della Torre, A.; Montenegro, G.; Onorati, A.; Tabor, G. CFD characterization of pressure drop and heat transfer inside porous substrates. Energy Procedia 2015, 81, 836–845. [Google Scholar] [CrossRef] [Green Version]
- Calmidi, V. Transport Phenomena in High Porosity Fibrous Metal Foams. Ph.D. Thesis, University of Colorado, Boulder, CO, USA, 1998. [Google Scholar]
- Andreozzi, A.; Bianco, N.; Iasiello, M.; Naso, V. Natural convection in a vertical channel with open-cell foams. J. Phys. Conf. Ser. 2020, 1599, 012013. [Google Scholar] [CrossRef]
- Iasiello, M.; Bianco, N.; Chiu, W.K.S.; Naso, V. Thermal conduction in open-cell metal foams: Anisotropy and Representative Volume Element. Int. J. Therm. Sci. 2019, 137, 399–409. [Google Scholar] [CrossRef]
- Iasiello, M.; Cunsolo, S.; Bianco, N.; Chiu, W.K.S.; Naso, V. Developing thermal flow in open-cell foams. Int. J. Therm. Sci. 2017, 111, 129–137. [Google Scholar] [CrossRef]
- Kornev, N.; Samarbakhsh, S. Large eddy simulation with direct resolution of subgrid motion using a grid free vortex particle. Int. J. Heat Fluid Flow 2019, 75, 86–102. [Google Scholar] [CrossRef]
- Alcântara Pereira, L.A.; Oliveira, M.A.; Moraes, P.G.; Bimbato, A.M. Numerical experiments of the flow around a bluff body with and without roughness model near a moving wall. J. Braz. Soc. Mech. Sci. Eng. 2020, 42, 129. [Google Scholar] [CrossRef]
- Dukhan, N.; Chen, K.C. Heat transfer measurements in metal foam subjected to constant heat flux. Exp. Therm. Fluid Sci. 2007, 32, 624–631. [Google Scholar] [CrossRef]
- Webb, R.L.; Eckert, E.R.G. Application of rough surfaces to heat exchanger design. Int. J. Heat Mass Tran. 1972, 15, 1647–1658. [Google Scholar] [CrossRef]
- Kim, S.Y.; Kang, B.H.; Kim, J.H. Forced convection from aluminum foam materials in an asymmetrically heated channel. Int. J. Heat Mass Tran. 2001, 44, 1451–1454. [Google Scholar] [CrossRef]













| Characteristic | Expression | Source |
|---|---|---|
| Permeability, K (m2); Inertial factor, Cf (-) Strut diameter, ds (m) | [46] | |
| Cell size, dc (m) | [47] | |
| Fluid and solid phases effective thermal conductivities, keff,f (W/m K); keff,s (W/m K) | [48] | |
| Volumetric heat transfer coefficient, hv (W/m3 K) | [49] | |
| Fj(x) | H* | ReH | iε | iPPI | ε(0) | ε(1) | PPI(0) | PPI(1) | ks→f | Optimum |
|---|---|---|---|---|---|---|---|---|---|---|
| F1(x) (Equation (12)) | 0.50 | 5000 | 2.00 | 1.00 | 0.85 | 0.85 | 5 | 40 | 104 | = 502 W/m2 K |
| Δp = 80 Pa | ||||||||||
| F2(x) (Equation (13)) | 0.50 | 15,000 | 3.00 | 1.00 | 0.85 | 0.85 | 5 | 10 | 104 | = 2790 |
| f = 42 | ||||||||||
| F3(x) (Equation (14)) | 0.50 | 15,000 | 0.33 | 0.33 | 0.91 | 0.97 | 5 | 5 | 102 | = 0.011 |
| Δp* = 91 | ||||||||||
| PEC (Equation (17)) | 0.33 | 15,000 | 0.33 | 1.00 | 0.85 | 0.97 | 5 | 40 | 103 | PEC = 1.51 |
| [20] | 0.50 | 15,000 | 0.50 | 0.50 | 0.85 | 0.97 | 5 | 40 | 104 | PEC = 1.42 |
| Fj(x) | PEC | p(Pa) | f | Δp* | |||
|---|---|---|---|---|---|---|---|
| F1(x) (Equation (12)) | 1.09 | 502 | 80 | 2243 | 109 | 0.686 | 217 |
| F2(x) (Equation (13)) | 1.01 | 624 | 277 | 2790 | 41.9 | 0.523 | 84 |
| F3(x) (Equation (14)) | 1.31 | 37.9 | 300 | 151 | 45.4 | 0.011 | 91 |
| PEC (Equation (17)) | 1.51 | 136 | 706 | 552 | 71.3 | 0.051 | 214 |
| [20] | 1.42 | 577 | 530 | 2361 | 80.2 | 0.245 | 160 |
Publisher’s Note: MDPI stays neutral with regard to jurisdictional claims in published maps and institutional affiliations. |
© 2022 by the authors. Licensee MDPI, Basel, Switzerland. This article is an open access article distributed under the terms and conditions of the Creative Commons Attribution (CC BY) license (https://creativecommons.org/licenses/by/4.0/).
Share and Cite
Mauro, G.M.; Iasiello, M.; Bianco, N.; Chiu, W.K.S.; Naso, V. Mono- and Multi-Objective CFD Optimization of Graded Foam-Filled Channels. Materials 2022, 15, 968. https://doi.org/10.3390/ma15030968
Mauro GM, Iasiello M, Bianco N, Chiu WKS, Naso V. Mono- and Multi-Objective CFD Optimization of Graded Foam-Filled Channels. Materials. 2022; 15(3):968. https://doi.org/10.3390/ma15030968
Chicago/Turabian StyleMauro, Gerardo Maria, Marcello Iasiello, Nicola Bianco, Wilson K. S. Chiu, and Vincenzo Naso. 2022. "Mono- and Multi-Objective CFD Optimization of Graded Foam-Filled Channels" Materials 15, no. 3: 968. https://doi.org/10.3390/ma15030968
APA StyleMauro, G. M., Iasiello, M., Bianco, N., Chiu, W. K. S., & Naso, V. (2022). Mono- and Multi-Objective CFD Optimization of Graded Foam-Filled Channels. Materials, 15(3), 968. https://doi.org/10.3390/ma15030968
