Development and Analysis of a Hydroxyapatite Supplemented Calcium Silicate Cement for Endodontic Treatment
Abstract
1. Introduction
2. Materials and Methods
2.1. Preparation of BHA Powders
2.2. Preparation of Cements
2.2.1. Chemical Characterisation
Inductively Coupled Plasma Mass Spectrometry (ICP-MS)
Fourier Transform Infrared Spectroscopy (FT-IR)
Scanning Electron Microscopy (SEM) and Energy Dispersive X-Ray Spectroscopy (EDX) Analysis
2.2.2. Mechanical and Physicochemical Properties
Compressive Strength
Radiopacity
Setting Time
Solubility and pH
2.2.3. In Vitro Biocompatibility Testing
Cement Disc Preparation and Sterilisation
Cell Culture
Cell Proliferation Assay
LIVE/DEAD Assay
Statistical Analyses
3. Results
3.1. Chemical Characterisation
3.1.1. ICP-MS Analysis
3.1.2. Fourier Transform Infrared Spectroscopy (FTIR)
3.1.3. SEM and EDX Analysis
3.2. Mechanical and Physicochemical Properties
3.2.1. Compressive Strength
3.2.2. Radiopacity
3.2.3. Setting Time
3.2.4. Solubility and pH
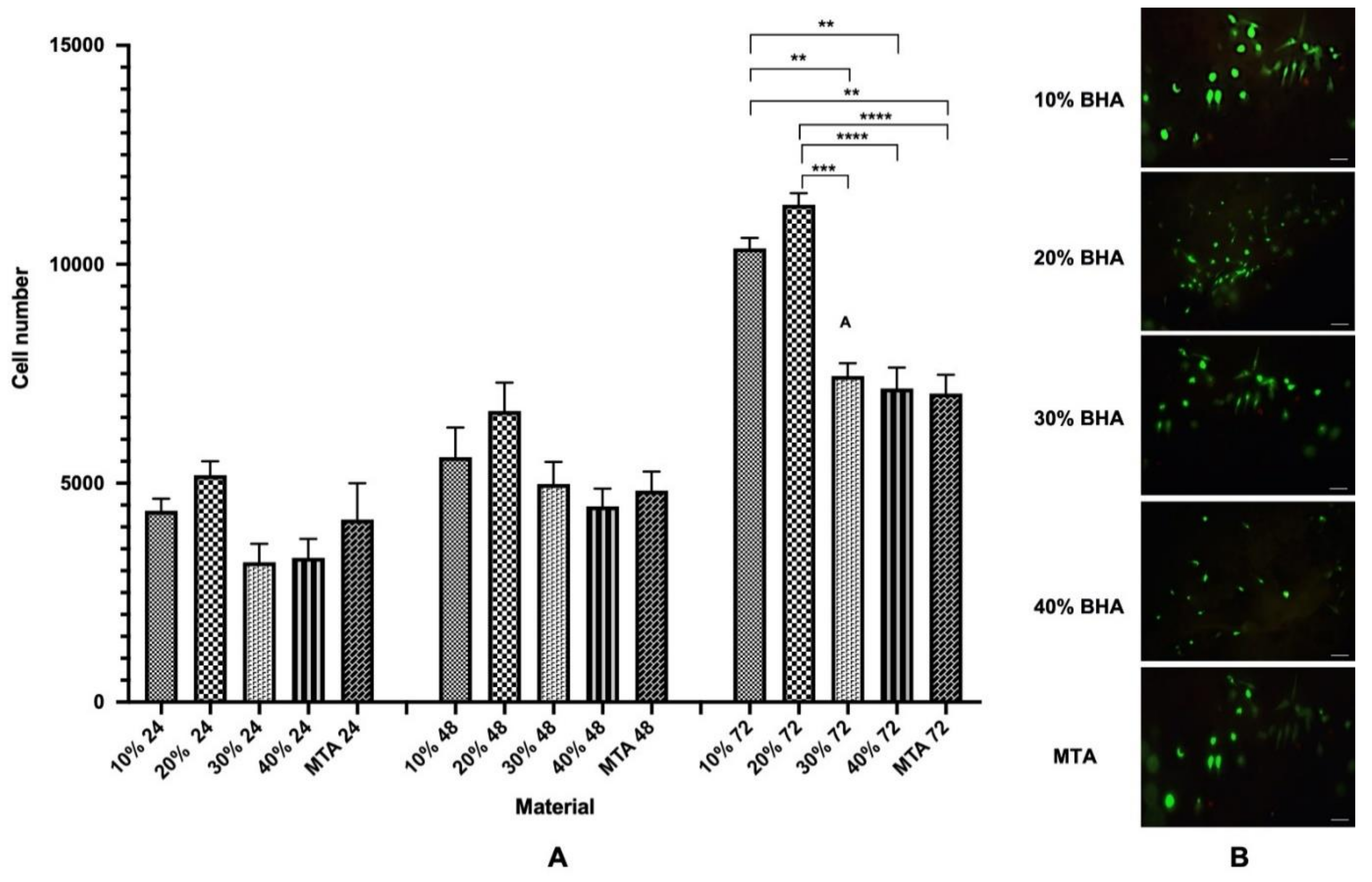
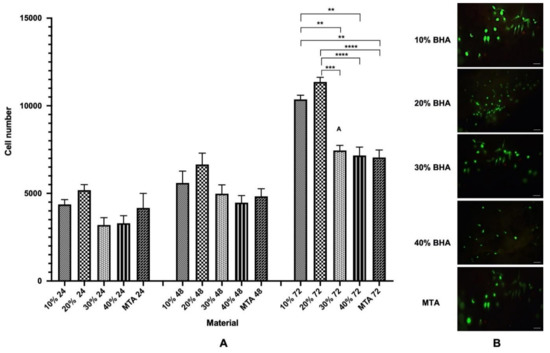
3.3. In Vitro Biocompatibility Testing
Cell Proliferation Assay and LIVE/DEAD Assay
4. Discussion
5. Conclusions
Author Contributions
Funding
Institutional Review Board Statement
Informed Consent Statement
Data Availability Statement
Acknowledgments
Conflicts of Interest
References
- Mente, J.; Hage, N.; Pfefferle, T.; Koch, M.J.; Geletneky, B.; Dreyhaupt, J.; Martin, N.; Staehle, H.J. Treatment outcome of mineral trioxide aggregate: Repair of root perforations. J. Endod. 2010, 36, 208–213. [Google Scholar] [CrossRef] [PubMed]
- Bonte, E.; Beslot, A.; Boukpessi, T.; Lasfargues, J.J. MTA versus Ca(OH)2 in apexification of non-vital immature permanent teeth: A randomized clinical trial comparison. Clin. Oral Investig. 2015, 19, 1381–1388. [Google Scholar] [CrossRef] [PubMed]
- Iandolo, A.; Ametrano, G.; Amato, M.; Rengo, S.; Simeone, M. IG-File: A novel tool to improve root canal cleaning and measurement of the apical foramen. Giornale Italiano Di Endodonzia 2011, 25, 72–81. [Google Scholar] [CrossRef]
- Iandolo, A.; Dagna, A.; Poggio, C.; Capar, I.; Amato, A.; Abdellatif, D. Evaluation of the actual chlorine concentration and the required time for pulp dissolution using different sodium hypochlorite irrigating solutions. J. Conserv. Dent. JCD 2019, 22, 108. [Google Scholar] [CrossRef] [PubMed]
- Chong, B.S.; Pitt Ford, T.R.; Hudson, M.B. A prospective clinical study of Mineral Trioxide Aggregate and IRM when used as root-end filling materials in endodontic surgery. Int. Endod. J. 2003, 36, 520–526. [Google Scholar] [CrossRef]
