Thermo-Electro-Mechanical Simulation of Electro-Active Composites
Abstract
:1. Introduction
2. Thermo-Electro-Mechanics
2.1. Preliminaries
2.2. Mechanical Field
2.3. Electrical Field
2.4. Thermal Field
2.5. Material Model
2.6. Finite Element Formulation
3. Estimation of Thermal Properties
4. Numerical Examples
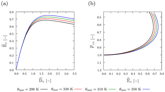
4.1. Varying Initial Temperature
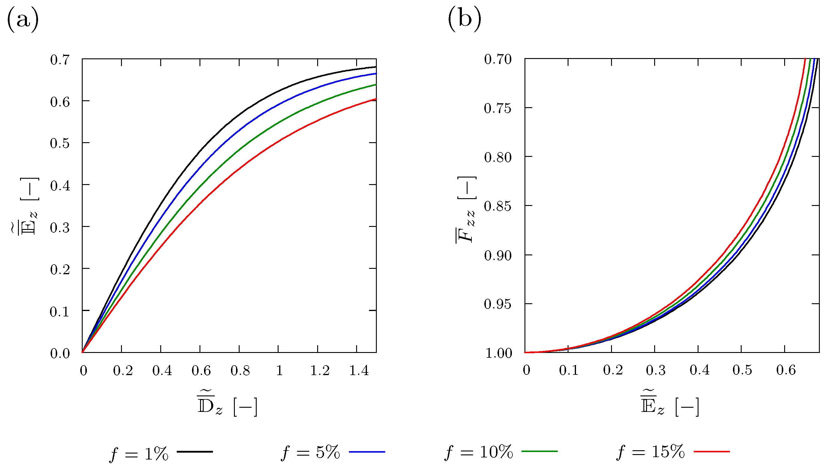
4.2. Varying Volume Fraction of the Inclusion
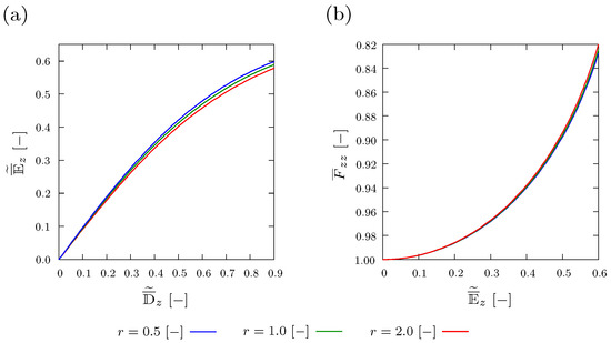
4.3. Varying Aspect Ratio of the Inclusion
5. Summary
Author Contributions
Funding
Institutional Review Board Statement
Informed Consent Statement
Data Availability Statement
Conflicts of Interest
Abbreviations
| EAP | Electro-active polymers |
| DEA | Dielectric elastomer actuators |
| MD | Molecular dynamics |
References
- Pelrine, R.; Kornbluh, R.; Pei, Q.; Joseph, J. High-speed electrically actuated elastomers with strain greater Than 100%. Science 2000, 287, 836–839. [Google Scholar] [CrossRef]
- Bar-Cohen, Y. Electro-active polymers: Current capabilities and challenges. In Proceedings of the SPIE 4695, Smart Structures and Materials Symposium, Electro-active Polymer Actuators and Devices, San Diego, CA, USA, 17–19 March 2002. [Google Scholar]
- Pfeil, S.; Katzer, K.; Kanan, A.; Mersch, J.; Zimmermann, M.; Kaliske, M.; Gerlach, G. A biomimetic fish fin-Like robot based on textile reinforced silicone. Micromachines 2020, 11, 298. [Google Scholar] [CrossRef] [PubMed] [Green Version]
- Shian, S.; Bertoldi, K.; Clarke, D. Dielectric elastomer based “grippers” for soft robotics. Adv. Mater. 2015, 27, 6814–6819. [Google Scholar] [CrossRef]
- Xing, Z.; Zhang, J.; McCoul, D.; Cui, Y.; Sun, L.; Zhao, J. A super-lightweight and soft manipulator driven by dielectric elastomers. Soft Robot. 2020, 7, 512–520. [Google Scholar] [CrossRef] [PubMed]
- Pelrine, R.; Kornbluh, R.; Joseph, J. Electrostriction of polymer dielectrics with compliant electrodes as a means of actuation. Sens. Actuators A Phys. 1998, 64, 77–85. [Google Scholar] [CrossRef]
- Böse, H.; Uhl, D.; Flittner, K.; Sclaak, H. Dielectric elastomer actuator with enhanced permittivity and strain. Proc. SPIE Int. Soc. Opt. Eng. 2011, 7976, 79762J. [Google Scholar]
- Risse, S.; Kussmaul, B.; Kürger, H.; Kofod, G. Synergistic improvement of actuation properties with compatibilized high permittivity filler. Adv. Funct. Mater. 2012, 22, 3958–3962. [Google Scholar] [CrossRef]
- Stoyanov, H.; Kollosche, M.; Risse, S.; McCarthy, D.N.; Kofod, G. Elastic block copolymer nanocomposites with controlled interfacial interactions for artificial muscles with direct voltage control. Soft Matter 2011, 7, 194–202. [Google Scholar] [CrossRef]
- Tian, L.; Tevet-Deree, L.; de Botton, G.; Bhattacharya, K. Dielectric elastomer composites. J. Mech. Phys. Solids 2012, 60, 181–198. [Google Scholar] [CrossRef]
