Structure and Properties of Copper Pyrophosphate by First-Principle Calculations
Abstract
:1. Introduction
2. Experimental and Computational Details
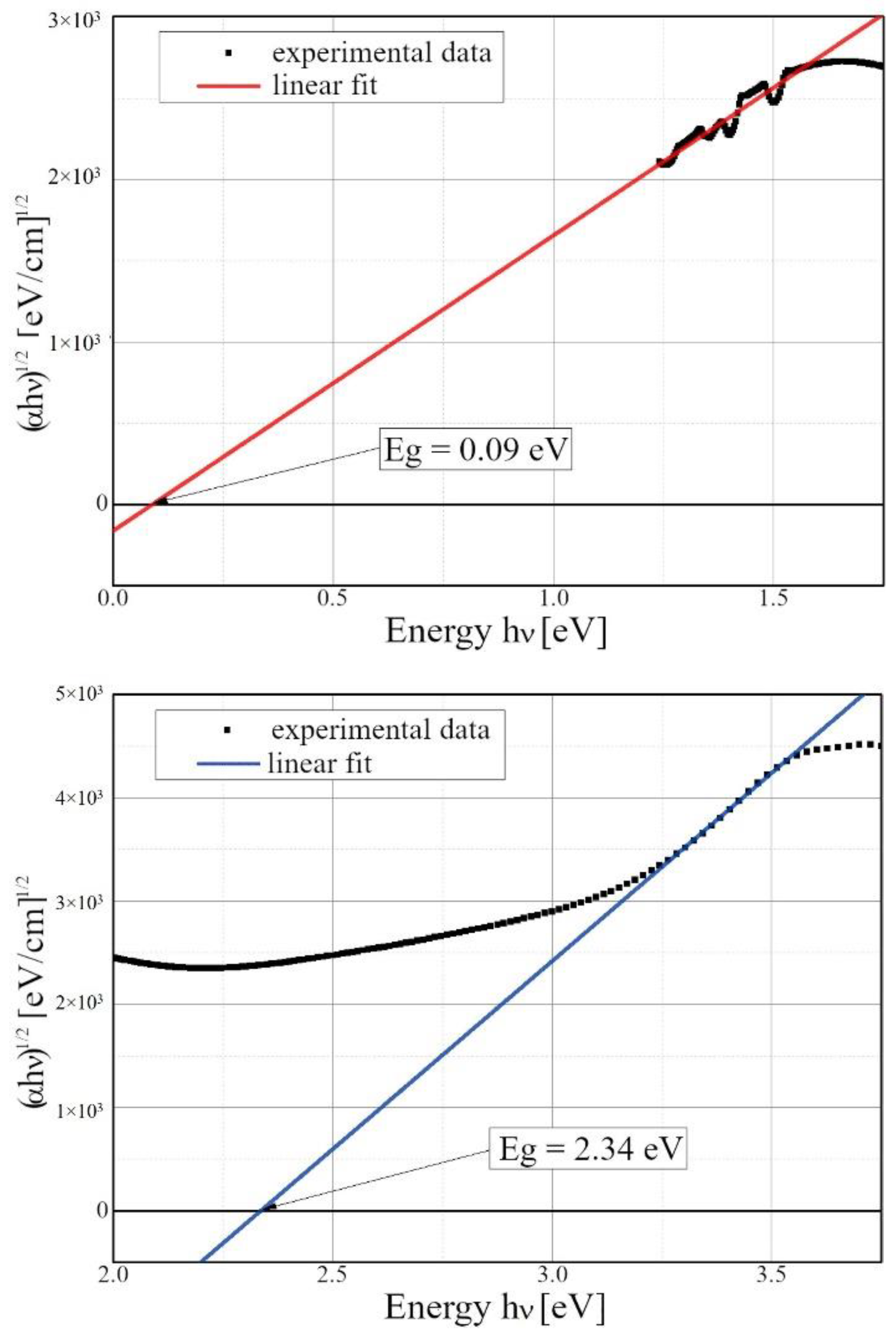
3. Results and Discussion
4. Conclusions
Author Contributions
Funding
Institutional Review Board Statement
Informed Consent Statement
Data Availability Statement
Conflicts of Interest
References
- Frasco, M.F.; Chaniotakis, N. Semiconductor Quantum Dots in Chemical Sensors and Biosensors. Sensors 2009, 9, 7266–7286. [Google Scholar] [CrossRef] [Green Version]
- Ganesan, M.; Nagaraaj, P. Quantum dots as nanosensors for detection of toxics: A literature review. Anal. Methods 2020, 12, 4254–4275. [Google Scholar] [CrossRef]
- Gao, M.; Lesser, C.; Kirstein, S.; Möhwald, H.; Rogach, A.L.; Weller, H. Electroluminescence of different colors from polycation/CdTe nanocrystal self-assembled films. J. Appl. Phys. 2000, 87, 2297–2302. [Google Scholar] [CrossRef]
- Zhou, T.; Tang, M.; Xiang, G.; Xiang, B.; Hark, S.; Martin, M.; Baron, T.; Pan, S.; Park, J.-S.; Liu, Z.; et al. Continuous-wave quantum dot photonic crystal lasers grown on on-axis Si (001). Nat. Commun. 2020, 11, 977. [Google Scholar] [CrossRef] [Green Version]
- Tripathi, S.; Mehrotra, G.K.; Dutta, P.K. Chitosan–silver oxide nanocomposite film: Preparation and antimicrobial activity. Bull. Mater. Sci. 2011, 34, 29–35. [Google Scholar] [CrossRef] [Green Version]
- Wagner, V.; Dullaart, A.; Bock, A.-K.; Zweck, A. The emerging nanomedicine landscape. Nat. Biotechnol. 2006, 24, 1211–1217. [Google Scholar] [CrossRef]
- Elliott, T.S.; Slowey, A.; Ye, Y.; Conway, S.J. The use of phosphate bioisosteres in medicinal chemistry and chemical biology. MedChemComm 2012, 3, 735–751. [Google Scholar] [CrossRef]
- Jockusch, S.; Tao, C.; Li, X.; Anderson, T.K.; Chien, M.; Kumar, S.; Russo, J.J.; Kirchdoerfer, R.N.; Ju, J. A library of nucleotide analogues terminate RNA synthesis catalyzed by polymerases of coronaviruses that cause SARS and COVID-19. Antivir. Res. 2020, 180, 104857. [Google Scholar] [CrossRef]
- Yamada, A.; Chung, S.C.; Hinokuma, K. Optimized LiFePO4 for Lithium Battery Cathodes. J. Electrochem. Soc. 2001, 148, A224–A229. [Google Scholar] [CrossRef]
