Biochemical Fulvic Acid Modification for Phosphate Crystal Inhibition in Water and Fertilizer Integration
Abstract
:1. Introduction
2. Materials and Methods
2.1. Purification of BFA
2.2. Modification of BFA
2.3. Determination of Crystal-Inhibition Performance of MBFA
2.3.1. Crystal-Inhibition Experiments
2.3.2. Particle Size Experiment
2.4. Characterization and Analysis
3. Results and Discussions
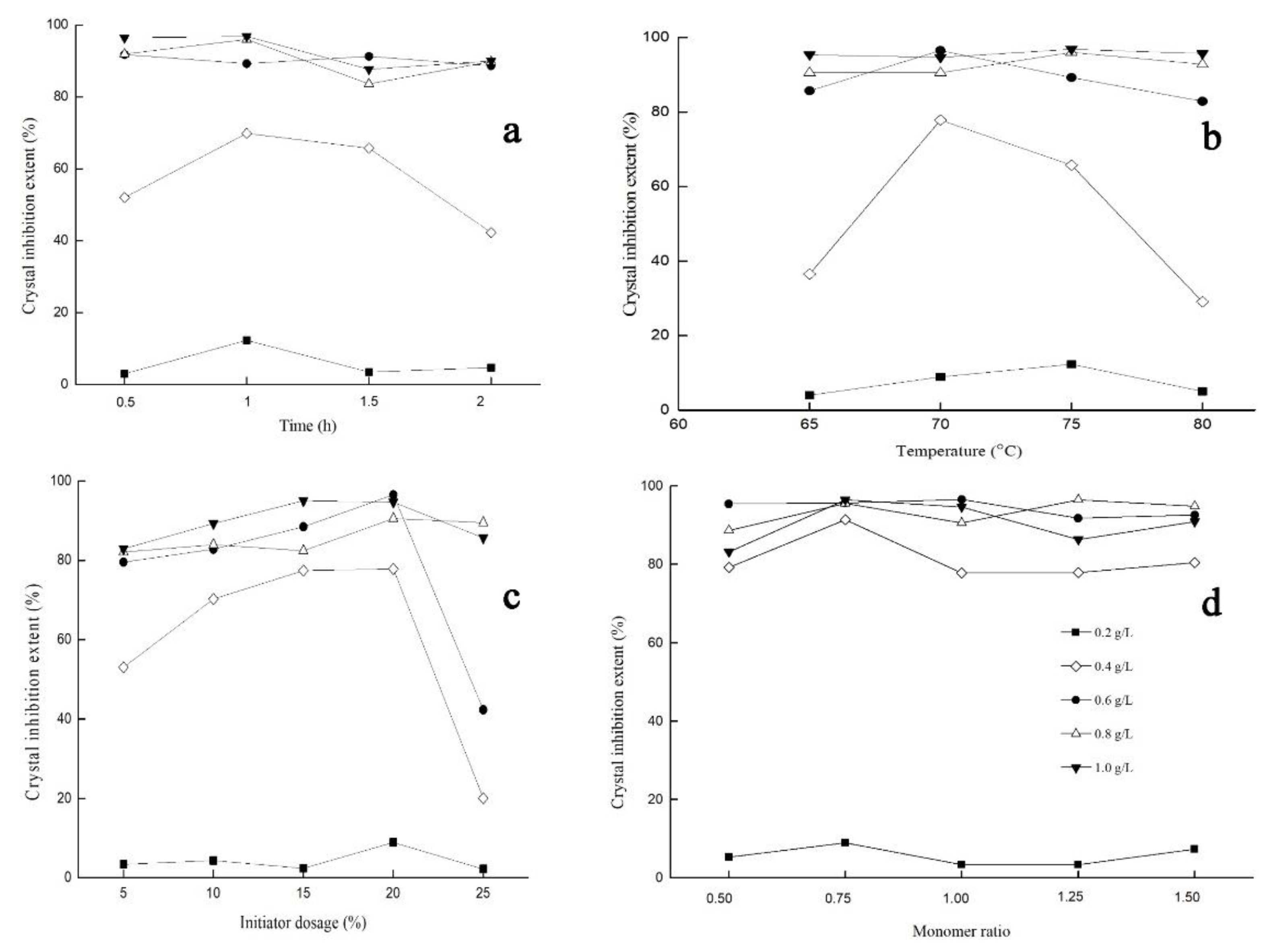
3.1. Single Factor Experiments
3.2. Response Surface Model Analysis
3.2.1. Analysis of Variance of Regression Equation Model and Factors
3.2.2. Interaction

3.3. Effect of MBFA on Particle-Size Distribution of Calcium Phosphate
3.4. FT-IR Analyses
3.5. XRD Analyses
3.6. SEM Imaging
4. Conclusions
Author Contributions
Funding
Institutional Review Board Statement
Informed Consent Statement
Data Availability Statement
Conflicts of Interest
References
- Wang, X.L.; Chen, Y.Q.; Sui, P.; Gao, W.S.; Qin, F.; Zhang, J.S.; Wu, X. Emergy analysis of grain production systems on large-scale farms in the North China Plain based on LCA. Agric. Syst. 2014, 128, 66–78. [Google Scholar] [CrossRef]
- Wang, J.X.; Li, Y.R.; Huang, J.K.; Yan, T.T.; Sun, T.H. Growing water scarcity, food security and government responses in China. Glob. Food Secur. Agric. Policy 2017, 14, 9–17. [Google Scholar] [CrossRef]
- Wang, X.L.; Chen, Y.Q.; Sui, P.; Yan, P.; Yang, X.L.; Gao, W.S. Preliminary analysis on economic and environmental consequences of grain production on different farm sizes in North China Plain. Agric. Syst. 2017, 153, 181–189. [Google Scholar] [CrossRef]
- Wang, X.L.; Tan, K.M.; Chen, Y.Q.; Chen, Y.; Shen, X.F.; Zhang, L.; Dong, C.X. Emergy-based analysis of grain production and trade in China during 2000–2015. J. Clean Prod. 2018, 193, 59–71. [Google Scholar] [CrossRef]
- Xu, Z.C.; Chen, X.Z.; Wu, S.R.; Gong, M.M.; Du, Y.Y.; Wang, J.Y.; Li, Y.K.; Liu, J.G. Spatial-temporal assessment of water footprint, water scarcity and crop water productivity in a major crop production region. J. Clean Prod. 2019, 224, 375–383. [Google Scholar] [CrossRef]
- Huang, J.; Xu, C.C.; Ridoutt, B.G.; Wang, X.C.; Ren, P.A. Nitrogen and phosphorus losses and eutrophication potential associated with fertilizer application to cropland in China. J. Clean Prod. 2017, 159, 171–179. [Google Scholar] [CrossRef]
- Sun, Y.D.; Hu, R.F.; Zhang, C. Does the adoption of complex fertilizers contribute to fertilizer overuse? Evidence from rice production in China. J. Clean Prod. 2019, 219, 677–685. [Google Scholar] [CrossRef]