- Miehe, C.; Vallicotti, D.; Teichtmeister, S. Homogenization and multiscale stability analysis in finite magneto-electro-elasticity. Application to soft matter EE, ME and MEE composites. Comput. Methods Appl. Mech. Eng. 2015, 300, 294–346. [Google Scholar] [CrossRef]
- Miehe, C.; Vallicotti, D.; Zäh, D. Computational structural and material stability analysis in finite electro-elasto-statics of electro-active materials. Int. J. Numer. Methods Eng. 2015, 102, 1605–1637. [Google Scholar] [CrossRef]
- Ponte Castañeda, P.; Siboni, M.H. A finite-strain constitutive theory for electro-active polymer composites via homogenization. Int. J. Non-Linear Mech. 2012, 47, 293–306. [Google Scholar] [CrossRef]
- Eringen, A. On the foundations of electroelastostatics. Int. J. Eng. Sci. 1963, 1, 127–153. [Google Scholar] [CrossRef]
- Lax, M.; Nelson, D. Linear and nonlinear electrodynamics in elastic anisotropic dielectric. Phys. Rev. B 1971, 4, 3694–3731. [Google Scholar] [CrossRef]
- Maugin, G.A. Continuum Mechanics of Electromagnetic Solids; North Holland Series in Applied Mathematics and Mechanics; Elsevier: North Holland, The Netherlands, 1988; Volume 33. [Google Scholar]
- Maugin, G.A. On modelling electromagnetomechanical interactions in deformable solids. Int. J. Adv. Eng. Sci. Appl. Math. 2009, 1, 25–32. [Google Scholar] [CrossRef]
- Dorfmann, A.; Ogden, R. Nonlinear electroelasticity. Acta Mech. 2005, 174, 167–183. [Google Scholar] [CrossRef]
- Dorfmann, A.; Ogden, R. Nonlinear electroelastic deformations. J. Elast. 2006, 82, 99–127. [Google Scholar] [CrossRef] [Green Version]
- Dorfmann, L.; Ogden, R.W. Nonlinear electroelasticity: Material properties, continuum theory and applications. Proc. R. Soc. A 2017, 473, 20170311. [Google Scholar] [CrossRef]
- Jiménez, S.; McMeeking, R. A constitutive law for dielectric elastomers subject to high levels of stretch during combined electrostatic and mechanical loading: Elastomer stiffening and deformation dependent dielectric permittivity. Int. J. Non-Linear Mech. 2016, 87, 125–136. [Google Scholar] [CrossRef]
- McMeeking, R.; Landis, C. Electrostatic forces and stored energy for deformable dielectric materials. J. Appl. Mech. 2005, 72, 518–590. [Google Scholar] [CrossRef] [Green Version]
- Vu, D.; Steinmann, P.; Possart, G. Numerical modelling of non-linear electroelasticity. Int. J. Numer. Methods Eng. 2007, 70, 685–704. [Google Scholar] [CrossRef]
- Kanan, A.; Kaliske, M. On the computational modelling of nonlinear electro-elasticity in heterogeneous bodies at finite deformations. Mech. Soft Mater. 2021, 3, 1–19. [Google Scholar] [CrossRef]
- Kanan, A.; Kaliske, M. Finite element modeling of electro-viscoelasticity in fiber reinforced electro-active polymers. Int. J. Numer. Methods Eng. 2021, 122, 2005–2037. [Google Scholar] [CrossRef]
- Kanan, A.; Kaliske, M. Numerical modelling of electro-viscoelasticity for fibre reinforced electro-active polymers. Proc. Appl. Math. Mech. 2021, 20, e202000118. [Google Scholar] [CrossRef]
