Structural, Electronic, and Physical Properties of a New Layered Cr-Based Oxyarsenide Sr2Cr2AsO3
Abstract
1. Introduction
2. Experimental Methods
3. Results and Discussion
3.1. Crystal Structure
3.2. Electrical Resistivity
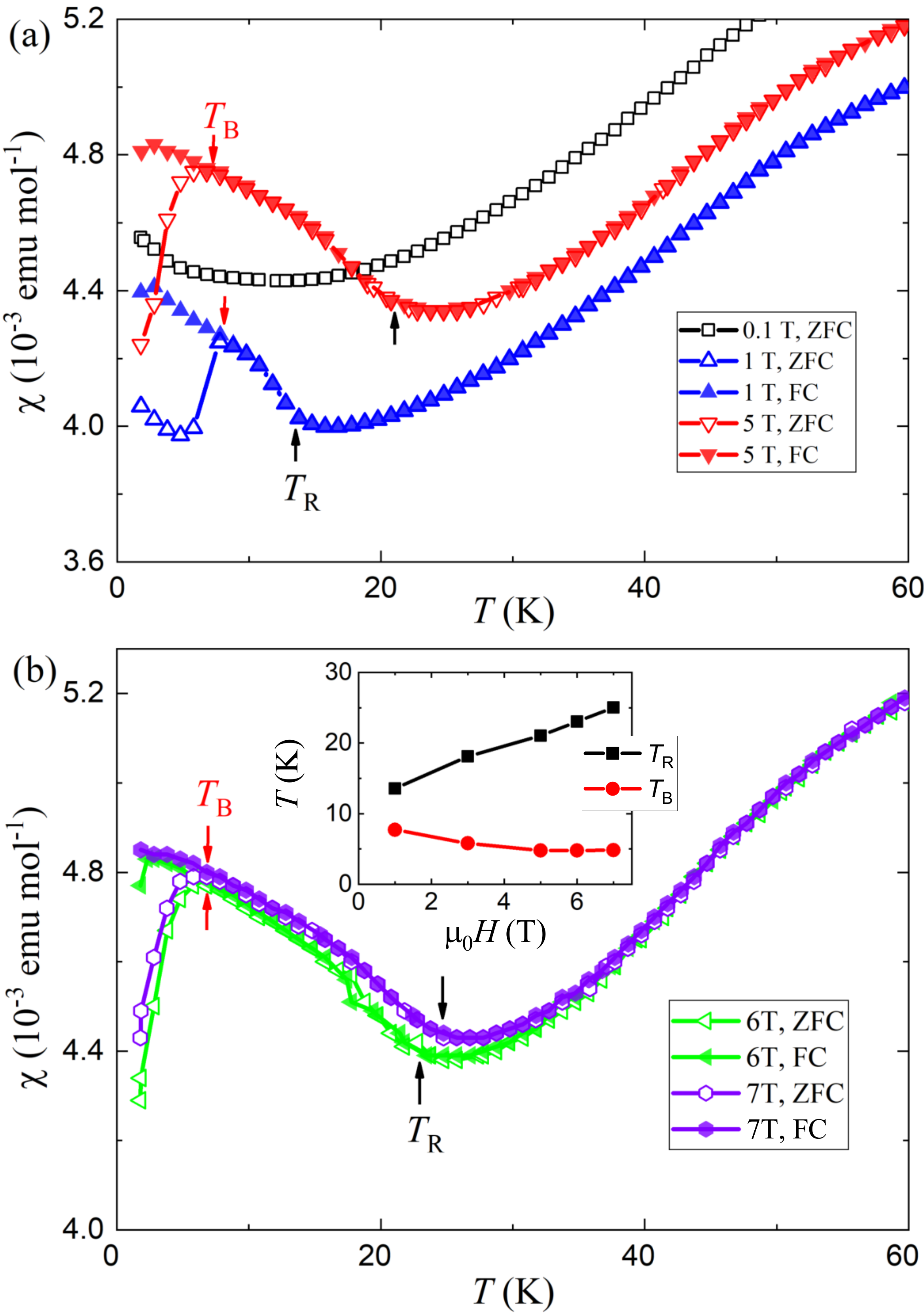
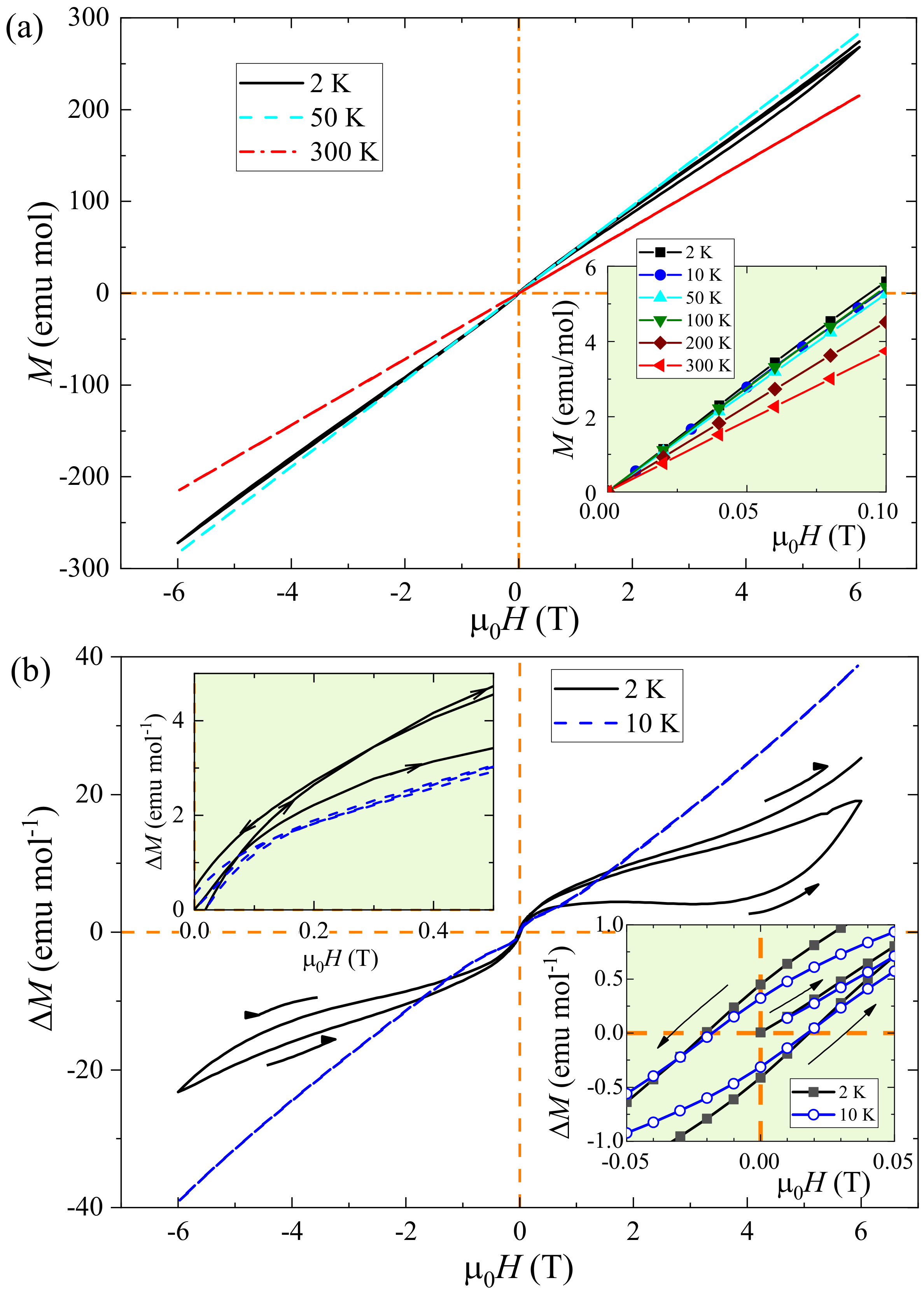
3.3. Magnetic Properties
3.4. Specific Heat
3.5. First-Principles Calculations
4. Concluding Remarks
Author Contributions
Funding
Institutional Review Board Statement
Informed Consent Statement
Data Availability Statement
Conflicts of Interest
References
- Wu, W.; Cheng, J.; Matsubayashi, K.; Kong, P.; Lin, F.; Jin, C.; Wang, N.; Uwatoko, Y.; Luo, J. Superconductivity in the vicinity of antiferromagnetic order in CrAs. Nat. Commun. 2014, 5, 5508. [Google Scholar] [CrossRef]
- Kotegawa, H.; Nakahara, S.; Tou, H.; Sugawara, H. Superconductivity of 2.2 K under Pressure in Helimagnet CrAs. J. Phys. Soc. Jpn. 2014, 83, 093702. [Google Scholar] [CrossRef]
- Bao, J.K.; Liu, J.Y.; Ma, C.W.; Meng, Z.H.; Tang, Z.T.; Sun, Y.L.; Zhai, H.F.; Jiang, H.; Bai, H.; Feng, C.M.; et al. Superconductivity in Quasi-One-Dimensional K2Cr3As3 with Significant Electron Correlations. Phys. Rev. X 2015, 5, 011013. [Google Scholar] [CrossRef]
- Tang, Z.T.; Bao, J.K.; Liu, Y.; Sun, Y.L.; Ablimit, A.; Zhai, H.F.; Jiang, H.; Feng, C.M.; Xu, Z.A.; Cao, G.H. Unconventional superconductivity in quasi-one-dimensional Rb2Cr3As3. Phys. Rev. B 2015, 91, 020506. [Google Scholar] [CrossRef]
- Tang, Z.T.; Bao, J.K.; Wang, Z.; Bai, H.; Jiang, H.; Liu, Y.; Zhai, H.F.; Feng, C.M.; Xu, Z.A.; Cao, G.H. Superconductivity in quasi-one-dimensional Cs2Cr3As3 with large interchain distance. Sci. China Mater. 2015, 58, 16–20. [Google Scholar] [CrossRef]
- Edelmann, M.; Sangiovanni, G.; Capone, M.; De’ Medici, L. Chromium analogs of iron-based superconductors. Phys. Rev. B 2017, 95, 205118. [Google Scholar] [CrossRef]
- Wang, W.S.; Gao, M.; Yang, Y.; Xiang, Y.Y.; Wang, Q.H. Possible superconductivity in the electron-doped chromium pnictide LaOCrAs. Phys. Rev. B 2017, 95, 144507. [Google Scholar] [CrossRef]
