Electromagnetic Shielding and Flame Retardancy of Composite Films Constructed with Cellulose and Graphene Nanoplates
Abstract
:1. Introduction
2. Experimental Section
2.1. Materials
2.2. Fabrication of Composite Films
2.3. Characterization
3. Results and Discussion
3.1. Structure and General Properties
3.2. Electromagnetic Shielding Performance
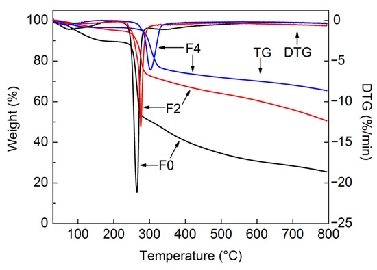
3.3. Thermal and Antiflaming Performance
4. Conclusions
Author Contributions
Funding
Institutional Review Board Statement
Informed Consent Statement
Data Availability Statement
Conflicts of Interest
References
- Cheng, C.; Liao, Z.; Huang, J.; Huang, S.; Fan, W. Incorporation of supramolecular polymer-functionalized graphene: Towards the development of bio-based high electrically conductive polymeric nanocomposites. Compos. Sci. Technol. 2017, 148, 89–96. [Google Scholar] [CrossRef]
- Dyatkin, B.; Presser, V.; Heon, M.; Lukatskaya, M.R.; Beidaghi, M.; Gogotsi, Y. Development of a green supercapacitor composed entirely of environmentally friendly materials. ChemSusChem 2013, 6, 2269–2280. [Google Scholar] [CrossRef] [PubMed]
- Gama, N.; Costa, L.C.; Amaral, V.; Ferreira, A.; Barros-Timmons, A. Insights into the physical properties of biobased polyurethane/expanded graphite composite foams. Compos. Sci. Technol. 2017, 138, 24–31. [Google Scholar] [CrossRef]
- You, J.; Li, M.; Ding, B.; Wu, X.; Li, C. Crab chitin-based 2D soft nanomaterials for fully biobased electric devices. Adv. Mater. 2017, 29, 1606895. [Google Scholar] [CrossRef] [PubMed]
- Garcia, A.M.; Martins, T.S.; Camilo, F.F. Free facile preparation of Ag-nanoparticles on cellulose membrane for catalysis. Cellulose 2021, 28, 4899–4911. [Google Scholar] [CrossRef]
- Kim, Y.; Song, Y.; Kim, H. Preparation of transparent cellulose film with controlled haze using halloysite nanotubes. Cellulose 2018, 25, 1239–1248. [Google Scholar] [CrossRef]
- Li, C.; Li, L.; Li, J.; Wu, X.; Qi, L.; Li, W. Fabrication and characterisation of viscose fibre with photoinduced heat-generating properties. Cellulose 2019, 26, 1631–1640. [Google Scholar] [CrossRef]
- Feng, C.; Ren, P.; Huo, M.; Dai, Z.; Liang, D.; Jin, Y.; Ren, F. Facile synthesis of trimethylammonium grafted cellulose foams with high capacity for selective adsorption of anionic dyes from water. Carbohydr. Polym. 2020, 241, 116369. [Google Scholar] [CrossRef]
- Geng, H. A one-step approach to make cellulose-based hydrogels of various transparency and swelling degrees. Carbohydr. Polym. 2018, 186, 208–216. [Google Scholar] [CrossRef]
- Yao, Y.; Jin, S.; Zou, H.; Li, L.; Ma, X.; Lv, G.; Gao, F.; Lv, X.; Shu, Q. Polymer-based lightweight materials for electromagnetic interference shielding: A review. J. Mater. Sci. 2021, 56, 6549–6580. [Google Scholar] [CrossRef]
- Sambyal, P.; Noh, S.J.; Hong, J.P.; Kim, W.N.; Iqbal, A.; Hwang, S.S.; Hong, S.M.; Koo, C.M. FeSiAl/metal core shell hybrid composite with high-performance electromagnetic interference shielding. Compos. Sci. Technol. 2019, 172, 66–73. [Google Scholar] [CrossRef]
