Study on the Macro-Micro Mechanical Properties of Grout Consolidated Coal under Different Loading Rates
Abstract
1. Introduction
2. Materials and Methods
2.1. Preparation of Briquette and Consolidated Body Samples
2.2. Experimental Procedure
2.2.1. Determination of the Loading Rates
2.2.2. Material Preparation
3. Analysis of Macroscopic Mechanical Properties under Different Loading Rates
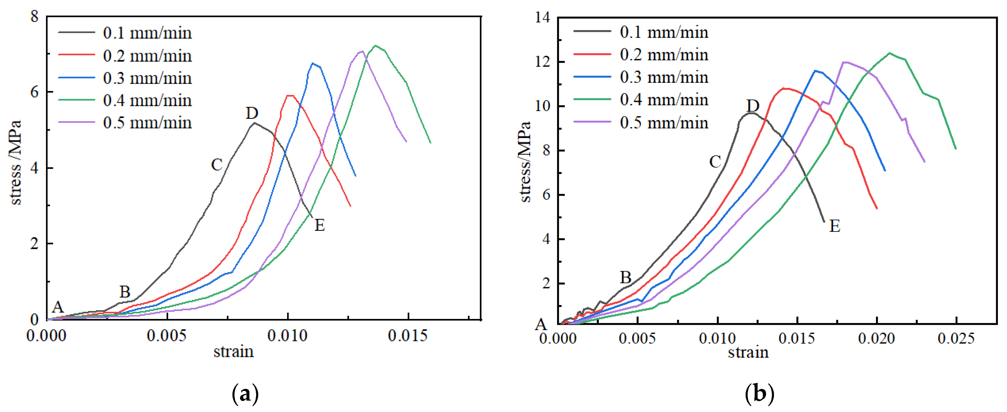
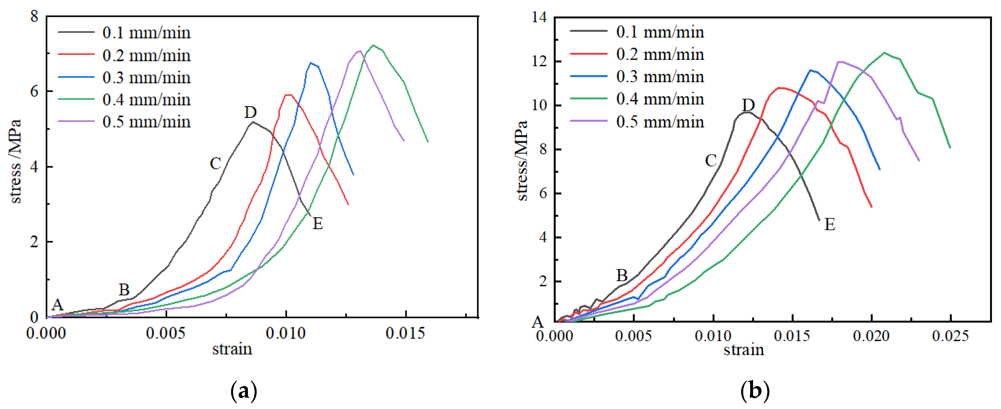
3.1. Effect of Loading Rates on Stress–Strain Curve
3.2. Effect of Loading Rates on Mechanical Properties
3.2.1. Effect of Loading Rates on UCS
3.2.2. Effect of Loading Rates on Elastic Modulus
3.3. Effect of Loading Rates on Failure Characteristics
4. Analysis of Micromechanical Properties under Different Loading Rates
4.1. Pore Structure Characteristics with Loading Rates
4.2. Porosity Evolution with Loading Rates
4.3. Fractal Dimension Evolution with Loading Rates
5. Structure–Strength Relationship between Loading Rates, Porosity, FD, and UCS
6. Discussions and Conclusions
- (1)
- The loading rates, UCS, and macroscopic cracking of the briquette and consolidated body first increased and then decreased, and there were critical loading rates (η = 0.4 mm/min). At the critical loading rates, the UCS peaked, and the bending degree of the microscale interface of the consolidated body also peaked.
- (2)
- The macroscopic and microscopic phenomena of the briquette and consolidated body were consistent, there was a linear relationship between the microscopic porosity and FD, and the variation in the microscopic porosity and FD was consistent with that in the macroscopic UCS under different loading rates.