- von Arx, T.; Jensen, S.S.; Janner, S.F.M.; Hanni, S.; Bornstein, M.M. A 10-year Follow-up Study of 119 Teeth Treated with Apical Surgery and Root-end Filling with Mineral Trioxide Aggregate. J. Endod. 2019, 45, 394–401. [Google Scholar] [CrossRef]
- Mente, J.; Hufnagel, S.; Leo, M.; Michel, A.; Gehrig, H.; Panagidis, D.; Saure, D.; Pfefferle, T. Treatment outcome of mineral trioxide aggregate or calcium hydroxide direct pulp capping: Long-term results. J Endod. 2014, 40, 1746–1751. [Google Scholar] [CrossRef]
- Nair, P.N.; Duncan, H.F.; Pitt Ford, T.R.; Luder, H.U. Histological, ultrastructural and quantitative investigations on the response of healthy human pulps to experimental capping with mineral trioxide aggregate: A randomized controlled trial. Int. Endod. J. 2008, 41, 128–150. [Google Scholar]
- Lawrence, C.D. The Constitution and Specification of Portland Cements. Lea’s Chemistry of Cement and Concrete; Elsevier: Amsterdam, The Netherlands, 1998; pp. 131–193. [Google Scholar]
- Coomaraswamy, K.S. Systematic Analysis of Mineral Trioxide Aggregate Using a Model Cement System. Ph.D. Thesis, University of Birmingham, Birmingham, UK, 2017. [Google Scholar]
- Camilleri, J. Characterization of hydration products of mineral trioxide aggregate. Int. Endod. J. 2008, 41, 408–417. [Google Scholar] [CrossRef]
- Giraud, T.; Jeanneau, C.; Rombouts, C.; Bakhtiar, H.; Laurent, P.; About, I. Pulp capping materials modulate the balance between inflammation and regeneration. Dent. Mater. 2019, 35, 24–35. [Google Scholar] [CrossRef]
- Darvell, B.W.; Wu, R.C.T. “MTA”—An hydraulic silicate cement: Review update and setting reaction. Dent. Mater. 2011, 27, 407–422. [Google Scholar] [CrossRef] [PubMed]
- Parirokh, M.; Torabinejad, M. Mineral trioxide aggregate: A comprehensive literature review—Part III: Clinical applications, drawbacks, and mechanism of action. J. Endod. 2010, 36, 400–413. [Google Scholar] [CrossRef] [PubMed]
- Wongkornchaowalit, N.; Lertchirakarn, V. Setting time and flowability of accelerated Portland cement mixed with polycarboxylate superplasticizer. J. Endod. 2011, 37, 387–389. [Google Scholar] [CrossRef]
- Marciano, M.A.; Costa, R.M.; Camilleri, J.; Mondelli, R.F.; Guimaraes, B.M.; Duarte, M.A. Assessment of color stability of white mineral trioxide aggregate angelus and bismuth oxide in contact with tooth structure. J. Endod. 2014, 40, 1235–1240. [Google Scholar] [CrossRef] [PubMed]
- Zamparini, F.; Siboni, F.; Prati, C.; Taddei, P.; Gandolfi, M.G. Properties of calcium silicate-monobasic calcium phosphate materials for endodontics containing tantalum pentoxide and zirconium oxide. Clin. Oral Investig. 2019, 23, 445–457. [Google Scholar] [CrossRef]