- Kim, B.J.; Bae, K.M.; Lee, Y.S.; An, K.H.; Park, S.J. EMI shielding behaviors of Ni-coated MWCNTs-filled epoxy matrix nanocomposites. Surf. Coat. Technol. 2014, 242, 125–131. [Google Scholar] [CrossRef]
- Zeng, Z.; Chen, M.; Pei, Y.; Seyed Shahabadi, S.I.; Che, B.; Wang, P.; Lu, X. Ultra-light and flexible polyurethane/silver nanowire nanocomposites with unidirectional pores for highly effective electromagnetic shielding. ACS Appl. Mater. Interfaces 2017, 9, 32211–32219. [Google Scholar] [CrossRef]
- Fang, F.; Li, Y.; Xiao, H.; Hu, N.; Fu, S. Layer-structured silver nanowire/polyaniline composite film as a high performance X-band EMI shielding material. J. Mater. Chem. C 2016, 4, 4193–4203. [Google Scholar] [CrossRef]
- Kausar, A.; Ahmad, S.; Salman, S.M. Effectiveness of polystyrene/carbon nanotube composite in electromagnetic interference shielding materials: A review. Polym. Plast. Technol. Eng. 2017, 56, 1027–1042. [Google Scholar] [CrossRef]
- Chandra, R.B.; Shivamurthy, B.; Kulkarni, S.D.; Kumar, M.S. Hybrid polymer composites for EMI shielding application a review. Mater. Res. Express 2019, 6, 082008. [Google Scholar] [CrossRef]
- Im, J.S.; Kim, J.G.; Lee, S.H.; Lee, Y.S. Enhanced adhesion and dispersion of carbon nanotube in PANI/PEO electrospun fibers for shielding effectiveness of electromagnetic interference. Colloid. Surf. A 2010, 364, 151–157. [Google Scholar] [CrossRef]
- Patole, A.; Lubineau, G. Carbon nanotubes with silver nanoparticle decoration and conductive polymer coating for improving the electrical conductivity of polycarbonate composites. Carbon 2015, 81, 720–730. [Google Scholar] [CrossRef]
- Lee, S.H.; Yu, S.; Shahzad, F.; Hong, J.P.; Kim, W.N.; Park, C.; Hong, S.M.; Koo, C.M. Highly anisotropic Cu oblate ellipsoids incorporated polymer composites with excellent performance for broad band electromagnetic interference shielding. Compos. Sci. Technol. 2017, 144, 57–62. [Google Scholar] [CrossRef]
- Ghamdi, A.; Hartomy, O.; Solamy, F.; Atanasov, N.; Malinova, P.; Atanasova, G. Conductive carbon black/magnetite hybrid fillers in microwave absorbing composites based on natural rubber. Compos. Part B Eng. 2016, 96, 231–241. [Google Scholar] [CrossRef]
- Tang, L.; Han, J.; Jiang, Z.; Chen, S.; Wang, H. Flexible conductive polypyrrole nanocomposite membranes based on bacterial cellulose with amphiphobicity. Carbohydr. Polym. 2015, 117, 230–235. [Google Scholar] [CrossRef] [PubMed]
- Liew, S.Y.; Thielemans, W.; Walsh, D.A. Electrochemical capacitance of nanocomposite polypyrrole cellulose films. J. Phys. Chem. C 2010, 114, 17926–17933. [Google Scholar] [CrossRef]
- Shi, Z.; Gao, H.; Feng, J.; Ding, B.; Cao, X.; Kuga, S.; Wang, Y.; Zhang, L.; Cai, J. In situ synthesis of robust conductive cellulose/polypyrrole composite aerogels and their potential application in nerve regeneration. Angew. Chem. Int. Ed. 2014, 53, 5380–5384. [Google Scholar] [CrossRef] [PubMed]
- Zimmermann, R.; Müller, Y.; Freudenberg, U.; Jehnichen, D.; Potthast, A.; Rosenau, T.; Werner, C. Oxidation and structural changes in NMMO-regenerated cellulose films. Cellulose 2016, 23, 3535–3541. [Google Scholar] [CrossRef]