- Zhang, F.F.; Wang, Q.S.; Hong, J.F.; Chen, W.; Qi, C.C.; Ye, L.P. Life cycle assessment of diammonium- and monoammonium-phosphate fertilizer production in China. J. Clean Prod. 2017, 141, 1087–1094. [Google Scholar] [CrossRef]
- Jiang, Y. China’s water scarcity. J. Environ. Manag. 2009, 90, 3185–3196. [Google Scholar] [CrossRef]
- Cai, B.M.; Zhang, W.; Hubacek, K.; Feng, K.S.; Li, Z.L.; Liu, Y.W.; Liu, Y. Drivers of virtual water flows on regional water scarcity in China. J. Clean Prod. 2019, 207, 1112–1122. [Google Scholar] [CrossRef]
- Huang, F.; Liu, Z.; Ridoutt, B.G.; Huang, J.; Li, B.G. China’s water for food under growing water scarcity. Food Secur. 2015, 7, 933–949. [Google Scholar] [CrossRef]
- Angold, Y.V.; Zharkov, V.A. Special features of drip-sprinkler irrigation technology. Water Sci. Technol. Water Supply 2014, 14, 841–849. [Google Scholar] [CrossRef]
- Angold, Y.V.; Zharkov, V.A.; Kalashnikov, A.A.; Balgabayev, N.N. Features of impulse sprinkling technology. Water Sci. Technol. Water Supply 2016, 16, 1178–1184. [Google Scholar] [CrossRef]
- Wang, J.W.; Niu, W.Q.; Guo, L.L.; Liu, L.; Li, Y.; Dyck, M. Drip irrigation with film mulch improves soil alkaline phosphatase and phosphorus uptake. Agric. Water Manag. 2018, 201, 258–267. [Google Scholar] [CrossRef]
- Jordan, C.; Donoso, G.; Speelman, S. Measuring the effect of improved irrigation technologies on irrigated agriculture. A study case in Central Chile. Agric. Water Manage. 2021, 257, 107160. [Google Scholar] [CrossRef]
- Muhammad, T.; Zhou, B.; Liu, Z.Y.; Chen, X.Z.; Li, Y.K. Effects of phosphorus-fertigation on emitter clogging in drip irrigation system with saline water. Agric. Water Manag. 2021, 243, 106392. [Google Scholar] [CrossRef]
- Rizk, N.; Ait-Mouheb, N.; Bourrie, G.; Molle, B.; Roche, N. Parameters controlling chemical deposits in micro-irrigation with treated wastewater. J. Water Supply Res. Technol. Aqua 2017, 66, 587–597. [Google Scholar] [CrossRef] [Green Version]
- Wang, Z.; Li, J.S.; Yang, X.Q. Determining injection strategies of phosphorus-coupled nitrogen fertigation based on clogging control of drip emitters with saline water application. Irrig. Drain. 2021, 70, 1010–1026. [Google Scholar] [CrossRef]
- Yao, C.P.; Zhang, L.; Wu, P.T.; Liu, Y.; Cai, Y.H. Clogging formation and an anti-clogging method in subsurface irrigation system with porous ceramic emitter. Agric. Water Manag. 2021, 250, 106770. [Google Scholar] [CrossRef]
- Peragón, J.M.; Pérez-Latorre, F.J.; Delgado, A. A GIS-based tool for integrated management of clogging risk and nitrogen fertilization in drip irrigation. Agric. Water Manag. 2017, 184, 86–95. [Google Scholar] [CrossRef]
