Effect of Stitching, Stitch Density, Stacking Sequences on Low-Velocity Edge Impact and Compression after Edge Impact (CAEI) Behavior of Stitched CFRP Laminates
Abstract
1. Introduction
2. Experiment
2.1. Material Preparation
2.2. Edge Impact Tests
2.3. Compression after Edge Impact Test
3. Results Analysis of Impact Response
3.1. Effect of Stitching on Edge Impact of CFRP Laminates
3.2. Effect of Different Stacking Sequences on Edge Impact of CFRP Laminates
3.3. Impact Damage Detection
3.3.1. Optical Observation
3.3.2. Micro-Computed Tomography
4. Results Analysis of Compression after Edge Impact
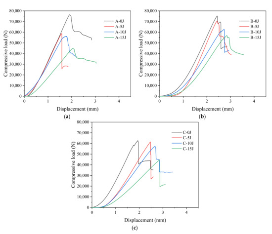
4.1. Compressive Load and Displacement
4.2. The Compression after Edge Impact Failure Mode
4.3. Analysis of Residual Compressive Strength
5. Conclusions
- (1)
- The improvement effect of the stitching is more significant with the increase in the impact energy that is used in this study. Compared with the unstitched laminates with the same stacking sequence, the peak impact force of the stitched CFRP laminates with stitch density 15 mm × 15 mm has an increase of 4.35–12.43%. The peak impact force of the stitched CFRP laminates with stitch density 10 mm × 10 mm has an increase of 8.1–31.4%.
- (2)
- The damage of edge impact of stitched laminates is smaller than that of unstitched laminates at the same impact energy. The main failure mode of compression after edge impact of unstitched CFRP laminates is delamination and that of stitched CFRP laminates is global buckling.
- (3)
- At the impact energy of 5, 10 and 15 J, the average residual compressive strength of unstitched CFRP laminates in group A decreases by 22.9%, 31.5% and 41.3%, respectively. The average residual compressive strength of group B CFRP laminates with stitch density 10 mm × 10 mm decreases by 16%, 23.7% and 34.8%, respectively. The average residual compressive strength of group C CFRP laminates with stitch density 15 mm × 15 mm decreases by 24.1%, 26.1% and 33.5%, respectively.
- (4)
- With the increase in stitch density and impact energy, the influence of stitching on the residual compressive strength after edge impact of composite laminates increases significantly. At 5, 10 and 15 J impact energy, compared with unstitched laminates, the average residual compressive strength of group C CFRP laminates with stitch density 15 mm × 15 mm increases by 5%, 15% and 20.9%, respectively; the average residual compressive strength of group B CFRP laminates with stitch density 10 mm × 10 mm increases by 24.2%, 27% and 26.3%, respectively.
- (5)
- Compared with corresponding not-impacted laminates, the average residual compressive strength of group E CFRP laminates with stacking sequence P3 decreases the least at the same impact energy. At the impact energy 5, 10 and 15 J, the average residual compressive strength of group C CFRP laminates with stacking sequence P1 decreases by 24.1%, 26.1% and 33.5%, respectively. The average residual compressive strength of group D CFRP laminates with stacking sequence P2 decreases by 23.8%, 23.9% and 31.5%, respectively. The average residual compressive strength of group E CFRP laminates with stacking sequence P3 decreases by 2.9%, 4% and 15.6%, respectively.
Author Contributions
Funding
Institutional Review Board Statement
Informed Consent Statement
Data Availability Statement
Acknowledgments
Conflicts of Interest
References
- Yang, B.; Chen, Y.; Lee, J.; Fu, K.; Li, Y. In-plane compression response of woven CFRP composite after low-velocity impact: Modelling and experiment. Thin-Walled Struct. 2021, 158, 107186. [Google Scholar] [CrossRef]
- Duan, Y.; Xie, X.; Zou, T.; Wang, T. Mechanical Response of CFRP Laminates Subjected to Low-Velocity Oblique Impact. Appl. Comp. Mater. 2022, 29, 1105–1124. [Google Scholar] [CrossRef]
- Ostré, B.; Bouvet, C.; Lachaud, F.; Aboissière, J. Edge impact damage scenario on stiffened composite structure. J. Comp. Mater. 2015, 49, 1599–1612. [Google Scholar] [CrossRef]
- Tuo, H.; Lu, Z.; Ma, X.; Zhang, C.; Chen, S. An experimental and numerical investigation on low-velocity impact damage and compression-after-impact behavior of composite laminates. Comp. Part B Eng. 2019, 167, 329–341. [Google Scholar] [CrossRef]
- Psarras, S.; Muñoz, R.; Ghajari, M.; Robinson, P.; Furfari, D. Smart Intelligent Aircraft Structures; Springer: Cham, Switzerland, 2016; pp. 667–679. [Google Scholar] [CrossRef]
- Liu, D. Delamination resistance in stitched and unstitched composite plates subjected to impact loading. J. Reinf. P. Comp. 1990, 9, 59–69. [Google Scholar] [CrossRef]
- Adams, D.O.; Stanley, L.E. Development and Evaluation of Stitched Sandwich Panels; NASA CR-211025; NASA: Washington, DC, USA, 2001; pp. 1–166.