- Ono, M. Amperometric sensor based on NASICON and NO oxidation catalysts for detection of total NOx in atmospheric environment. Solid State Ionics 2000, 136–137, 583–588. [Google Scholar] [CrossRef]
- Kim, H.; Park, J.; Park, I.; Jin, K.; Jerng, S.E.; Kim, S.H.; Nam, K.T.; Kang, K. Coordination tuning of cobalt phosphates towards efficient water oxidation catalyst. Nat. Commun. 2015, 6, 8253. [Google Scholar] [CrossRef] [Green Version]
- Laskowski, L.; Laskowska, M. Functionalization of SBA-15 mesoporous silica by Cu-phosphonate units: Probing of synthesis route. J. Solid State Chem. 2014, 220, 221–226. [Google Scholar] [CrossRef]
- Laskowska, M.; Kityk, I.; Pastukh, O.; Dulski, M.; Zubko, M.; Jedryka, J.; Cpałka, K.; Zieliński, P.M.; Laskowski, Ł. Nanocomposite for photonics-Nickel pyrophosphate nanocrystals synthesised in silica nanoreactors. Microporous Mesoporous Mater. 2020, 306, 110435. [Google Scholar] [CrossRef]
- Laskowski, Ł.; Laskowska, M.; Dulski, M.; Zubko, M.; Jelonkiewicz, J.; Perzanowski, M.; Vila, N.; Walcarius, A. Multi-step functionalization procedure for fabrication of vertically aligned mesoporous silica thin films with metal-containing molecules localized at the pores bottom. Microporous Mesoporous Mater. 2019, 274, 356–362. [Google Scholar] [CrossRef]
- Laskowski, Ł.; Majtyka-Piłat, A.; Cpałka, K.; Zubko, M.; Laskowska, M. Synthesis in Silica Nanoreactor: Copper Pyrophosphate Quantum Dots and Silver Oxide Nanocrystallites Inside Silica Mezochannels. Materials 2020, 13, 2009. [Google Scholar] [CrossRef] [PubMed]
- Hohenberg, P.; Kohn, W. Inhomogeneous Electron Gas. Phys. Rev. 1964, 136, B864–B871. [Google Scholar] [CrossRef] [Green Version]
- Kohn, W.; Sham, L.J. Self-consistent equations including exchange and correlation effects. Phys. Rev. 1965, 140, A1133–A1138. [Google Scholar] [CrossRef] [Green Version]
- Majtyka, A.; Chrobak, D.; Romanowski, B.; Ratuszna, A.; Nowak, R. Effect of Vacancy Concentration on Elastic and Electronic Properties of InAs and GaAs: Towards Defected Structures of Nanoobjects. J. Nanosci. Nanotechnol. 2016, 16, 6459–6464. [Google Scholar] [CrossRef] [PubMed]