- Ambard, A.J.; Mueninghoff, L. Calcium phosphate cement: Review of mechanical and biological properties. J. Prosthodont. 2006, 15, 321–328. [Google Scholar] [CrossRef] [PubMed]
- Prati, C.; Gandolfi, M.G. Calcium silicate bioactive cements: Biological perspectives and clinical applications. Dent. Mater. 2015, 31, 351–370. [Google Scholar] [CrossRef]
- Lu, D.; Zhou, S. High Strength Biological Cement Composition and Using the Same. Google Patents US20070098811A1, 23 May 2007. [Google Scholar]
- Zhou, S.; Ma, J.; Shen, Y.; Haapasalo, M.; Ruse, N.D.; Yang, Q.; Troczynski, T. In vitro studies of calcium phosphate silicate bone cements. J. Mater. Sci. Mater. Med. 2013, 24, 355–364. [Google Scholar] [CrossRef]
- Schembri-Wismayer, P.; Camilleri, J. Why Biphasic? Assessment of the Effect on Cell Proliferation and Expression. J. Endod. 2017, 43, 751–759. [Google Scholar] [CrossRef]
- Alliot-Licht, B.; Jean, A.; Gregoire, M. Comparative effect of calcium hydroxide and hydroxyapatite on the cellular activity of human pulp fibroblasts in vitro. Arch. Oral Biol. 1994, 39, 481–489. [Google Scholar] [CrossRef]
- Hayashi, Y.; Imai, M.; Yanagiguchi, K.; Viloria, I.L.; Ikeda, T. Hydroxyapatite applied as direct pulp capping medicine substitutes for osteodentin. J. Endod. 1999, 25, 225–259. [Google Scholar] [CrossRef]
- Shayegan, A.; Atash, R.; Petein, M.; Vanden Abbeele, A. Nanohydroxyapatite Used as a Pulpotomy and Direct Pulp Capping Agent in Primary Pig Teeth. J. Dent. Child. 2010, 77, 77–83. [Google Scholar]
- Zaen El-Din, A.M.; Hamama, H.H.; Abo El-Elaa, M.A.; Grawish, M.E.; Mahmoud, S.H.; Neelakantan, P. The effect of four materials on direct pulp capping: An animal study. Aust. Endod. J. 2020, 46, 249–256. [Google Scholar] [CrossRef] [PubMed]
- Frank, R.M.; Wiedemann, P.; Hemmerle, J.; Freymann, M. Pulp Capping with Synthetic Hydroxyapatite in Human Premolars. J. Appl. Biomater. 1991, 2, 243–250. [Google Scholar] [CrossRef]
- Swarup, S.J.; Rao, A.; Boaz, K.; Srikant, N.; Shenoy, R. Pulpal Response to Nano Hydroxyapatite, Mineral Trioxide Aggregate and Calcium Hydroxide when Used as a Direct Pulp Capping Agent: An in Vivo study. J. Clin. Pediatric Dent. 2014, 38, 201–206. [Google Scholar] [CrossRef]
- Kantharia, N.; Naik, S.; Apte, S.; Kheur, M.; Kheur, S.; Kale, B. Nano-hydroxyapatite and its contemporary applications. Bone 2014, 34, 15. [Google Scholar] [CrossRef]