- Ruan, J.; Lai, J.; Wang, S.; Huang, Z. Compression properties after impact of stitched foam sandwich structure. Polym. Mater. Sci. Eng. 2020, 36, 103–111. [Google Scholar] [CrossRef]
- Staroverov, O.; Strungar, E.; Wildemann, V. Evaluation of the survivability of CFRP honeycomb-cored panels in compression after impact tests. Frat. Ed. Integrità Strutt. 2021, 15, 1–15. [Google Scholar] [CrossRef]
- Ansari, M.M.; Chakrabarti, A. Impact behavior of FRP composite plate under low to hyper velocity impact. Comp. Part B Eng. 2016, 95, 462–474. [Google Scholar] [CrossRef]
- Wang, S.; Lai, J.; Ruan, J.; Hu, G.; Huang, Z. Low speed impact and compression properties of epoxy based carbon fiber composite modified by different particles. Mater. Rep. 2021, 35, 2178–2184. [Google Scholar]
- Singh, K.K.; Shinde, M. Impact Behavior of Fibre Reinforced Laminates; Springer: Singapore, 2022; pp. 265–302. [Google Scholar] [CrossRef]
- Seamone, A.; Davidson, P.; Waas, A.M.; Ranatunga, V. Low velocity impact and compressive response after impact of thin carbon fiber composite panels. Intl. J. Solids Struct. 2022, 257, 111604. [Google Scholar] [CrossRef]
- Falcó, O.; Lopes, C.S.; Sommer, D.E.; Thomson, D.; Ávila, R.L.; Tijs, B.H.A.H. Experimental analysis and simulation of low-velocity impact damage of composite laminates. Comp. Struct. 2022, 287, 115278. [Google Scholar] [CrossRef]
- Lin, S.; Ranatunga, V.; Waas, A.M. Experimental study on the panel size effects of the Low-Velocity Impact (LVI) and Compression After Impact (CAI) of laminated composites, Part I: LVI. Comp. Struct. 2022, 296, 115822. [Google Scholar] [CrossRef]
- Lin, S.; Ranatunga, V.; Waas, A.M. Experimental study on the panel size effects of the low velocity impact (LVI) and compression after impact (CAI) of laminated composites, Part II: CAI. Comp. Struct. 2022, 295, 115824. [Google Scholar] [CrossRef]
- Malhotra, A.; Guild, F.J.; Pavier, M.J. Edge impact to composite laminates: Experiments and simulations. J. Mater. Sci. 2008, 43, 6661–6667. [Google Scholar] [CrossRef]
- Li, N.; Chen, P. Failure prediction of T-stiffened composite panels subjected to compression after edge impact. Comp. Struct. 2017, 162, 210–226. [Google Scholar] [CrossRef]
- Li, N.; Chen, P.H. Experimental investigation on edge impact damage and Compression-After-Impact (CAI) behavior of stiffened composite panels. Comp. Struct. 2016, 138, 134–150. [Google Scholar] [CrossRef]
- Thorsson, S.I.; Waas, A.M.; Rassaian, M. Numerical investigation of composite laminates subject to low-velocity edge-on impact and compression after impact. Comp. Struct. 2018, 203, 648–658. [Google Scholar] [CrossRef]
- Thorsson, S.I.; Sringeri, S.P.; Waas, A.M.; Justusson, B.P. Experimental investigation of composite laminates subject to low-velocity edge-on impact and compression after impact. Comp. Struct. 2018, 186, 335–346. [Google Scholar] [CrossRef]
- Kashiwagi, M.; Miura, K.; Sato, Y.; Nonaka, Y.; Abe, T.; Takagi, K. Effects of Edge Impact Damage on Compressive Strength of Carbon-Fiber-Reinforced-Plastic Laminates. J. JPN Soc. Comp. Mater. 2018, 44, 49–53. [Google Scholar] [CrossRef][Green Version]
- Ostré, B.; Bouvet, C.; Minot, C.; Aboissière, J. Experimental analysis of CFRP laminates subjected to compression after edge impact. Comp. Struct. 2016, 152, 767–778. [Google Scholar] [CrossRef]
- Ostré, B.; Bouvet, C.; Minot, C.; Aboissière, J. Finite element analysis of CFRP laminates subjected to compression after edge impact. Comp. Struct. 2016, 153, 478–489. [Google Scholar] [CrossRef]
- Malhotra, A.; Guild, F.J. Impact damage to composite laminates: Effect of impact location. Appl. Comp. Mater. 2014, 21, 165–177. [Google Scholar] [CrossRef]
- Rhead, A.T.; Marchant, D.; Butler, R. Compressive strength of composite laminates following free edge impact. Comp. Part A 2010, 41, 1056–1065. [Google Scholar] [CrossRef]
- Liu, J.; Xu, Y.; Yi, X.; Wei, T. Experimental and numerical simulation study on Near-edge/On-edge Low-Velocity impact and residual compressive strength of T300/69 laminates. Comp. Struct. 2022, 280, 114887. [Google Scholar] [CrossRef]
- Arteiro, A.; Gray, P.J.; Camanho, P.P. Simulation of edge impact and compression after edge impact in CFRP laminates. Comp. Struct. 2020, 240, 112018. [Google Scholar] [CrossRef]
- ASTM D7136; Standard Test Method for Measuring the Damage Resistance of a Fiber-Reinforced Polymer Matrix Composite to A Drop-Weight Impact Event. Annual book of ASTM standards. ASTM International: West Conshohocken, PA, USA, 2007.