- Dos Santos, R.B.; Rivelino, R.; Mota, F.D.B.; Kakanakova-Georgieva, A.; Gueorguiev, G.K. Feasibility of novel (H3C)nX(SiH3)3−ncompounds (X = B, Al, Ga, In): Structure, stability, reactivity, and Raman characterization from ab initio calculations. Dalton Trans. 2015, 44, 3356–3366. [Google Scholar] [CrossRef] [PubMed] [Green Version]
- Preciado, M.A.R.; Kassiba, A.; Morales-Acevedo, A.; Makowska-Janusik, M. Vibrational and electronic peculiarities of NiTiO3 nanostructures inferred from first principle calculations. RSC Adv. 2015, 5, 17396–17404. [Google Scholar] [CrossRef]
- Perdew, J.P.; Burke, K.; Ernzerhof, M. Generalized gradient approximation made simple. Phys. Rev. Lett. 1996, 77, 3865–3868. [Google Scholar] [CrossRef] [PubMed] [Green Version]
- Haas, P.; Tran, F.; Blaha, P. Calculation of the lattice constant of solids with semilocal functionals. Phys. Rev. B 2009, 79, 85104. [Google Scholar] [CrossRef] [Green Version]
- Anisimov, V.; Zaanen, J.; Andersen, O.K. Band theory and Mott insulators: HubbardUinstead of StonerI. Phys. Rev. B 1991, 44, 943–954. [Google Scholar] [CrossRef] [PubMed] [Green Version]
- Giannozzi, P.; Baroni, S.; Bonini, N.; Calandra, M.; Car, R.; Cavazzoni, C.; Ceresoli, D.; Chiarotti, G.L.; Cococcioni, M.; Dabo, I.; et al. Quantum espresso: A modular and open-source software project for quantum simulations of materials. J. Phys. Condens. Matter 2009, 21, 395502. [Google Scholar] [CrossRef] [PubMed]
- Pfrommer, B.G.; Côté, M.; Louie, S.G.; Cohen, M.L. Relaxation of Crystals with the Quasi-Newton Method. J. Comput. Phys. 1997, 131, 233–240. [Google Scholar] [CrossRef] [Green Version]
- Monkhorst, H.J.; Pack, J.D. Special points for Brillouin-zone integrations. Phys. Rev. B 1976, 13, 5188. [Google Scholar] [CrossRef]
- Wood, D.L.; Tauc, J. Weak Absorption Tails in Amorphous Semiconductors. Phys. Rev. B 1972, 5, 3144–3151. [Google Scholar] [CrossRef]
- Gras, P.; Rey, C.; André, G.; Charvillat, C.; Sarda, S.; Combes, C. Crystal structure of monoclinic calcium pyrophosphate dihydrate (m-CPPD) involved in inflammatory reactions and osteoarthritis. Acta Crystallogr. Sect. B Struct. Sci. Cryst. Eng. Mater. 2016, 72, 96–101. [Google Scholar] [CrossRef] [Green Version]