- Moreno-Vargas, Y.A.; Luna-Arias, J.P.; Flores-Flores, J.O.; Orozco, E.; Bucio, L. Hydration reactions and physicochemical properties in a novel tricalcium-dicalcium silicate-based cement containing hydroxyapatite nanoparticles and calcite: A comparative study. Ceram. Int. 2017, 43, 13290–13298. [Google Scholar] [CrossRef]
- Guerreiro-Tanomaru, J.M.; Vazquez-Garcia, F.A.; Bosso-Martelo, R.; Bernardi, M.I.; Faria, G.; Tanomaru, M.F. Effect of addition of nano-hydroxyapatite on physico-chemical and antibiofilm properties of calcium silicate cements. J. Appl. Oral Sci. 2016, 24, 204–210. [Google Scholar] [CrossRef]
- Ratnayake, J.T.B.; Gould, M.L.; Shavandi, A.; Mucalo, M.; Dias, G.J. Development and characterization of a xenograft material from N ew Z ealand sourced bovine cancellous bone. J. Biomed. Mater. Res. Part B: Appl. Biomater. 2017, 105, 1054–1062. [Google Scholar] [CrossRef]
- Torabinejad, M.; Hong, C.U.; McDonald, F.; Pitt Ford, T.R. Physical and chemical properties of a new root-end filling material. J. Endod. 1995, 21, 349–353. [Google Scholar] [CrossRef]
- Huang, J.; Ratnayake, J.; Ramesh, N.; Dias, G.J. Development and Characterization of a Biocomposite Material from Chitosan and New Zealand-Sourced Bovine-Derived Hydroxyapatite for Bone Regeneration. ACS Omega 2020, 5, 16537–16546. [Google Scholar] [CrossRef] [PubMed]
- Ratnayake, J.T.; Ross, E.D.; Dias, G.J.; Shanafelt, K.M.; Taylor, S.S.; Gould, M.L.; Guan, G.; Cathro, P.R. Preparation, characterisation and in-vitro biocompatibility study of a bone graft developed from waste bovine teeth for bone regeneration. Mater. Today Commun. 2019, 22, 100732. [Google Scholar] [CrossRef]
- International Organization for Standardization. Dentistry. Part 1. Powder/Liquid Acid-Base Cements, 2nd ed.; International Standards Organization: Geneva, Switzerland, 2007. [Google Scholar]
- International Organization for Standardization. ISO-6876: Dental Root Canal Sealing Materials; International Standards Organization: Geneva, Switzerland, 2012. [Google Scholar]
- Borges, A.H.; Pedro, F.L.; Semanoff-Segundo, A.; Miranda, C.E.; Pecora, J.D.; Cruz Filho, A.M. Radiopacity evaluation of Portland and MTA-based cements by digital radiographic system. J. Appl. Oral Sci. 2011, 19, 228–232. [Google Scholar] [CrossRef] [PubMed][Green Version]
- Carvalho-Junior, J.R.; Correr-Sobrinho, L.; Correr, A.B.; Sinhoreti, M.A.; Consani, S.; Sousa-Neto, M.D. Solubility and dimensional change after setting of root canal sealers: A proposal for smaller dimensions of test samples. J. Endod. 2007, 33, 1110–1116. [Google Scholar] [CrossRef] [PubMed]