- ASTM D7137; Standard Test Method for Compressive Residual Strength Properties of Damaged Polymer Matrix Composite Plates. Annual book of ASTM standards. ASTM International: West Conshohocken, PA, USA, 2007.
- Israr, H.; Rivallant, S.; Barrau, J.J. Experimental investigation on mean crushing stress characterization of carbon–epoxy plies under compressive crushing mode. Comp. Struct. 2013, 96, 357–364. [Google Scholar] [CrossRef]

















| Specimen Group | Craft | Stitching Density/(mm) | Stacking Sequence Symbol | Stacking Sequence | Number of Layers | Impact Energy/(J) |
|---|---|---|---|---|---|---|
| A | Unstitched | / | P1 | [−45/0/90/45/90]2s | 20 | 0 (no impact), 5, 10, 15 |
| B | Stitched | 10 × 10 | P1 | [−45/0/90/45/90]2s | 20 | |
| C | Stitched | 15 × 15 | P1 | [−45/0/90/45/90]2s | 20 | |
| D | Stitched | 15 × 15 | P2 | [45/90/0/−45/0]2s | 20 | |
| E | Stitched | 15 × 15 | P3 | [45/0/90/0/−45]2s | 20 |
| Specimen Group | A | B | C | D | E | |
|---|---|---|---|---|---|---|
| Damage Depth (mm) | ||||||
| Impact Energy (J) | ||||||
| 5 | 0.774 | 0.774 | 0.645 | 0.516 | 0.516 | |
| 15 | 7.869 | 3.096 | 3.225 | 6.708 | 3.612 | |
Publisher’s Note: MDPI stays neutral with regard to jurisdictional claims in published maps and institutional affiliations. |
© 2022 by the authors. Licensee MDPI, Basel, Switzerland. This article is an open access article distributed under the terms and conditions of the Creative Commons Attribution (CC BY) license (https://creativecommons.org/licenses/by/4.0/).
Share and Cite
Lai, J.; Peng, Z.; Huang, Z.; Li, M.; Mo, M.; Liu, B. Effect of Stitching, Stitch Density, Stacking Sequences on Low-Velocity Edge Impact and Compression after Edge Impact (CAEI) Behavior of Stitched CFRP Laminates. Materials 2022, 15, 8822. https://doi.org/10.3390/ma15248822
Lai J, Peng Z, Huang Z, Li M, Mo M, Liu B. Effect of Stitching, Stitch Density, Stacking Sequences on Low-Velocity Edge Impact and Compression after Edge Impact (CAEI) Behavior of Stitched CFRP Laminates. Materials. 2022; 15(24):8822. https://doi.org/10.3390/ma15248822
Chicago/Turabian StyleLai, Jiamei, Ze Peng, Zhichao Huang, Meiyan Li, Mingzhi Mo, and Bangxiong Liu. 2022. "Effect of Stitching, Stitch Density, Stacking Sequences on Low-Velocity Edge Impact and Compression after Edge Impact (CAEI) Behavior of Stitched CFRP Laminates" Materials 15, no. 24: 8822. https://doi.org/10.3390/ma15248822
APA StyleLai, J., Peng, Z., Huang, Z., Li, M., Mo, M., & Liu, B. (2022). Effect of Stitching, Stitch Density, Stacking Sequences on Low-Velocity Edge Impact and Compression after Edge Impact (CAEI) Behavior of Stitched CFRP Laminates. Materials, 15(24), 8822. https://doi.org/10.3390/ma15248822