- (3)
- By analyzing the relationship among the loading rates, porosity, FD, and UCS of the briquettes and consolidated bodies, a multivariate nonlinear regression equation was obtained, and the regression effect was remarkable. The relationship can be used to guide the design of the compressive strength of a consolidated body.
Author Contributions
Funding
Institutional Review Board Statement
Informed Consent Statement
Data Availability Statement
Acknowledgments
Conflicts of Interest
References
- Yang, H.; Ren, F.; Wang, Z.; Chen, S.; Pei, G. Quality inspection and quantitative evaluation method for borehole sealing in gas drainage. J. China Coal Soc. 2019, 44, 164–170. [Google Scholar]
- Pan, H.; Ge, D.; Zhang, T.; Dong, X.; Zhang, L.; Zhou, A. Influence of strain rate on the rock fracture propagation law. J. China Coal Soc. 2018, 43, 675–683. [Google Scholar]
- Wang, K.; Pan, H.Y.; Zhang, T.J.; Wang, H.T. Experimental study on the radial vibration characteristics of a coal briquette in each stage of its life cycle under the action of CO2 gas explosion. Fuel 2022, 320, 123922. [Google Scholar] [CrossRef]
- Zhu, J.; Shao, T.; Li, G.; Yang, Y.; Chen, Z.; Lan, T.; Wang, J.; Zhao, Y.; Liu, S. Multiscale Pore Structure Characteristics and Crack Propagation Behavior of Coal Samples from High Gas Seam. Materials 2022, 15, 4500. [Google Scholar] [CrossRef] [PubMed]
- Fang, S.; Lu, C.; Zhan, Z.; Cui, H.; Wang, Y.; Wang, J. Numerical and Field Investigations of Acoustic Emission Laws of Coal Fracture under Hydro-Mechanical Coupling Loading. Materials 2022, 15, 6510. [Google Scholar]
- Zhang, J.; Liu, L.; Liu, C.; Wen, G.; Li, Q.; Sun, D.; Shao, J.; Zhang, J.; Sun, L.; Di, G. Research and application of new prestressed anchor-grouting support for special open-off cut in soft-thick coal seam. J. China Coal Soc. 2021, 46, 3127–3138. [Google Scholar]
- Liu, Q.; Zhou, Y.; Lu, C.; Zhang, J. Experimental study on mechanical properties of mudstone fracture before and after grouting. J. Min. Saf. Eng. 2016, 33, 509. [Google Scholar]
- Wang, C.; Li, X.; Xiong, Z. Experimental study on the effect of grouting reinforcement on the shear strength of a fractured rock mass. PLoS ONE 2019, 14, e0220643. [Google Scholar] [CrossRef]
- Liu, Q.; Lei, G.; Lu, C.; Peng, X.; Zhang, J.; Wang, J. Experimental study of grouting reinforcement influence on mechanical properties of rock fracture. Chin. J. Rock Mech. Eng. 2017, 36, 3140–3147. [Google Scholar]
- Lu, H.; Cao, A.; Liu, Q. Experimental study on mechanical properties of grouting consolidating bodies with inner defects. Chin. J. Rock Mech. Eng. 2020, 39, 1560–1571. [Google Scholar]
- Zheng, X. Expansion Characteristics of Polymer Grouting Material Cured under Pressure and Mechanical Properties of Its Consolidated Body. China Railw. Sci. 2017, 38, 9–15. [Google Scholar]
- Huang, Z.; Yilmaz, E.; Cao, S. Analysis of Strength and Microstructural Characteristics of Mine Backfills Containing Fly Ash and Desulfurized Gypsum. Minerals 2021, 11, 409. [Google Scholar] [CrossRef]
- Li, Y.; Zhang, S.; Wen, Z.; Zhao, R.; Cao, Z.; Lun, Q.; Bai, J. Energy conversion and fragment distribution characteristics of coal sample under uniaxial cyclic loading. J. China Coal Soc. 2019, 44, 1411–1420. [Google Scholar]
- Wu, M.; Liu, J.; Lv, X.; Di, S.; Zhu, Z. A Study on Homogenization Equations of Fractal Porous Media. J. Geophys. Eng. 2018, 15, 2388–2398. [Google Scholar] [CrossRef]
