Dynamic Simulation and Parameter Analysis of Harpoon Capturing Space Debris
Abstract
1. Introduction
2. Materials and Methods
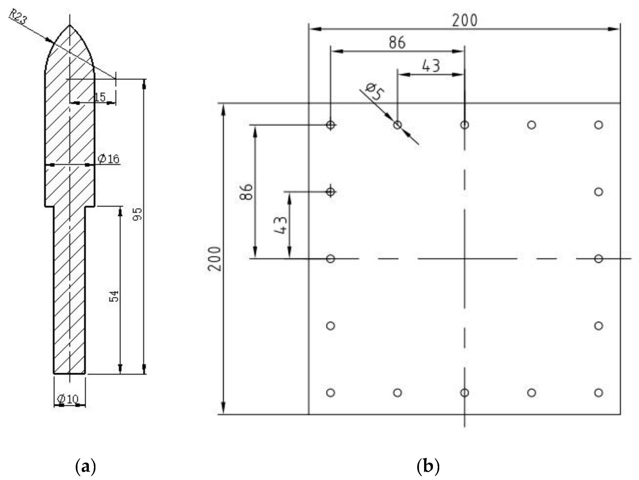
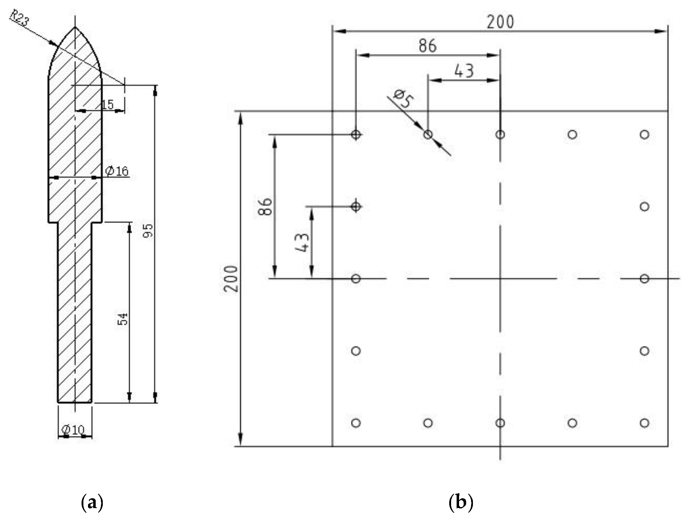
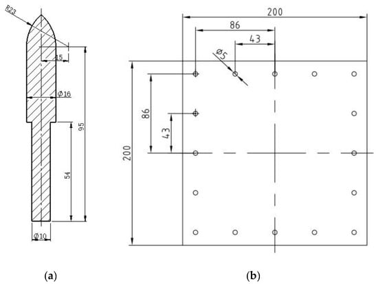
2.1. Harpoon and Target Plate Models
2.2. Target Material Model
2.3. Ballistic Limit Theory
3. Results and Discussion
3.1. Simulation Model of the Harpoon Penetrating the Target
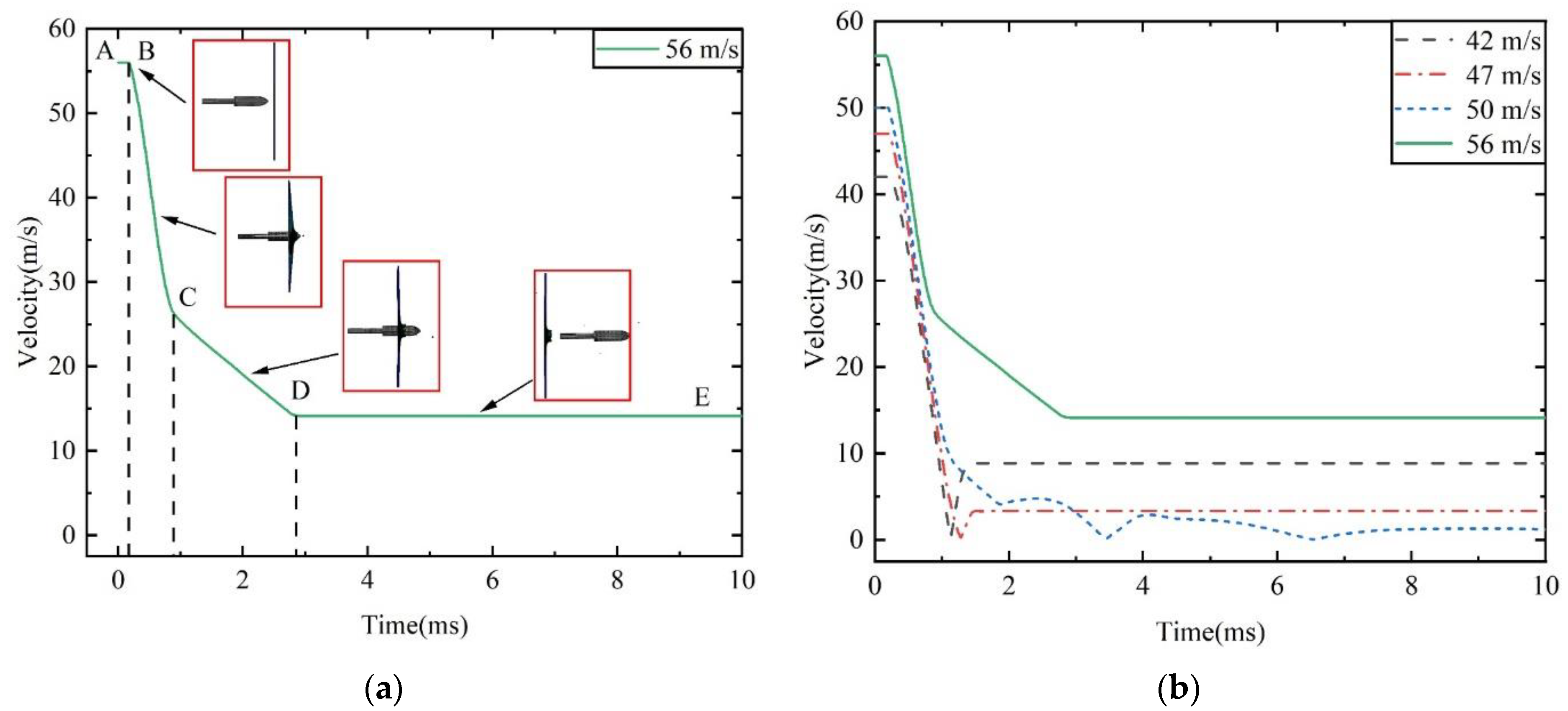
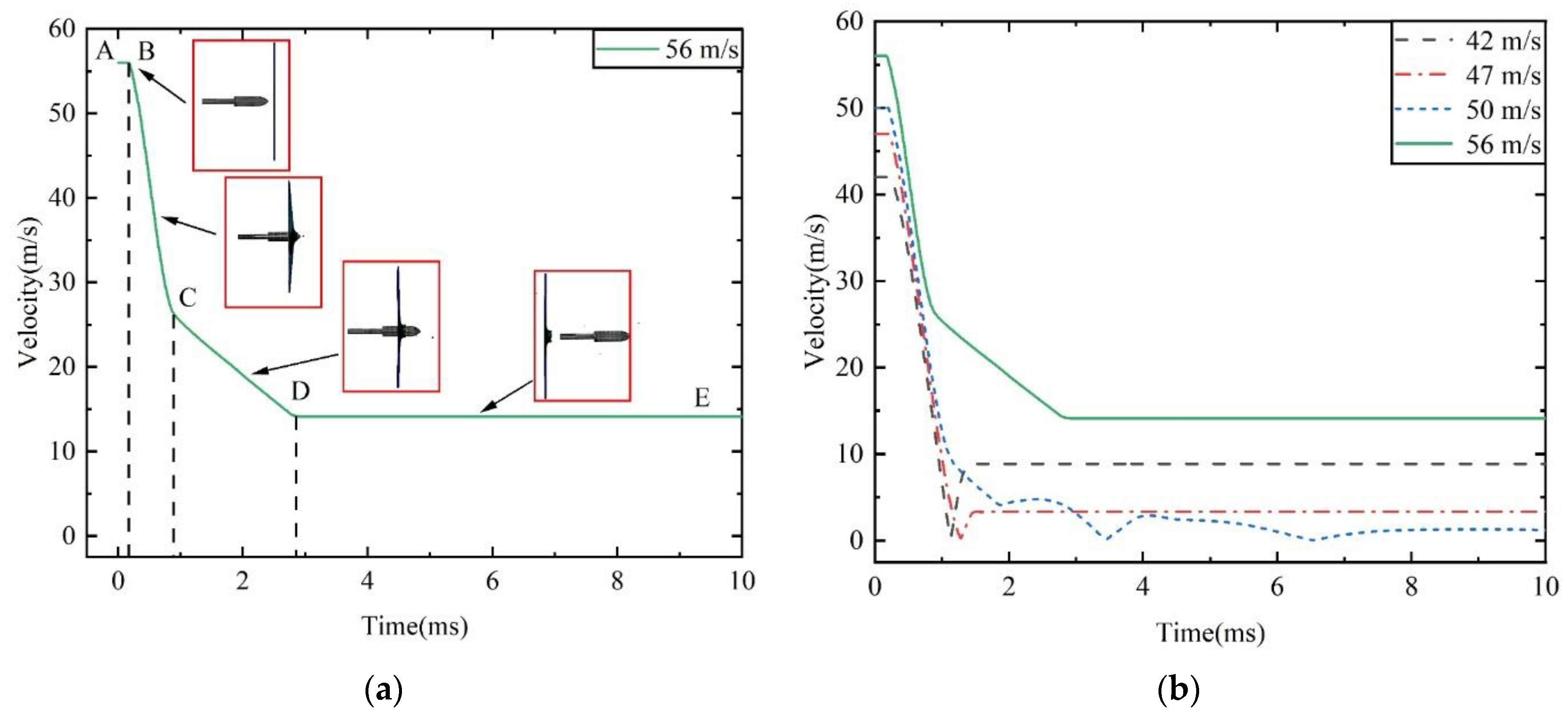
3.2. Multi-Velocity Simulation of the Harpoon Penetrating the Target
3.3. Multi-Velocity Experiment of the Harpoon Penetrating the Target
4. Conclusions
- The ballistic limit theory was developed based on the energy law and the law of conservation of momentum and was used to predict the velocity limit of an elliptical harpoon penetrating a target. The error between the simulation results for the speed of the harpoon embedding into the target and the theoretical results of the ballistic limit is 9.1%
- To verify the correctness of the simulation model of the harpoon’s penetration into the aluminum target plate, we designed a ground test of the harpoon penetrating the target plate with different velocities. The error of the hole diameter for the target plate with the launch speeds of 42 and 56 m/s is 9.34 and 1.0%, respectively.
- Many structures in space debris are aluminum alloy plates. To ensure that the harpoon successfully catches 2A12 aluminum alloy that is 2 mm thick, the launch speed of the harpoon is at least 50 m/s.