- Ochoa-Rodríguez, V.M.; Tanomaru-Filho, M.; Rodrigues, E.M.; Guerreiro-Tanomaru, J.M.; Spin-Neto, R.; Faria, G. Addition of zirconium oxide to Biodentine increases radiopacity and does not alter its physicochemical and biological properties. J. Appl. Oral Sci. 2019, 27, e20180429. [Google Scholar] [CrossRef] [PubMed]
- Ramesh, N.; Ratnayake, J.T.B.; Moratti, S.C.; Dias, G.J. Effect of chitosan infiltration on hydroxyapatite scaffolds derived from New Zealand bovine cancellous bones for bone regeneration. Int. J. Biol. Macromol. 2020, 160, 1009–1020. [Google Scholar] [CrossRef]
- Ylmén, R.; Jäglid, U.; Steenari, B.-M.; Panas, I. Early hydration and setting of Portland cement monitored by IR, SEM and Vicat techniques. Cem. Concr. Res. 2009, 39, 433–439. [Google Scholar] [CrossRef]
- Horti, N.C.; Kamatagi, M.D.; Nataraj, S.K.; Wari, M.N.; Inamdar, S.R. Structural and optical properties of zirconium oxide (ZrO2) nanoparticles: Effect of calcination temperature. Nano Express 2020, 1, 010022. [Google Scholar] [CrossRef]
- Primus, C.M. Comments on testing for the presence of arsenic in MTA and portland cement. Oral Surg. Oral Med. Oral Pathol. Oral Radiol. Endod. 2009, 108, 479–480. [Google Scholar] [CrossRef]
- Camilleri, J. Evaluation of the physical properties of an endodontic Portland cement incorporating alternative radiopacifiers used as root-end filling material. Int. Endod. J. 2010, 43, 231–240. [Google Scholar] [CrossRef]
- Grech, L.; Mallia, B.; Camilleri, J. Investigation of the physical properties of tricalcium silicate cement-based root-end filling materials. Dent. Mater. 2013, 29, e20–e28. [Google Scholar] [CrossRef] [PubMed]
- Torabinejad, M.; Watson, T.F.; Ford, T.R.P. Sealing Ability of a Mineral Trioxide Aggregate When Used as a Root End Filling Material. J. Endod. 1993, 19, 591–595. [Google Scholar] [CrossRef]
- Ford, T.R.P.; Torabinejad, M.; Abedi, H.R.; Bakland, L.K.; Kariyawasam, S.P. Using mineral trioxide aggregate—As a pulp-capping material. J. Am. Dent. Assoc. 1996, 127, 1491–1494. [Google Scholar] [CrossRef] [PubMed]
- Kogan, P.; He, J.N.; Glickman, G.N.; Watanabe, I. The effects of various additives on setting properties of MTA. J. Endod. 2006, 32, 569–572. [Google Scholar] [CrossRef] [PubMed]
- Camilleri, J.; Montesin, F.E.; Di Silvio, L.; Ford, T.R.P. The chemical constitution and biocompatibility of accelerated Portland cement for endodontic use. Int. Endod. J. 2005, 38, 834–842. [Google Scholar] [CrossRef] [PubMed]
- Koutroulis, A.; Batchelor, H.; Kuehne, S.A.; Cooper, P.R.; Camilleri, J. Investigation of the effect of the water to powder ratio on hydraulic cement properties. Dent. Mater. 2019, 35, 1146–1154. [Google Scholar] [CrossRef]