- Machado, W.; Franchini, J.C.; Guimaraes, M.D.; Tavares, J. Spectroscopic characterization of humic and fulvic acids in soil aggregates, Brazil. Heliyon 2020, 6, e04078. [Google Scholar] [CrossRef] [PubMed]
- Chua, S.F.; Nouri, A.; Ang, W.L.; Mahmoudi, E.; Mohammad, A.W.; Benamor, A.; Ba-Abbad, M. The emergence of multifunctional adsorbents and their role in environmental remediation. J. Environ. Chem. Eng. 2020, 9, 104793. [Google Scholar] [CrossRef]
- Ge, X.F.; Wang, L.J.; Zhang, W.J.; Putnis, C.V. Molecular Understanding of Humic Acid-Limited Phosphate Precipitation and Transformation. Environ. Sci. Technol. 2020, 54, 207–215. [Google Scholar] [CrossRef] [PubMed]
- Fizer, M.; Sidey, V.; Milyovich, S.; Fizer, O. DFT study of fulvic acid binding with bivalent metals: Cd, Cu, Mg, Ni, Pb, Zn. J. Mol. Graph. 2020, 102, 107800. [Google Scholar] [CrossRef] [PubMed]
- Satisha, G.C.; Devarajan, L. Humic substances and their complexation with phosphorus and calcium during composting of pressmud and other biodegradables. Commun. Soil Sci. Plant Anal. 2005, 36, 805–818. [Google Scholar] [CrossRef]
- Xu, D.; Wang, X.K.; Chen, C.L.; Zhou, X.; Tan, X.L. Influence of soil humic acid and fulvic acid on sorption of thorium (IV) on MX-80 bentonite. Radiochim. Acta 2006, 94, 429–434. [Google Scholar] [CrossRef]
- Sherrod, L.A.; Vigil, M.F.; Stewart, C.E. Do Fulvic, Humic, and Humin Carbon Fractions Represent Meaningful Biological, Physical, and Chemical Carbon Pools? J. Environ. Qual. 2019, 48, 1587–1593. [Google Scholar] [CrossRef]
- Zhang, J.; Yin, H.L.; Wang, H.; Xu, L.; Samuel, B.; Chang, J.J.; Liu, F.; Chen, H.H. Molecular structure-reactivity correlations of humic acid and humin fractions from a typical black soil for hexavalent chromium reduction. Sci. Total Environ. 2019, 651, 2975–2984. [Google Scholar] [CrossRef]
- Kapoore, R.V.; Wood, E.E.; Llewellyn, C.A. Algae biostimulants: A critical look at microalgal biostimulants for sustainable agricultural practices. Biotechnol. Adv. 2021, 49, 107754. [Google Scholar] [CrossRef]
- Xu, D.D.; Deng, Y.Z.; Xi, P.G.; Yu, G.; Wang, Q.; Zeng, Q.Q.; Jiang, Z.D.; Gao, L.W. Fulvic acid-induced disease resistance to Botrytis cinerea in table grapes may be mediated by regulating phenylpropanoid metabolism. Food Chem. 2019, 286, 226–233. [Google Scholar] [CrossRef]
- Guo, X.X.; Liu, H.T.; Wu, S.B. Humic substances developed during organic waste composting: Formation mechanisms, structural properties, and agronomic functions. Sci. Total Environ. 2019, 662, 501–510. [Google Scholar] [CrossRef]