- Zhang, H.; Wu, J.; Zhang, J.; He, J. 1-Allyl-3-methylimidazolium chloride room temperature ionic liquid: A new and powerful nonderivatizing solvent for cellulose. Macromolecules 2005, 38, 8272–8277. [Google Scholar] [CrossRef]
- Guo, Z.; Ren, P.; Dai, Z.; Zong, Z.; Zhang, F.; Jin, Y.; Ren, F. Construction of interconnected and oriented graphene nanosheets networks in cellulose aerogel film for high efficiency electromagnetic interference shielding. Cellulose 2021, 28, 1–14. [Google Scholar] [CrossRef]
- Chen, J.; Xu, J.; Wang, K.; Qian, X.; Sun, R. Highly thermostable, flexible, and conductive films prepared from cellulose, graphite, and polypyrrole nanoparticles. ACS Appl. Mater. Inter. 2015, 7, 15641–15648. [Google Scholar] [CrossRef]
- Xia, F.; Farmer, D.B.; Lin, Y.; Avouris, P. Graphene field-effect transistors with high on/off current ratio and large transport band gap at room temperature. Nano Lett. 2010, 10, 715–718. [Google Scholar] [CrossRef] [Green Version]
- Zheng, Q.; Ip, W.H.; Lin, X.; Yousefi, N.; Yeung, K.; Li, Z.; Kim, J. Transparent conductive films consisting of ultralarge graphene sheets produced by Langmuir-Blodgett assembly. ACS Nano 2011, 5, 6039–6051. [Google Scholar] [CrossRef]
- Fan, Z.; Liu, R.; Cheng, X. Nonwoven composite endowed with electromagnetic shielding performance by graphene nanosheets adherence. J. Text. Inst. 2021, 7, 1–7. [Google Scholar] [CrossRef]
- Li, L.; Ma, Z.; Xu, P.; Zhou, B.; Li, Q.; Ma, J.; He, C.; Feng, Y.; Liu, C. Flexible and alternant-layered cellulose nanofiber/graphene film with superior thermal conductivity and efficient electromagnetic interference shielding. Compos. Part A-Appl. S. 2020, 139, 106134. [Google Scholar] [CrossRef]
- Yang, W.; Zhao, Z.; Wu, K.; Huang, R.; Liu, T.; Jiang, H.; Chen, F.; Fu, Q. Ultrathin flexible reduced graphene oxide/cellulose nanofiber composite films with strongly anisotropic thermal conductivity and efficient electromagnetic interference shielding. J. Mater. Chem. C 2017, 5, 3748–3756. [Google Scholar] [CrossRef]
- Cheng, C.; Guo, R.; Tan, L.; Lan, J.; Jiang, S.; Du, Z.; Zhao, L. A bio-based multi-functional composite film based on graphene and lotus fiber. Cellulose 2019, 26, 1811–1823. [Google Scholar] [CrossRef]
- Reddy, N.; Yang, Y. Properties of natural cellulose fibers from hop stems. Carbohydr. Polym. 2009, 77, 898–902. [Google Scholar] [CrossRef]
- Hsiao, S.; Ma, C.; Tien, H.; Liao, W.; Wang, Y.; Li, S.; Huang, Y. Using a non-covalent modification to prepare a high electromagnetic interference shielding performance graphene nanosheet/water-borne polyurethane composite. Carbon 2013, 60, 57–66. [Google Scholar] [CrossRef]
- Fan, Z.; Liu, R.; Cheng, X. Preparation and characterization of electromagnetic shielding composites based on graphene-nanosheets-loaded nonwoven fabric. Coatings 2021, 11, 424. [Google Scholar] [CrossRef]
- Yao, Y.; Jin, S.; Ma, X.; Yu, R.; Zou, H.; Wang, H.; Lv, X.; Shu, Q. Graphene-containing flexible polyurethane porous composites with improved electromagnetic shielding and flame retardancy. Compos. Sci. Technol. 2020, 200, 108457. [Google Scholar] [CrossRef]