- Pizarro, J.M.; Calderón, M.J.; Liu, J.; Muñoz, M.C.; Bascones, E. Strong correlations and the search for high-Tc superconductivity in chromium pnictides and chalcogenides. Phys. Rev. B 2017, 95, 075115. [Google Scholar] [CrossRef]
- Filsinger, K.A.; Schnelle, W.; Adler, P.; Fecher, G.H.; Reehuis, M.; Hoser, A.; Hoffmann, J.U.; Werner, P.; Greenblatt, M.; Felser, C. Antiferromagnetic structure and electronic properties of BaCr2As2 and BaCrFeAs2. Phys. Rev. B 2017, 95, 184414. [Google Scholar] [CrossRef]
- Richard, P.; Van Roekeghem, A.; Lv, B.Q.; Qian, T.; Kim, T.K.; Hoesch, M.; Hu, J.P.; Sefat, A.S.; Biermann, S.; Ding, H. Is BaCr2As2 symmetrical to BaFe2As2 with respect to half 3d shell filling? Phys. Rev. B 2017, 95, 184516. [Google Scholar] [CrossRef]
- Das, P.; Sangeetha, N.S.; Lindemann, G.R.; Heitmann, T.W.; Kreyssig, A.; Goldman, A.I.; McQueeney, R.J.; Johnston, D.C.; Vaknin, D. Itinerant G-type antiferromagnetic order in SrCr2As2. Phys. Rev. B 2017, 96, 014411. [Google Scholar] [CrossRef]
- Mu, Q.G.; Ruan, B.B.; Pan, B.J.; Liu, T.; Yu, J.; Zhao, K.; Chen, G.F.; Ren, Z.A. Superconductivity at 5 K in quasi-one-dimensional Cr-based KCr3As3 single crystals. Phys. Rev. B 2017, 96, 140504. [Google Scholar] [CrossRef]
- Mu, Q.G.; Ruan, B.B.; Pan, B.J.; Liu, T.; Yu, J.; Zhao, K.; Chen, G.F.; Ren, Z.A. Ion-exchange synthesis and superconductivity at 8.6 K of Na2Cr3As3 with quasi-one-dimensional crystal structure. Phys. Rev. Mater. 2018, 2, 034803. [Google Scholar] [CrossRef]
- Wu, W.; Liu, K.; Li, Y.; Yu, Z.; Wu, D.; Shao, Y.; Na, S.; Li, G.; Huang, R.; Xiang, T.; et al. Superconductivity in chromium nitrides Pr3Cr10-xN11 with strong electroncorrelations. Natl. Sci. Rev. 2019, 7, 21–26. [Google Scholar] [CrossRef]
- Cai, W.; Sun, H.; Xia, W.; Wu, C.; Liu, Y.; Liu, H.; Gong, Y.; Yao, D.X.; Guo, Y.; Wang, M. Pressure-induced superconductivity and structural transition in ferromagnetic CrSiTe3. Phys. Rev. B 2020, 102, 144525. [Google Scholar] [CrossRef]
- Duan, L.; Wang, X.; Zhan, F.; Zhang, J.; Hu, Z.; Zhao, J.; Li, W.; Cao, L.; Deng, Z.; Yu, R.; et al. High-pressure synthesis, crystal structure and physical properties of a new Cr-based arsenide La3CrAs5. Sci. China Mater. 2020, 63, 1750–1758. [Google Scholar] [CrossRef]