- Huang, J.B.; Lu, Y.Y.; Li, Q.L.; Guo, X.B.; Shan, G.C. The influence of flue gas desulphurization gypsum additive on characteristics and evolution of humic substance during co-composting of dairy manure and sugarcane pressmud. Bioresour. Technol. 2016, 219, 169–174. [Google Scholar]
- Jindo, K.; Sonoki, T.; Matsumoto, K.; Canellas, L.; Roig, A.; Sanchez-Monedero, M.A. Influence of biochar addition on the humic substances of composting manures. Waste Manag. 2016, 49, 545–552. [Google Scholar] [CrossRef]
- Liu, Y.; Mao, J.X.; Wei, X.D.; Yi, M.; Zhang, X.L.; Zheng, K.; Chen, X.X.; Wang, G.Z.; Chen, B.B. Effects of Biotechnologically Produced Fulvic Acid on Nutritional Status and Health Indicators of Sprague-Dawley Rats. Pakistan J. Zool. 2019, 53, 961–970. [Google Scholar] [CrossRef]
- Yang, T.; Hodson, M.E. Investigating the use of synthetic humic-like acid as a soil washing treatment for metal contaminated soil. Sci. Total Environ. 2019, 647, 290–300. [Google Scholar] [CrossRef]
- Boguta, P.; D’Orazio, V.; Senesi, N.; Sokolowska, Z.; Szewczuk-Karpisz, K. Insight into the interaction mechanism of iron ions with soil humic acids. The effect of the pH and chemical properties of humic acids. J. Environ. Manag. 2019, 245, 367–374. [Google Scholar] [CrossRef]
- Hua, Q.X.; Nie, Z.H.; Luo, Y.H.; Feng, X.M.; Wang, B.M.; Tang, J.W.; Liu, Y. Preparation of modified mineralized fulvic acid for inhibition of crystallization of calcium phosphate. Chem. Pap. 2022, 76, 203–211. [Google Scholar] [CrossRef]
- Eldahab, H.M.M.A.; Hassan, R.S.; Shehata, F.A.; El-Reefy, S.A.; Mohamed, S.A. Grafting copolymerization of sodium alginate/acrylic acid/methacrylic acid by gamma radiation: Preparation and characterization. Arab J. Nucl. Sci. Appl. 2021, 54, 1–8. [Google Scholar]
- Zhu, H.S.; Duan, S.X.; Chen, L.; Alsaedi, A.; Hayat, T.; Li, J.X. Plasma-induced grafting of acrylic acid on bentonite for the removal of U (VI) from aqueous solution. Plasma Sci. Technol. 2017, 19, 115501. [Google Scholar] [CrossRef]
- Lin, Z.S.; Decker, E.A.; Goddard, J.M. Preparation of metal chelating active packaging materials by laminated photografting. J. Coat. Technol. Res. 2016, 13, 395–404. [Google Scholar] [CrossRef]
- Guo, M.L.; Chen, H.N.; Luo, Z.W.; Lian, Z.Y.; Wei, W. Selective Removal of Pb (II) Ions from Aqueous Solutions by Acrylic Acid/Acrylamide Comonomer Grafted Polypropylene Fibers. Fiber. Polym. 2017, 18, 1459–1467. [Google Scholar] [CrossRef]