Author Contributions
Funding
Institutional Review Board Statement
Informed Consent Statement
Data Availability Statement
Acknowledgments
Conflicts of Interest
References
- Wei, Z.; Zhang, H.; Zhao, B.; Liu, X.; Ma, R. Impact Force Identification of the Variable Pressure Flexible Impact End-Effector in Space Debris Active Detumbling. Appl. Sci. 2020, 10, 3011. [Google Scholar] [CrossRef]
- Adushkin, V.V.; Aksenov, O.Y.; Veniaminov, S.S.; Kozlov, S.I.; Tyurenkova, V.V. The small orbital debris population and its impact on space activities and ecological safety. Acta Astronaut. 2020, 176, 591–597. [Google Scholar] [CrossRef]
- Ru, M.; Zhan, Y.; Cheng, B.; Zhang, Y. Capture Dynamics and Control of a Flexible Net for Space Debris Removal. Aerospace 2022, 9, 299. [Google Scholar] [CrossRef]
- Schaub, H.; Jasper, L.E.Z.; Anderson, P.V.; McKnight, D.S. Cost and risk assessment for spacecraft operation decisions caused by the space debris environment. Acta Astronaut. 2015, 113, 66–79. [Google Scholar] [CrossRef]
- Shan, M.; Guo, J.; Gill, E. Review and comparison of active space debris capturing and removal methods. Prog. Aerosp. Sci. 2016, 80, 18–32. [Google Scholar] [CrossRef]
- Forshaw, J.L.; Aglietti, G.S.; Fellowes, S.; Salmon, T.; Retat, I.; Hall, A.; Chabot, T.; Pisseloup, A.; Tye, D.; Bernal, C.; et al. The active space debris removal mission RemoveDebris. Part 1: From concept to launch. Acta Astronaut. 2019, 168, 293–309. [Google Scholar] [CrossRef]
- Henshaw, C.G.; Akins, K.; Creamer, N.G.; Faria, M.; Flagg, C.; Hayden, M.; Healy, L.; Hrolenok, B.; Johnson, J.; Lyons, K.; et al. A software architecture for autonomous orbital robotics. In Spaceborne Sensors III; International Society for Optics and Photonics: Bellingham, WA, USA, 2006; Volume 6220, p. 62200K. [Google Scholar]
- Lin, Q.; Wu, C.; Yue, S.; Jiang, Z.; Du, Z.; Li, M. Dynamic Simulation and Parameter Analysis of Contact Mechanics for Mimicking Geckos’ Foot Setae Array. Crystals 2022, 12, 282. [Google Scholar] [CrossRef]
- Forshaw, J.; Lopez, R.; Okamoto, A.; Blackerby, C.; Okada, N. The ELSA-d End-of-life Debris Removal Mission: Mission Design, In-flight Safety, and Preparations for Launch. In Proceedings of the Advanced Maui Optical and Space Surveillance Technologies Conference, Maui Economic Development Board, Kihei, HI, USA, 17–20 September 2019; pp. 44–50. [Google Scholar]
- Campbell, J.; Hughes, K.; Vignjevic, R.; Djordjevic, N.; Taylor, N.; Jardine, A. Development of modelling design tool for harpoon for active space debris removal. Int. J. Impact Eng. 2022, 166, 104236. [Google Scholar] [CrossRef]
- Aglietti, G.S.; Taylor, B.; Fellowes, S.; Salmon, T.; Retat, I.; Hall, A.; Chabot, T.; Pisseloup, A.; Cox, C.; Zarkesh, A.; et al. The active space debris removal mission RemoveDebris. Part 2: In orbit operations. Acta Astronaut. 2019, 168, 310–322. [Google Scholar] [CrossRef]
- Mataki, T.; Akahoshi, Y.; Koura, T.; Kitazawa, Y.; Shimamura, K.; Izumiyama, T.; Hashimoto, K.; Kawamoto, S.; Aoyama, J.; Fukuta, T. Evaluation of Harpoon Tips for Debris Capture. Trans. Jpn. Soc. Aeronaut. Space Sci. Aerosp. Technol. Jpn. 2016, 14, 33–37. [Google Scholar] [CrossRef] [PubMed]
- Wang, Y.; Chen, X.; Xiao, X.; Vershinin, V.V.; Ge, R.; Li, D.-S. Effect of Lode angle incorporation into a fracture criterion in predicting the ballistic resistance of 2024-T351 aluminum alloy plates struck by cylindrical projectiles with different nose shapes. Int. J. Impact Eng. 2020, 139, 103498. [Google Scholar] [CrossRef]