- Cavenago, B.C.; Pereira, T.; Duarte, M.A.H.; Ordinola-Zapata, R.; Marciano, M.; Bramante, C.; Bernardineli, N. Influence of powder-to-water ratio on radiopacity, setting time, pH, calcium ion release and a micro-CT volumetric solubility of white mineral trioxide aggregate. Int. Endod. J. 2013, 47, 120–126. [Google Scholar] [CrossRef]
- Tsujimoto, M.; Tsujimoto, Y.; Ookubo, A.; Shiraishi, T.; Watanabe, I.; Yamada, S.; Hayashi, Y. Timing for Composite Resin Placement on Mineral Trioxide Aggregate. J. Endod. 2013, 39, 1167–1170. [Google Scholar] [CrossRef]







| 1 g Powder | Liquid (g) | |
|---|---|---|
| PC65 | 0% HA: 65% PC: 35% Zr | 0.15 |
| NHA | 10% NHA: 55%PC: 35% Zr | 0.24 |
| BHA10% | 10% BHA: 55%PC: 35% Zr | 0.15 |
| BHA20% | 20% BHA: 45%PC: 35% Zr | 0.15 |
| BHA30% | 30% BHA: 35%PC: 35% Zr | 0.14 |
| BHA40% | 40% BHA: 25% PC: 35% Zr | 0.14 |
| Element (mg/kg) | BHA 10% | Maximum Limit (ISO 99107-1 2007) |
|---|---|---|
| Pb | 3.1 | 100 |
| Ca | 260,000 | |
| P | 14,000 | |
| Al | 8700 | |
| Fe | 8700 | |
| Mg | 3100 | |
| Na | 1100 | |
| Ba | 230 | |
| Zn | 49 | |
| Cr | 18 | |
| Ni | 10 | |
| Cd | 0.2 | |
| Hg | <0.006 |
Publisher’s Note: MDPI stays neutral with regard to jurisdictional claims in published maps and institutional affiliations. |
© 2022 by the authors. Licensee MDPI, Basel, Switzerland. This article is an open access article distributed under the terms and conditions of the Creative Commons Attribution (CC BY) license (https://creativecommons.org/licenses/by/4.0/).
Share and Cite
Yong, D.; Choi, J.J.E.; Cathro, P.; Cooper, P.R.; Dias, G.; Huang, J.; Ratnayake, J. Development and Analysis of a Hydroxyapatite Supplemented Calcium Silicate Cement for Endodontic Treatment. Materials 2022, 15, 1176. https://doi.org/10.3390/ma15031176
Yong D, Choi JJE, Cathro P, Cooper PR, Dias G, Huang J, Ratnayake J. Development and Analysis of a Hydroxyapatite Supplemented Calcium Silicate Cement for Endodontic Treatment. Materials. 2022; 15(3):1176. https://doi.org/10.3390/ma15031176
Chicago/Turabian StyleYong, David, Joanne Jung Eun Choi, Peter Cathro, Paul R. Cooper, George Dias, Jeffrey Huang, and Jithendra Ratnayake. 2022. "Development and Analysis of a Hydroxyapatite Supplemented Calcium Silicate Cement for Endodontic Treatment" Materials 15, no. 3: 1176. https://doi.org/10.3390/ma15031176
APA StyleYong, D., Choi, J. J. E., Cathro, P., Cooper, P. R., Dias, G., Huang, J., & Ratnayake, J. (2022). Development and Analysis of a Hydroxyapatite Supplemented Calcium Silicate Cement for Endodontic Treatment. Materials, 15(3), 1176. https://doi.org/10.3390/ma15031176