- Pfisterer, M.; Nagorsen, G. Zur struktur ternärer übergangsmetallarsenide/on the structure of ternary arsenides. Z. Naturforschung B 1980, 35, 703–704. [Google Scholar] [CrossRef]
- Singh, D.J.; Sefat, A.S.; McGuire, M.A.; Sales, B.C.; Mandrus, D.; VanBebber, L.H.; Keppens, V. Itinerant antiferromagnetism in BaCr2As2: Experimental characterization and electronic structure calculations. Phys. Rev. B 2009, 79, 094429. [Google Scholar] [CrossRef]
- Paramanik, U.B.; Prasad, R.; Geibel, C.; Hossain, Z. Itinerant and local-moment magnetism in EuCr2As2 single crystals. Phys. Rev. B 2014, 89, 144423. [Google Scholar] [CrossRef]
- Park, S.W.; Mizoguchi, H.; Kodama, K.; Shamoto, S.I.; Otomo, T.; Matsuishi, S.; Kamiya, T.; Hosono, H. Magnetic Structure and Electromagnetic Properties of LnCrAsO with a ZrCuSiAs-type Structure (Ln = La, Ce, Pr, and Nd). Inorg. Chem. 2013, 52, 13363–13368. [Google Scholar] [CrossRef]
- Kamihara, Y.; Watanabe, T.; Hirano, M.; Hosono, H. Iron-Based Layered Superconductor La[O1-xFx]FeAs (x = 0.05–0.12) with Tc = 26 K. J. Am. Chem. Soc. 2008, 130, 3296. [Google Scholar] [CrossRef]
- Scalapino, D.J. A common thread: The pairing interaction for unconventional superconductors. Rev. Mod. Phys. 2012, 84, 1383–1417. [Google Scholar] [CrossRef]
- Jiang, H.; Bao, J.K.; Zhai, H.F.; Tang, Z.T.; Sun, Y.L.; Liu, Y.; Wang, Z.C.; Bai, H.; Xu, Z.A.; Cao, G.H. Physical properties and electronic structure of Sr2Cr3As2O2 containing CrO2 and Cr2As2 square-planar lattices. Phys. Rev. B 2015, 92, 205107. [Google Scholar] [CrossRef]
- Ablimit, A.; Sun, Y.L.; Jiang, H.; Bao, J.K.; Zhai, H.F.; Tang, Z.T.; Liu, Y.; Wang, Z.C.; Feng, C.M.; Cao, G.H. Synthesis, crystal structure and physical properties of a new oxypnictide Ba2Ti2Cr2As4O containing [Ti2As2O]2− and [Cr2As2]2− layers. J. Alloys Compd. 2017, 694, 1149–1153. [Google Scholar] [CrossRef]
- Xu, X.; Jones, M.A.; Cassidy, S.J.; Manuel, P.; Orlandi, F.; Batuk, M.; Hadermann, J.; Clarke, S.J. Magnetic Ordering in the Layered Cr(II) Oxide Arsenides Sr2CrO2Cr2As2 and Ba2CrO2Cr2As2. Inorg. Chem. 2020, 59, 15898–15912. [Google Scholar] [CrossRef]