- Fras, T.; Roth, C.C.; Mohr, D. Dynamic perforation of ultra-hard high-strength armor steel: Impact experiments and modeling. Int. J. Impact Eng. 2019, 131, 256–271. [Google Scholar] [CrossRef]
- Kpenyigba, K.; Jankowiak, T.; Rusinek, A.; Pesci, R.; Wang, B. Effect of projectile nose shape on ballistic resistance of interstitial-free steel sheets. Int. J. Impact Eng. 2015, 79, 83–94. [Google Scholar] [CrossRef]
- Deng, Y.; Wu, H.; Zhang, Y.; Huang, X.; Xiao, X.; Lv, Y. Experimental and numerical study on the ballistic resistance of 6061-T651 aluminum alloy thin plates struck by different nose shapes of projectiles. Int. J. Impact Eng. 2022, 160, 104083. [Google Scholar] [CrossRef]
- Li, Q. Research on Design and Experiment of Flying Anchor System Repeatedly Penetrating for Removal of Space Debris. Master’s Thesis, Harbin Institute of Technology, Harbin, China, 2019. [Google Scholar]
- Reed, J.; Barraclough, S. Development of harpoon system for capturing space debris. In Proceedings of the 6th European Conference on Space Debris, Darmstadt, Germany, 22–25 April 2013; 723, p. 174. [Google Scholar]
- Rosenberg, Z.; Dekel, E. On the deep penetration and plate perforation by rigid projectiles. Int. J. Solids Struct. 2009, 46, 4169–4180. [Google Scholar] [CrossRef]
- Rosenberg, Z.; Dekel, E. Revisiting the perforation of ductile plates by sharp-nosed rigid projectiles. Int. J. Solids Struct. 2010, 47, 3022–3033. [Google Scholar] [CrossRef]
- Rosenberg, Z.; Dekel, E. Terminal Ballistics; Springer: Berlin, Germany, 2012. [Google Scholar]
- Chen, J.; Xu, W.; Xie, R.; Zhang, F.; Hu, W.; Huang, X.; Chen, G. Sample size effect on the dynamic torsional behaviour of the 2A12 aluminium alloy. Theor. Appl. Mech. Lett. 2017, 7, 317–324. [Google Scholar] [CrossRef]














| ρ/(kg·m−3) | E/GPa | μ | A/MPa | B/MPa | n |
|---|---|---|---|---|---|
| 2770 | 71.7 | 0.33 | 400 | 424 | 0.350 |
| m | D1 | D2 | D3 | D4 | D5 |
| 1.426 | 0.116 | 0.211 | −2.172 | 0.012 | −0.01256 |
| Test No. | Target Plate Thickness (mm) | Weight (g) | Launch Velocity (m/s) | Experimental Result |
|---|---|---|---|---|
| F-01 | 2 | 111.9 | 28.6 | No penetration |
| F-02 | 2 | 110.5 | 35.3 | No penetration |
| F-03 | 2 | 112.5 | 42.0 | No penetration |
| F-04 | 2 | 111.2 | 56.0 | Penetration |
Publisher’s Note: MDPI stays neutral with regard to jurisdictional claims in published maps and institutional affiliations. |
© 2022 by the authors. Licensee MDPI, Basel, Switzerland. This article is an open access article distributed under the terms and conditions of the Creative Commons Attribution (CC BY) license (https://creativecommons.org/licenses/by/4.0/).
Share and Cite
Wu, C.; Yue, S.; Shi, W.; Li, M.; Du, Z.; Liu, Z. Dynamic Simulation and Parameter Analysis of Harpoon Capturing Space Debris. Materials 2022, 15, 8859. https://doi.org/10.3390/ma15248859
Wu C, Yue S, Shi W, Li M, Du Z, Liu Z. Dynamic Simulation and Parameter Analysis of Harpoon Capturing Space Debris. Materials. 2022; 15(24):8859. https://doi.org/10.3390/ma15248859
Chicago/Turabian StyleWu, Chunbo, Shuai Yue, Wenhui Shi, Mengsheng Li, Zhonghua Du, and Zhi Liu. 2022. "Dynamic Simulation and Parameter Analysis of Harpoon Capturing Space Debris" Materials 15, no. 24: 8859. https://doi.org/10.3390/ma15248859
APA StyleWu, C., Yue, S., Shi, W., Li, M., Du, Z., & Liu, Z. (2022). Dynamic Simulation and Parameter Analysis of Harpoon Capturing Space Debris. Materials, 15(24), 8859. https://doi.org/10.3390/ma15248859