- Deng, C.J.; Dang, F.N.; Chen, X. Experimental Study on Grouting Effect and Mechanical Properties of the Rockfill Materials Grouted with SCM. Adv. Civ. Eng. 2020, 2020, 8834686. [Google Scholar] [CrossRef]
- Niu, J.; Li, Z.; Gu, W. Experimental Study of Split Grouting Reinforcement Mechanism in Filling Medium and Effect Evaluation. Sensors 2020, 20, 3088. [Google Scholar] [CrossRef]
- Song, Y.; Xing, T.; Deng, L.; Zhao, Z. Experimental study of evolution characteristics of rock deformation field at different loading rates. Rock Soil Mech. 2017, 38, 2773–2779+2788. [Google Scholar]
- Le, H.; Wei, J.; Sun, S.; Wang, W.; Fan, H. Mechanical properties and cracking behaviors of limestone-like samples with two parallel fissures before and after grouting. J. Cent. South Univ. 2021, 28, 2875–2889. [Google Scholar] [CrossRef]
- Su, C.; Li, H.; Zhang, S.; Gou, P. Experimental investigation on effect of strain rate on mechanical characteristics of marble. Chin. J. Rock Mech. Eng. 2013, 32, 943–950. [Google Scholar]
- Zhang, T.; Bao, R.; Li, S.; Zhang, C.; Zhang, L.; Jiang, X. Experimental study on expansion and creep characteristics of new CF sealing material. J. Min. Saf. Eng. 2019, 36, 175–183. [Google Scholar]
- Chao, H.; Zhu, C.; Liu, L. Pore Structure Characteristics and Its Effect on Mechanical Performance of Cemented Paste Backfill. Front. Mater. 2021, 8, 231. [Google Scholar]
- Zhang, J.; Sun, Y. Experimental and Mechanism Study of a Polymer Foaming Grouting Material for Reinforcing Broken Coal Mass. KSCE J. Civ. Eng. 2018, 23, 346–355. [Google Scholar] [CrossRef]
- Guo, H.J.; Yuan, L.; Cheng, Y.P.; Wang, K.; Xu, C. Experimental investigation on coal pore and fracture characteristics based on fractal theory. Powder Technol. 2019, 346, 341–349. [Google Scholar] [CrossRef]
- Li, M.; Liang, W.; Yue, G. Fractal and pore structure analysis of structural anisotropic coal under different impact loads. Environ. Earth Sci. 2020, 79, 323. [Google Scholar]
- Sun, B.; Liu, S.; Zeng, S.; Wang, S.; Wang, S. Dynamic characteristics and fractal representations of crack propagation of rock with different fissures under multiple impact loadings. Sci. Rep. 2021, 11, 13071. [Google Scholar] [CrossRef]
- Gao, M.; Zhang, J.; Li, S. Calculating changes in fractal dimension of surface cracks to quantify how the dynamic loading rates affects rock failure in deep mining. J. Cent. South Univ. 2020, 27, 3013–3024. [Google Scholar] [CrossRef]
- Wang, L.; Yuan, Q.; Xie, G.; Gu, S.; Jiao, Z.; Liu, H.; Chen, L. Length-diameter ratio effect of energy dissipation and fractals of coal samples under impact loading. J. China Coal Soc. 2022, 47, 1534–1546. [Google Scholar]
- Ma, H.; Sun, J.; Wu, C.; Yi, C.; Li, Y. Study on the Pore and Microstructure Fractal Characteristics of Alkali-Activated Coal Gangue-Slag Mortars. Materials 2020, 13, 2442. [Google Scholar] [CrossRef]
- Liu, L.; Xin, J.; Huan, C.; Zhao, Y.; Fan, X.; Guo, L.; Song, K. Effect of curing time on the mesoscopic parameters of cemented paste backfill simulated using the particle flow code technique. Int. J. Miner. Metall. Mater. 2021, 28, 590–602. [Google Scholar] [CrossRef]
- Li, H.; Zhou, H.; Jiang, Y.; Wang, H. An evaluation method for the bursting characteristics of coal under the effect of loading rates. Rock Mech. Rock Eng. 2016, 49, 3281–3291. [Google Scholar]