- Vertechy, R.; Berselli, G.; Castelli, V.; Vassura, G. Continuum thermo-electro-mechanical model for electrostrictive elastomers. Int. J. Non-Linear Mech. 2010, 44, 503–515. [Google Scholar] [CrossRef]
- Mehnert, M.; Pelteret, J.P.; Steinmann, P. Numerical modelling of nonlinear thermo-electro-elasticity. Math. Mech. Solid 2017, 22, 2196–2213. [Google Scholar] [CrossRef]
- Mehnert, M.; Mokarram, H.; Steinmann, P. Numerical modeling of thermo-electro-viscoelasticity with field-dependent material parameters. Int. J. Non-Linear Mech. 2018, 106, 13–24. [Google Scholar] [CrossRef] [Green Version]
- Miehe, C. Entropic thermoelasticity at finite strains. Aspects of the formulation and numerical implementation. Comput. Methods Appl. Mech. Eng. 1995, 120, 243–269. [Google Scholar] [CrossRef]
- Steinmann, P. Computational nonlinear electro-elasticity—Getting started. In Mechanics and Electrodynamics of Magneto- and Electro-elastic Materials. CISM International Centre for Mechanical Sciences; Ogden, R.W., Steigmann, D.J., Eds.; Springer: Vienna, Austria, 2011; Volume 527. [Google Scholar]
- Vogel, F.; Göktepe, S.; Steinmann, P.; Kuhl, E. Modeling and simulation of viscous electro-active polymers. Eur. J. Mech. Solids 2014, 48, 112–128. [Google Scholar] [CrossRef] [Green Version]
- Behnke, R. Thermo-Mechanical Modeling and Durability Analysis of Elastomer Components under Dynamic Loading. Ph.D. Thesis, TU Dresden, Dresden, Germany, 2015. [Google Scholar]
- Jewett, A.I.; Zhuang, Z.; Shea, J.E. Moltemplate a coarse-grained model assembly tool. Biophys. J. 2013, 104, 169a. [Google Scholar] [CrossRef] [Green Version]
- Martínez, L.; Andrade, R.; Birgin, E.G.; Martínez, J.M. PACKMOL: A package for building initial configurations for molecular dynamics simulations. J. Comput. Chem. 2009, 30, 2157–2164. [Google Scholar] [CrossRef]
- Hager, J.; Hentschke, R.; Hojdis, N.W.; Karimi-Varzaneh, H.A. Computer simulation of particle–particle interaction in a model polymer nanocomposite. Macromolecules 2015, 48, 9039–9049. [Google Scholar] [CrossRef]
- Kikugawa, G.; Desai, T.G.; Keblinski, P.; Ohara, T. Effect of crosslink formation on heat conduction in amorphous polymers. J. Appl. Phys. 2013, 114, 034302. [Google Scholar] [CrossRef] [Green Version]
- Jorgensen, W. OPLS All-Atom Parameters for Organic Molecules, Ions, Peptides & Nucleic Acids; Yale University: New Haven, CT, USA, 2009. [Google Scholar]
- Plimpton, S. Fast parallel algorithms for short-range molecular dynamics. J. Comput. Phys. 1995, 117, 1–19. [Google Scholar] [CrossRef] [Green Version]
- Luchinsky, D.G.; Hafiychuk, H.; Hafiychuk, V.; Wheeler, K.R. Molecular Dynamics of ULTEM 9085 for 3D Manufacturing: Spectra, Thermodynamic Properties, and Shear Viscosity; Technical Memorandum NASA/TM–2018–220213; NASA: Washington, DC, USA, 2018; pp. 1–70.