- Naik, S.P.K.; Iwasa, Y.; Kuramochi, K.; Ichihara, Y.; Kishio, K.; Hongo, K.; Maezono, R.; Nishio, T.; Ogino, H. Synthesis, Electronic Structure, and Physical Properties of Layered Oxypnictides Sr2ScCrAsO3 and Ba3Sc2Cr2As2O5. Inorg. Chem. 2021, 60, 1930–1936. [Google Scholar] [CrossRef]
- Jiang, H.; Sun, Y.L.; Xu, Z.A.; Cao, G.H. Crystal chemistry and structural design of iron-based superconductors. Chin. Phys. B 2013, 22, 087410. [Google Scholar] [CrossRef][Green Version]
- Liu, J.; Wang, J.; Sheng, J.; Ye, F.; Taddei, K.M.; Fernandez-Baca, J.A.; Luo, W.; Sun, G.A.; Wang, Z.C.; Jiang, H.; et al. Neutron diffraction study on magnetic structures and transitions in Sr2Cr3As2O2. Phys. Rev. B 2018, 98, 134416. [Google Scholar] [CrossRef]
- Nandi, S.; Xiao, Y.; Qureshi, N.; Paramanik, U.B.; Jin, W.T.; Su, Y.; Ouladdiaf, B.; Hossain, Z.; Brückel, T. Magnetic structures of the Eu and Cr moments in EuCr2As2: Neutron diffraction study. Phys. Rev. B 2016, 94, 094411. [Google Scholar] [CrossRef]
- Tegel, M.; Hummel, F.; Lackner, S.; Schellenberg, I.; Poettgen, R.; Johrendt, D. The Layered Iron Arsenide Oxides Sr2CrO3FeAs and Ba2ScO3FeAs. Z. Anorg. Und Allg. Chem. 2009, 635, 2242–2248. [Google Scholar] [CrossRef]
- Ogino, H.; Katsura, Y.; Horii, S.; Kishio, K.; Shimoyama, J.I. New iron-based arsenide oxides (Fe2As2)(Sr4M2O6)(M= Sc, Cr). Supercond. Sci. Technol. 2009, 22, 085001. [Google Scholar] [CrossRef]
- Zhu, W.; Hor, P. Sr2CuGaO3S, a Rare Example of Square Pyramidal Gallium. Inorg. Chem. 1997, 36, 3576–3577. [Google Scholar] [CrossRef]
- Rodríguez-Carvajal, J. Recent advances in magnetic structure determination by neutron powder diffraction. Phys. B Condens. Matter 1993, 192, 55–69. [Google Scholar] [CrossRef]
- Perdew, J.P.; Burke, K.; Ernzerhof, M. Generalized Gradient Approximation Made Simple. Phys. Rev. Lett. 1996, 77, 3865–3868. [Google Scholar] [CrossRef]
- Kresse, G.; Furthmüller, J. Efficient iterative schemes for ab initio total-energy calculations using a plane-wave basis set. Phys. Rev. B 1996, 54, 11169–11186. [Google Scholar] [CrossRef]
