Factors Influencing the Thermo-Hydro-Mechanical Behavior of Unstabilized Rammed Earth Walls
Abstract
1. Introduction
2. Governing Equations of the Numerical Framework
2.1. Water Balance through the Wall Surface
2.2. Energy Balance through the Wall Surface
2.3. Heat Transfer in the Wall
2.4. Water Flow in the Wall
2.5. Mechanical Equations
3. Numerical Simulations for the Reference Case Study
4. Effect of 15 Different Factors on THM Properties of URE Walls
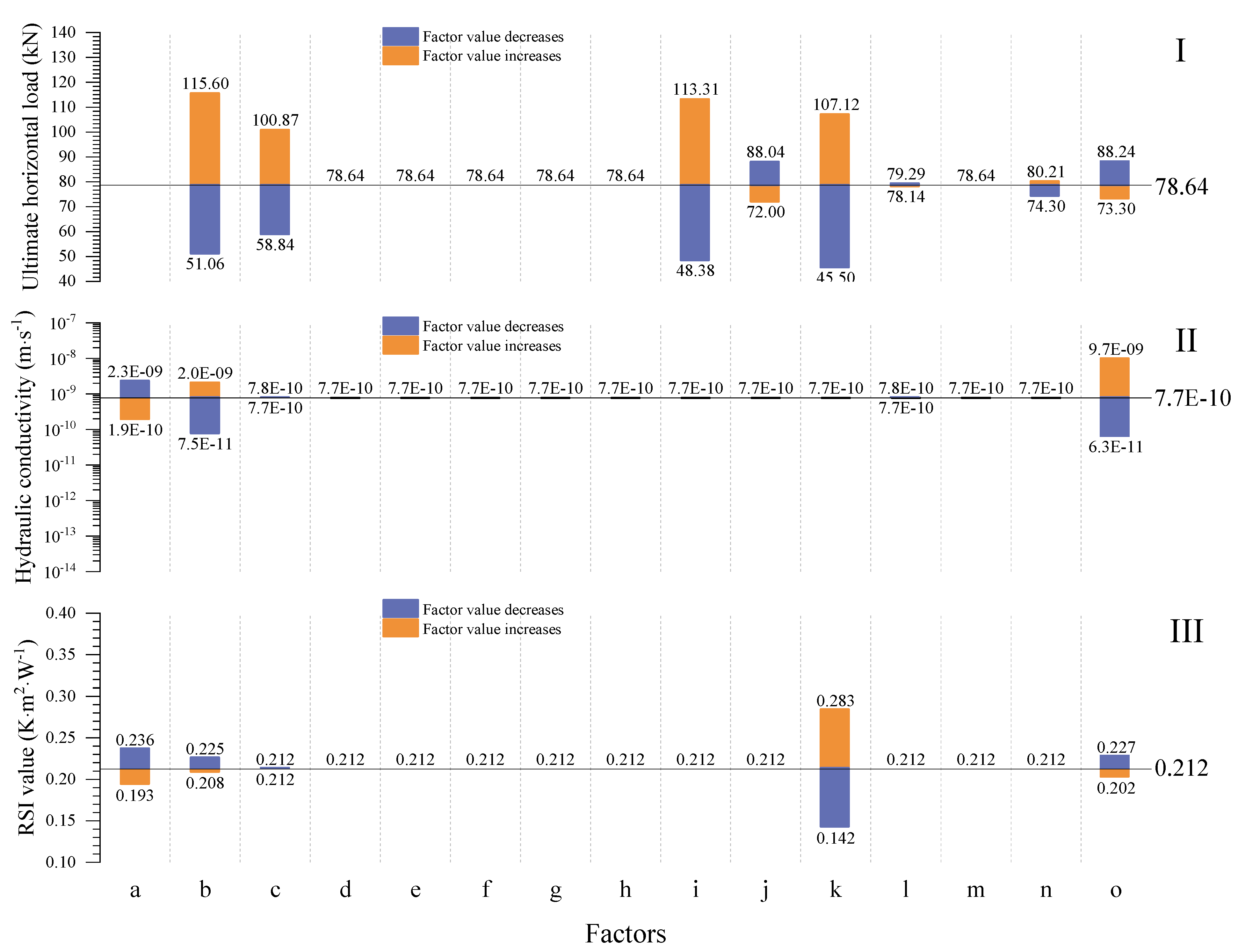
4.1. Initial THM Properties
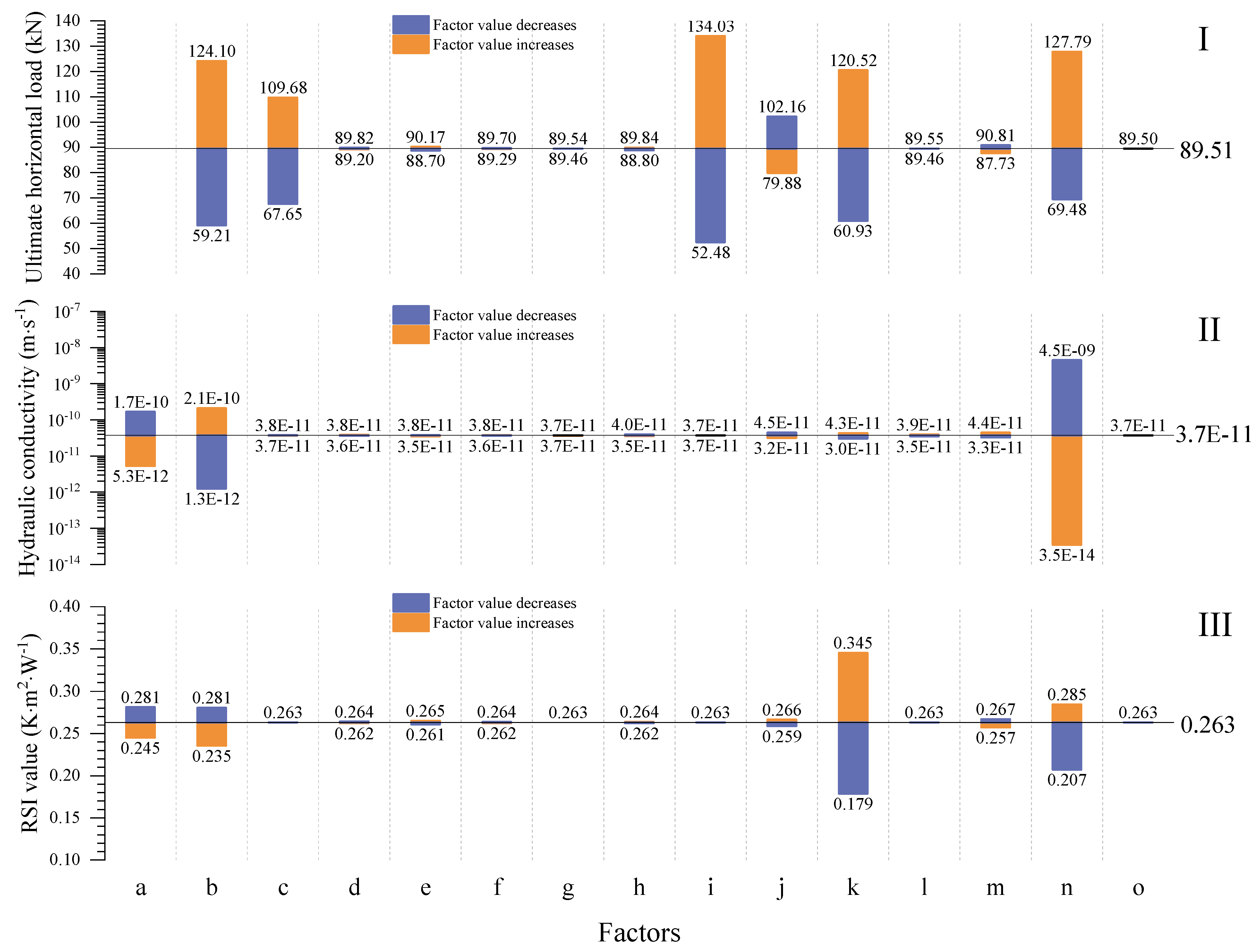
4.2. Stabilized THM Properties after 5 Years
5. General THM Long-Term Behaviors of a URE
6. Conclusions
Author Contributions
Funding
Institutional Review Board Statement
Informed Consent Statement
Data Availability Statement
Conflicts of Interest
References
- Nowamooz, H.; Chazallon, C. Finite Element Modelling of a Rammed Earth Wall. Constr. Build. Mater. 2011, 25, 2112–2121. [Google Scholar] [CrossRef]
- Hall, M.; Djerbib, Y. Rammed Earth Sample Production: Context, Recommendations and Consistency. Constr. Build. Mater. 2004, 18, 281–286. [Google Scholar] [CrossRef]
- Ávila, F.; Puertas, E.; Gallego, R. Characterization of the Mechanical and Physical Properties of Unstabilized Rammed Earth: A Review. Constr. Build. Mater. 2021, 270, 121435. [Google Scholar] [CrossRef]
- Attom, M.F. The Effect of Compactive Energy Level on Some Soil Properties. Appl. Clay Sci. 1997, 12, 61–72. [Google Scholar] [CrossRef]