- Tian, H.; Yao, Y.; Ma, S.; Fu, L.; Xiang, A.; Rajulu, A.V. Improved mechanical, thermal and flame resistant properties of flexible isocyanate-based polyimide foams by graphite incorporation. High Perform. Polym. 2018, 30, 1130–1138. [Google Scholar] [CrossRef]
- Rao, W.; Liao, W.; Wang, H.; Zhao, H.; Wang, Y. Flame-retardant and smokesuppressant flexible polyurethane foams based on reactive phosphorus-containing polyol and expandable graphite. J. Hazard. Mater. 2018, 360, 651–660. [Google Scholar] [CrossRef]










| Film Samples | F0 | F1 | F2 | F3 | F4 | 
|---|---|---|---|---|---|
| Wet thickness (mm) | 1.78 | 1.81 | 1.81 | 1.88 | 1.93 | 
| Dry thickness (mm) | 0.04 | 0.06 | 0.09 | 0.13 | 0.17 | 
| Planar density (g/m2) | 46.2 | 64.9 | 104.1 | 133.7 | 161.2 | 
| Tensile strength (MPa) | 69.4 | 54.1 | 39.7 | 25.8 | 11.3 | 
| Elongation at break (%) | 5.4 | 4.3 | 3.7 | 2.7 | 2.9 | 
| Materials | Method | Frequency (GHz) | EMI SE (dB) | Specific SE (dB·cm2/g) | Reference | 
|---|---|---|---|---|---|
| Lotus fiber/GE (1/2) film | Regeneration | 8.2–12.4 | 8.1 | - | [33] | 
| Cellulose/graphite (1/2) film | Regeneration | 1.5 | 17.4 | - | [27] | 
| Cellulose/GE (1/2) film | Regeneration | 1.5 | 22.3 | 1381.8 | This work | 
| Cellulose nanofiber/GE film | Vacuum filtration | 8.2–12.4 | 27.4 | 5700 | [31] | 
| Cellulose aerogel/GE film | Hot-pressing | 8.2–12.4 | 47.5 | 1384.2 | [26] | 
| Film Sample | F0 | F2 | F4 | 
|---|---|---|---|
| TTI/TTO (s) | 5/10 | 10/14 | Unignited | 
| pkHRR (kW/m2) | 19.4 | 15.13 | 5.29 | 
| THR0–600 (MJ/m2) | 0.63 | 2.85 | 2.03 | 
| pkSPR (m2/s) | <0.01 | <0.01 | <0.01 | 
| TSP0–600 (m2) | <0.1 | <0.1 | <0.1 | 
| LOI (%) | 17 | 29 | 38 | 
| Publisher’s Note: MDPI stays neutral with regard to jurisdictional claims in published maps and institutional affiliations. | 
© 2022 by the authors. Licensee MDPI, Basel, Switzerland. This article is an open access article distributed under the terms and conditions of the Creative Commons Attribution (CC BY) license (https://creativecommons.org/licenses/by/4.0/).
Share and Cite
Fan, Z.; Yu, Y.; Cheng, X.; Liu, R. Electromagnetic Shielding and Flame Retardancy of Composite Films Constructed with Cellulose and Graphene Nanoplates. Materials 2022, 15, 1088. https://doi.org/10.3390/ma15031088
Fan Z, Yu Y, Cheng X, Liu R. Electromagnetic Shielding and Flame Retardancy of Composite Films Constructed with Cellulose and Graphene Nanoplates. Materials. 2022; 15(3):1088. https://doi.org/10.3390/ma15031088
Chicago/Turabian StyleFan, Zuwei, Yuanyuan Yu, Xiaojie Cheng, and Rangtong Liu. 2022. "Electromagnetic Shielding and Flame Retardancy of Composite Films Constructed with Cellulose and Graphene Nanoplates" Materials 15, no. 3: 1088. https://doi.org/10.3390/ma15031088
APA StyleFan, Z., Yu, Y., Cheng, X., & Liu, R. (2022). Electromagnetic Shielding and Flame Retardancy of Composite Films Constructed with Cellulose and Graphene Nanoplates. Materials, 15(3), 1088. https://doi.org/10.3390/ma15031088
 
         
                                                

 
                         
       