- Wang, Z.; Wu, S.; Ji, L.; Cao, G. Block-layer model for intergrowth structures. Nano Res. 2021, 14, 3629–3635. [Google Scholar] [CrossRef]
- Brown, I.D.; Altermatt, D. Bond-valence parameters obtained from a systematic analysis of the Inorganic Crystal Structure Database. Acta Crystallogr. Sec. B 1985, 41, 244–247. [Google Scholar] [CrossRef]
- White, G.K.; Woods, S. Electrical and thermal resistivity of the transition elements at low temperatures. Philos. Trans. R. Soc. London. Ser. A Math. Phys. Sci. 1959, 251, 273–302. [Google Scholar] [CrossRef]
- Ziman, J.M. Electrons and Phonons; Clarendon Press: Oxford, UK, 1960. [Google Scholar]
- Mott, N.F. Electrons in transition metals. Adv. Phys. 1964, 13, 325–422. [Google Scholar] [CrossRef]
- Ishikawa, A. Electrical Resesrivity Due to Antiferromagnetic Spin Waves in Cr. J. Phys. Soc. Jpn. 1982, 51, 441–451. [Google Scholar] [CrossRef]
- Lumsden, M.D.; Sales, B.C.; Mandrus, D.; Nagler, S.E.; Thompson, J.R. Weak Ferromagnetism and Field-Induced Spin Reorientation in K2V3O8. Phys. Rev. Lett. 2001, 86, 159–162. [Google Scholar] [CrossRef] [PubMed]
- McGuire, M.A.; Garlea, V.O.; Kc, S.; Cooper, V.R.; Yan, J.; Cao, H.; Sales, B.C. Antiferromagnetism in the van der Waals layered spin-lozenge semiconductor CrTe3. Phys. Rev. B 2017, 95, 144421. [Google Scholar] [CrossRef]
- Clement, R.; Girerd, J.; Morgenstern-Badarau, I. Dramatic modification of the magnetic properties of lamellar manganese trithiophosphonite MnPS3 upon intercalation. Inorg. Chem. 1980, 19, 2852–2854. [Google Scholar] [CrossRef]
- Chen, H.; McClain, R.; He, J.; Zhang, C.; Olding, J.N.; Dos Reis, R.; Bao, J.K.; Hadar, I.; Spanopoulos, I.; Malliakas, C.D.; et al. Antiferromagnetic Semiconductor BaFMn0.5Te with Unique Mn Ordering and Red Photoluminescence. J. Am. Chem. Soc. 2019, 141, 17421–17430. [Google Scholar] [CrossRef] [PubMed]
- Zhu, W.; Hor, P. Crystal Structure of New Layered Oxysulfides: Sr3Cu2Fe2O5S2 and Sr2CuMO3S (M=Cr, Fe, In). J. Solid State Chem. 1997, 134, 128–131. [Google Scholar] [CrossRef]
- De Gennes, P.G. Effects of Double Exchange in Magnetic Crystals. Phys. Rev. 1960, 118, 141–154. [Google Scholar] [CrossRef]