| Structural Parameters | PBE | PBE+U | |||
|---|---|---|---|---|---|
| U = 2 eV | U = 4 eV | U = 6 eV | U = 8 eV | ||
| a (Å) | 11.466 | 11.435 | 11.439 | 11.452 | 11.472 |
| b (Å) | 10.204 | 10.032 | 9.924 | 9.762 | 9.689 |
| c (Å) | 6.123 | 6.115 | 6.111 | 6.105 | 6.113 |
| V (Å3)formula unit | 196.054 | 170.605 | 168.790 | 166.107 | 165.118 |
| Bonds | Interatomic Distances (A) | ||||
|---|---|---|---|---|---|
| PBE | U = 2 eV | U = 4 eV | U = 6 eV | U = 8 eV | |
| Cu1-P1 | 3.287 | 3.277 | 3.269 | 3.261 | 3.255 |
| Cu1-O2 | 2.025 | 2.012 | 2.005 | 1.999 | 2.001 |
| P1-O2 | 1.577 | 1.563 | 1.553 | 1.543 | 1.535 |
| O8-H1 | 0.982 | 0.975 | 0.969 | 0.963 | 0.959 |
| PBE+U | μCu | μO | μtot (Bohr mag/Cell) | Eg (eV) |
|---|---|---|---|---|
| U = 2 eV | 5.45 | 0.48 | 7.65 | 1.18, 4.6 |
| U = 4 eV | 5.97 | 0.39 | 7.88 | 1.92, 4.93 |
| U = 6 eV | 6.46 | 0.29 | 8.00 | 2.79, 5.29 |
| U = 8 eV | 6.85 | 0.20 | 8.07 | 3.89, 4.04 |
Publisher’s Note: MDPI stays neutral with regard to jurisdictional claims in published maps and institutional affiliations. |
© 2022 by the authors. Licensee MDPI, Basel, Switzerland. This article is an open access article distributed under the terms and conditions of the Creative Commons Attribution (CC BY) license (https://creativecommons.org/licenses/by/4.0/).
Share and Cite
Majtyka-Piłat, A.; Wojtyniak, M.; Laskowski, Ł.; Chrobak, D. Structure and Properties of Copper Pyrophosphate by First-Principle Calculations. Materials 2022, 15, 842. https://doi.org/10.3390/ma15030842
Majtyka-Piłat A, Wojtyniak M, Laskowski Ł, Chrobak D. Structure and Properties of Copper Pyrophosphate by First-Principle Calculations. Materials. 2022; 15(3):842. https://doi.org/10.3390/ma15030842
Chicago/Turabian StyleMajtyka-Piłat, Anna, Marcin Wojtyniak, Łukasz Laskowski, and Dariusz Chrobak. 2022. "Structure and Properties of Copper Pyrophosphate by First-Principle Calculations" Materials 15, no. 3: 842. https://doi.org/10.3390/ma15030842
APA StyleMajtyka-Piłat, A., Wojtyniak, M., Laskowski, Ł., & Chrobak, D. (2022). Structure and Properties of Copper Pyrophosphate by First-Principle Calculations. Materials, 15(3), 842. https://doi.org/10.3390/ma15030842