- Allen, M.P.; Tildesley, D.J. Computer Simulation of Liquids; Oxford University Press: Oxford, UK, 2017. [Google Scholar]
- Wang, Q.; Keffer, D.J.; Petrovan, S.; Thomas, J.B. Molecular dynamics simulation of poly (ethylene terephthalate) oligomers. J. Phys. Chem. B 2010, 114, 786–795. [Google Scholar] [CrossRef] [PubMed]
- Mu, Q.; Feng, S.; Diao, G. Thermal conductivity of silicone rubber filled with ZnO. Polym. Compos. 2007, 28, 125–130. [Google Scholar] [CrossRef]
- Kashi, S.; Varley, R.; De Souza, M.; Al-Assafi, S.; Di Pietro, A.; De Lavigne, C.; Fox, B. Mechanical, thermal, and morphological behavior of silicone rubber during accelerated aging. Polym.-Plast. Technol. Eng. 2018, 57, 1687–1696. [Google Scholar] [CrossRef]
- Zhou, W.; Qi, S.; Tu, C.; Zhao, H. Novel heat-conductive composite silicone rubber. J. Appl. Polym. Sci. 2007, 104, 2478–2483. [Google Scholar] [CrossRef]










| soft matrix |
|---|
| MPa, , , , , ). |
| stiff inclusion |
| MPa, , , , , ). |
Publisher’s Note: MDPI stays neutral with regard to jurisdictional claims in published maps and institutional affiliations. |
© 2022 by the authors. Licensee MDPI, Basel, Switzerland. This article is an open access article distributed under the terms and conditions of the Creative Commons Attribution (CC BY) license (https://creativecommons.org/licenses/by/4.0/).
Share and Cite
Kanan, A.; Vasilev, A.; Breitkopf, C.; Kaliske, M. Thermo-Electro-Mechanical Simulation of Electro-Active Composites. Materials 2022, 15, 783. https://doi.org/10.3390/ma15030783
Kanan A, Vasilev A, Breitkopf C, Kaliske M. Thermo-Electro-Mechanical Simulation of Electro-Active Composites. Materials. 2022; 15(3):783. https://doi.org/10.3390/ma15030783
Chicago/Turabian StyleKanan, Anas, Aleksandr Vasilev, Cornelia Breitkopf, and Michael Kaliske. 2022. "Thermo-Electro-Mechanical Simulation of Electro-Active Composites" Materials 15, no. 3: 783. https://doi.org/10.3390/ma15030783
APA StyleKanan, A., Vasilev, A., Breitkopf, C., & Kaliske, M. (2022). Thermo-Electro-Mechanical Simulation of Electro-Active Composites. Materials, 15(3), 783. https://doi.org/10.3390/ma15030783