- Wang, H.; Fan, P.; Wang, M.; Li, W.; Qian, Y. Influence of strain rate on progressive failure process and characteristic stresses of red sandstone. Rock Soil Mech. 2011, 32, 1340–1346. [Google Scholar]
- Liu, Q.; Sun, W. A Hilbert-type fractal integral inequality and its applications. J. Inequalities Appl. 2017, 2017, 83. [Google Scholar] [CrossRef] [PubMed]
- Griffiths, L.; Heap, M.; Xu, T.; Chen, C.; Baud, P. The influence of pore geometry and orientation on the strength and stiffness of porous rock. J. Struct. Geol. 2017, 96, 149–160. [Google Scholar] [CrossRef]
- Fakhimi, A.; Gharahbagh, E.A. Discrete element analysis of the effect of pore size and pore distribution on the mechanical behavior of rock. Int. J. Rock Mech. Min. Sci. 2011, 48, 77–85. [Google Scholar] [CrossRef]















| Sample Type | Loading Rate (mm/min) | Compressive Strength/(MPa) | Standard Deviation | Sample Type | Loading Rate (mm/min) | Compressive Strength/(MPa) | Standard Deviation |
|---|---|---|---|---|---|---|---|
| Coal briquette | 0.1 | 5.2 | 0.35355 | consolidated body | 0.1 | 9.7 | 0.31623 |
| 0.2 | 5.9 | 0.22361 | 0.2 | 10.8 | 0.27386 | ||
| 0.3 | 6.8 | 0.22361 | 0.3 | 11.7 | 0.15811 | ||
| 0.4 | 7.3 | 0.22361 | 0.4 | 12.4 | 0.29155 | ||
| 0.5 | 7.1 | 0.22361 | 0.5 | 11.9 | 0.25495 |
| Sample | η (mm/min) | Fitting Formula | D | Sample | η (mm/min) | Fitting Formula | D |
|---|---|---|---|---|---|---|---|
| briquette | 0.1 | y = 12.57 − 1.761x | 1.761 | consolidated body | 0.1 | y = 11.91 − 1.629x | 1.629 |
| 0.2 | y = 12.63 − 1.791x | 1.791 | 0.2 | y = 12.53 − 1.799x | 1.799 | ||
| 0.3 | y = 12.70 − 1.795x | 1.795 | 0.3 | y = 12.97 − 1.854x | 1.854 | ||
| 0.4 | y = 12.87 − 1.821x | 1.821 | 0.4 | y = 12.85 − 1.893x | 1.893 | ||
| 0.5 | y = 10.86 − 1.819x | 1.819 | 0.5 | y = 12.58 − 1.813x | 1.813 |
| Parameter | Formula | R2 |
|---|---|---|
| Porosity loading rates and UCS | 0.99 | |
| Porosity FD and UCS | 0.99 |
| Parameter | Formula | R2 |
|---|---|---|
| Porosity loading rates and UCS | 0.99 | |
| Porosity FD and UCS | 0.99 |
Publisher’s Note: MDPI stays neutral with regard to jurisdictional claims in published maps and institutional affiliations. |
© 2022 by the authors. Licensee MDPI, Basel, Switzerland. This article is an open access article distributed under the terms and conditions of the Creative Commons Attribution (CC BY) license (https://creativecommons.org/licenses/by/4.0/).
Share and Cite
Pan, H.; Wang, J.; Du, G.; Wang, K.; Zhang, L.; He, S.; Song, S. Study on the Macro-Micro Mechanical Properties of Grout Consolidated Coal under Different Loading Rates. Materials 2022, 15, 8913. https://doi.org/10.3390/ma15248913
Pan H, Wang J, Du G, Wang K, Zhang L, He S, Song S. Study on the Macro-Micro Mechanical Properties of Grout Consolidated Coal under Different Loading Rates. Materials. 2022; 15(24):8913. https://doi.org/10.3390/ma15248913
Chicago/Turabian StylePan, Hongyu, Junyan Wang, Guanyi Du, Kang Wang, Lei Zhang, Suinan He, and Shuang Song. 2022. "Study on the Macro-Micro Mechanical Properties of Grout Consolidated Coal under Different Loading Rates" Materials 15, no. 24: 8913. https://doi.org/10.3390/ma15248913
APA StylePan, H., Wang, J., Du, G., Wang, K., Zhang, L., He, S., & Song, S. (2022). Study on the Macro-Micro Mechanical Properties of Grout Consolidated Coal under Different Loading Rates. Materials, 15(24), 8913. https://doi.org/10.3390/ma15248913