- Pandey, S.; Mishra, S.B. Graft copolymerization of ethylacrylate onto xanthan gum, using potassium peroxydisulfate as an initiator. Int. J. Biol. Macromol. 2011, 49, 527–535. [Google Scholar] [CrossRef]
- Mohamed, M.F.; Essawy, H.A.; Ammar, N.S.; Ibrahim, H.S. Potassium fulvate-modified graft copolymer of acrylic acid onto cellulose as efficient chelating polymeric sorbent. Int. J. Biol. Macromol. 2017, 94, 771–780. [Google Scholar] [CrossRef]
- Gupta, A.; Sharma, V.; Sharma, K.; Kumar, V.; Choudhary, S.; Mankotia, P.; Kumar, B.; Mishra, H.; Moulick, A.; Ekielski, A. A Review of Adsorbents for Heavy Metal Decontamination: Growing Approach to Wastewater Treatment. Materials 2021, 14, 4702. [Google Scholar] [CrossRef]
- Mohamed, M.F.; Zhou, X.J.; Ibrahim, H.S.; Ammar, N.S.; Essawy, H.A. Grafting polymerization of acrylic acid onto chitosan-cellulose hybrid and application of the graft as highly efficient ligand for elimination of water hardness: Validation of high selectivity in presence of interfering ions. Int. J. Biol. Macromol. 2018, 116, 530–536. [Google Scholar] [CrossRef]
- Essawy, H.A.; Mohamed, M.F.; Ammar, N.S.; Ibrahim, H.S. The promise of a specially-designed graft copolymer of acrylic acid onto cellulose as selective sorbent for heavy metal ions. Int. J. Biol. Macromol. 2017, 103, 261–267. [Google Scholar] [CrossRef]
- He, J.F.; Zhu, L.T.; Liu, C.G.; Bai, Q. Optimization of the oil agglomeration for high-ash content coal slime based on design and analysis of response surface methodology (RSM). Fuel 2019, 254, 115560. [Google Scholar] [CrossRef]
- Li, H.; van den Driesche, S.; Bunge, F.; Yang, B.; Vellekoop, M.J. Optimization of on-chip bacterial culture conditions using the Box-Behnken design response surface methodology for faster drug susceptibility screening. Talanta 2019, 194, 627–633. [Google Scholar] [CrossRef] [PubMed]





| Parameters | Codes | Levels | ||
|---|---|---|---|---|
| −1 | 0 | 1 | ||
| temperature/°C | X1 | 60 | 70 | 80 |
| monomer ratio | X2 | 0.50 | 0.75 | 1.00 |
| initiator dosage/wt % | X3 | 15 | 20 | 25 |
| Run No. | X1 (°C) | X2 (g/g) | X3 (wt %) | Exp-Y (%) | Pre-Y (%) |
|---|---|---|---|---|---|
| 1 | 70 | 0.75 | 20.00 | 97.14 | 97.01 |
| 2 | 80 | 0.75 | 15.00 | 90.24 | 90.62 |
| 3 | 60 | 0.75 | 25.00 | 92.36 | 91.98 |
| 4 | 80 | 1.00 | 20.00 | 87.79 | 87.80 |
| 5 | 70 | 0.50 | 15.00 | 94.47 | 94.51 |
| 6 | 70 | 0.50 | 25.00 | 93.91 | 94.30 |
| 7 | 80 | 0.50 | 20.00 | 88.46 | 88.04 |
| 8 | 80 | 0.75 | 25.00 | 89.54 | 89.57 |
| 9 | 70 | 0.75 | 20.00 | 97.35 | 97.01 |
| 10 | 60 | 0.50 | 20.00 | 90.88 | 90.87 |