- Jeanneau, J.; Toulemonde, P.; Remenyi, G.; Sulpice, A.; Colin, C.; Nassif, V.; Suard, E.; Salas Colera, E.; Castro, G.R.; Gay, F.; et al. Singlet Orbital Ordering in Bilayer Sr3Cr2O7. Phys. Rev. Lett. 2017, 118, 207207. [Google Scholar] [CrossRef]









| Compounds | a (Å) | c (Å) | (Å) | () | BVS | (K) | () | (K) | () | Refs. | |
|---|---|---|---|---|---|---|---|---|---|---|---|
| BaCrAs | 3.9678(4) | 13.632(3) | 3.436 | 1.513 | 105.3 | - | - | - | - | - | [18] |
| BaCrAs | 3.9667 | 13.6214 | 3.434 | 1.512 | 105.4 | - | - | - | 580 | 1.9 | [9] |
| SrCrAs | 3.918(3) | 13.05(1) | 3.331 | 1.449 | 107.0 | - | - | - | 590 [11] | 1.9(1) | [17] |
| EuCrAs | 3.893(2) | 12.872(2) | 3.306 | 1.455 | 106.5 | - | - | - | 680 [29] | 1.7(4) | [19] |
| LaCrAsO | 4.0412(3) | 8.9863(7) | 2.224 | 1.460 | 108.3 | - | - | - | >300 | - | [20] |
| SrCrAsO | 4.0079(1) | 18.8298(3) | 4.698 | 1.505 | 106.2 | 2.10 | 291 | 2.97 (calc.) | - | 2.59 (calc.) | [27] |
| SrCrAsO | 4.00671(6) | 18.8310(5) | 4.700 | 1.503 | 106.2 | 1.90 | 291 | 3.10(6) | 590 | 2.19(4) | [28] |
| SrCrAsO | 4.00800(2) | 18.8214(1) | 4.696 | 1.505 | 106.4 | 1.90 | 330 | 3.34(1) | 600 | 2.68(1) | [25] |
| BaCrAsO | 4.05506(2) | 20.5637(1) | 5.071 | 1.478 | 107.8 | 1.79 | 230 | 3.30(1) | 465 | 2.23(1) | [25] |
| SrCrFeAsO | 3.9112(1) | 15.7905(3) | 4.037 | - | - | 2.69 | 31 | - | - | - | [30] |
| SrCrFeAsO | 3.918 | 15.683 | 4.003 | - | - | 2.93 | - | - | - | - | [31] |
| SrScCrAsO | 4.043(9) | 16.038(1) | 3.967 | 1.498 | 106.9 | - | - | - | - | - | [26] |
| SrCrAsO | 3.9087(2) | 16.0481(4) | 4.300 | 1.560 | 102.8 | 2.52 | 80 | 2.52 (calc.) | 420 | 2.41 (calc.) | This work |
| Atoms | Sites | x | y | z | B(Å) |
|---|---|---|---|---|---|
| Sr(1) | 2c | 0.75 | 0.75 | 0.1997(3) | 0.56 |
| Sr(2) | 2c | 0.75 | 0.75 | 0.4177(3) | 0.90 |
| Cr(1) | 2c | 0.25 | 0.25 | 0.3117(4) | 0.81 |
| Cr(2) | 2a | 0.25 | 0.75 | 0 | 0.61 |
| As | 2c | 0.25 | 0.25 | 0.0973(3) | 0.36 |
| O(1) | 4f | 0.25 | 0.75 | 0.2945(10) | 1.01 |
| O(2) | 2c | 0.25 | 0.25 | 0.4411(16) | 0.73 |
| Magnetic Structure | |||
|---|---|---|---|
| Cr(1)N−Cr(2)N | 0 | 0 | 0 |
| Cr(1)N−Cr(2)F | −67.9 | 0 | 1.726 |
| Cr(1)N−Cr(2)S | −0.5 | 0 | 0.078 |