| 11 | 70 | 0.75 | 20.00 | 96.59 | 97.01 |
| 12 | 70 | 1.00 | 25.00 | 92.82 | 92.78 |
| 13 | 70 | 0.75 | 20.00 | 96.92 | 97.01 |
| 14 | 60 | 0.75 | 15.00 | 91.29 | 91.26 |
| 15 | 70 | 0.75 | 20.00 | 97.05 | 97.01 |
| 16 | 70 | 1.00 | 15.00 | 93.30 | 92.91 |
| 17 | 60 | 1.00 | 20.00 | 87.58 | 88.00 |
| Source | Sum of Squares | df | Mean Square | F-Value | p-Value | Significant |
|---|---|---|---|---|---|---|
| Model | 186.46 | 9 | 20.72 | 113.56 | <0.0001 | Significant |
| X1 | 4.62 | 1 | 4.62 | 25.33 | 0.0015 | |
| X2 | 4.85 | 1 | 4.85 | 26.59 | 0.0013 | |
| X3 | 0.0561 | 1 | 0.0561 | 0.3076 | 0.5964 | |
| X1X2 | 1.73 | 1 | 1.73 | 9.48 | 0.0178 | |
| X1X3 | 0.7832 | 1 | 0.7832 | 4.29 | 0.0770 | |
| X2X3 | 0.0016 | 1 | 0.0016 | 0.0088 | 0.9280 | |
| X12 | 129.69 | 1 | 129.69 | 710.89 | <0.0001 | |
| X22 | 32.60 | 1 | 32.60 | 178.69 | <0.0001 | |
| X32 | 1.53 | 1 | 1.53 | 8.38 | 0.0232 | |
| Residual | 1.28 | 7 | 0.1824 | |||
| Lack of Fit | 0.9585 | 3 | 0.3195 | 4.01 | 0.1065 | Not significant |
| Pure Error | 0.3186 | 4 | 0.0797 | |||
| Cor Total | 187.74 | 16 | ||||
| R2 | 0.9932 | Predicted R2 | 0.9157 | |||
| AdjustedR2 | 0.9845 | Adeq Precision | 28.1256 | |||
Publisher’s Note: MDPI stays neutral with regard to jurisdictional claims in published maps and institutional affiliations. |
© 2022 by the authors. Licensee MDPI, Basel, Switzerland. This article is an open access article distributed under the terms and conditions of the Creative Commons Attribution (CC BY) license (https://creativecommons.org/licenses/by/4.0/).
Share and Cite
Li, J.; Nie, Z.; Fan, Z.; Li, C.; Liu, B.; Hua, Q.; Hou, C. Biochemical Fulvic Acid Modification for Phosphate Crystal Inhibition in Water and Fertilizer Integration. Materials 2022, 15, 1174. https://doi.org/10.3390/ma15031174
Li J, Nie Z, Fan Z, Li C, Liu B, Hua Q, Hou C. Biochemical Fulvic Acid Modification for Phosphate Crystal Inhibition in Water and Fertilizer Integration. Materials. 2022; 15(3):1174. https://doi.org/10.3390/ma15031174
Chicago/Turabian StyleLi, Jianyun, Zihan Nie, Zhao Fan, Chunguang Li, Bingbing Liu, Quanxian Hua, and Cuihong Hou. 2022. "Biochemical Fulvic Acid Modification for Phosphate Crystal Inhibition in Water and Fertilizer Integration" Materials 15, no. 3: 1174. https://doi.org/10.3390/ma15031174
APA StyleLi, J., Nie, Z., Fan, Z., Li, C., Liu, B., Hua, Q., & Hou, C. (2022). Biochemical Fulvic Acid Modification for Phosphate Crystal Inhibition in Water and Fertilizer Integration. Materials, 15(3), 1174. https://doi.org/10.3390/ma15031174