| Cr(1)N−Cr(2)C | −310.9 | 0 | 2.400 |
| Cr(1)N−Cr(2)C | −311.3 | 0 | 2.401 |
| Cr(1)N−Cr(2)G | −311.1 | 0 | 2.401 |
| Cr(1)F−Cr(2)C | −911.2 | 2.653 | 0.013 |
| Cr(1)F−Cr(2)C | −911.2 | 2.653 | 0.013 |
| Cr(1)S−Cr(2)C | −987.3 | 2.590 | 1.085 |
| Cr(1)S−Cr(2)C | −1144.4 | 2.206 | 0.567 |
| Cr(1)CCr(2)C | −1242.8 | 2.529 | 2.417 |
| Cr(1)CCr(2)C | −1249.5 | 2.521 | 2.407 |
| Cr(1)CCr(2)C | −1251.0 | 2.522 | 2.408 |
| Cr(1)CCr(2)C | −1251.7 | 2.522 | 2.409 |
| Cr(1)GCr(2)C | −1252.0 | 2.522 | 2.409 |
| Bader Charge | ||||
|---|---|---|---|---|
| Element | Neutral | |||
| Sr | 8.518 | 8.706 | −0.188 | 10 |
| Cr(1) | 10.407 | 11.011 | −0.604 | 12 |
| Cr(2) | 11.396 | 11.619 | −0.223 | 12 |
| As | 16.282 | 16.012 | 0.27 | 15 |
| O | 7.300 | 7.157 | 0.143 | 6 |
Publisher’s Note: MDPI stays neutral with regard to jurisdictional claims in published maps and institutional affiliations. |
© 2022 by the authors. Licensee MDPI, Basel, Switzerland. This article is an open access article distributed under the terms and conditions of the Creative Commons Attribution (CC BY) license (https://creativecommons.org/licenses/by/4.0/).
Share and Cite
Lin, Y.-Q.; Jiang, H.; Li, H.-X.; Song, S.-J.; Wu, S.-Q.; Ren, Z.; Cao, G.-H. Structural, Electronic, and Physical Properties of a New Layered Cr-Based Oxyarsenide Sr2Cr2AsO3. Materials 2022, 15, 802. https://doi.org/10.3390/ma15030802
Lin Y-Q, Jiang H, Li H-X, Song S-J, Wu S-Q, Ren Z, Cao G-H. Structural, Electronic, and Physical Properties of a New Layered Cr-Based Oxyarsenide Sr2Cr2AsO3. Materials. 2022; 15(3):802. https://doi.org/10.3390/ma15030802
Chicago/Turabian StyleLin, Yi-Qiang, Hao Jiang, Hua-Xun Li, Shi-Jie Song, Si-Qi Wu, Zhi Ren, and Guang-Han Cao. 2022. "Structural, Electronic, and Physical Properties of a New Layered Cr-Based Oxyarsenide Sr2Cr2AsO3" Materials 15, no. 3: 802. https://doi.org/10.3390/ma15030802
APA StyleLin, Y.-Q., Jiang, H., Li, H.-X., Song, S.-J., Wu, S.-Q., Ren, Z., & Cao, G.-H. (2022). Structural, Electronic, and Physical Properties of a New Layered Cr-Based Oxyarsenide Sr2Cr2AsO3. Materials, 15(3), 802. https://doi.org/10.3390/ma15030802