- Xie, L.; Wang, D.; Zhao, H.; Gao, J.; Gallo, T. Architectural Energetics for Rammed-Earth Compaction in the Context of Neolithic to Early Bronze Age Urban Sites in Middle Yellow River Valley, China. J. Archaeol. Sci. 2021, 126, 105303. [Google Scholar] [CrossRef]
- Xu, L. Mechanical Behaviour of Compacted Earth with Respect to Relative Humidity and Clay Content: Experimental Study and Constitutive Modelling. Ph.D. Thesis, Université de Lyon, Lyon, France, 2018. [Google Scholar]
- Spagnoli, G.; Shimobe, S. An Overview on the Compaction Characteristics of Soils by Laboratory Tests. Eng. Geol. 2020, 278, 105830. [Google Scholar] [CrossRef]
- Raavi, S.S.D.; Tripura, D.D. Predicting and Evaluating the Engineering Properties of Unstabilized and Cement Stabilized Fibre Reinforced Rammed Earth Blocks. Constr. Build. Mater. 2020, 262, 120845. [Google Scholar] [CrossRef]
- Wangmo, P.; Shrestha, K.C.; Aoki, T. Exploratory Study of Rammed Earth Walls under Static Element Test. Constr. Build. Mater. 2021, 266, 121035. [Google Scholar] [CrossRef]
- Lin, H.; Zheng, S.; Lourenço, S.D.N.; Jaquin, P. Characterization of Coarse Soils Derived from Igneous Rocks for Rammed Earth. Eng. Geol. 2017, 228, 137–145. [Google Scholar] [CrossRef]
- Johari, A.; Golkarfard, H.; Mesbahi, M. The Effect of Nano-Clay Stabilizing Treatment on the Real Excavation Wall Failure: A Case Study. Sci. Iran. 2022, 29, 1006–1023. [Google Scholar] [CrossRef]
- Johari, A.; Golkarfard, H.; Davoudi, F.; Fazeli, A. A Predictive Model Based on the Experimental Investigation of Collapsible Soil Treatment Using Nano-Clay in the Sivand Dam Region, Iran. Bull. Eng. Geol. Env. 2021, 80, 6725–6748. [Google Scholar] [CrossRef]
- Luo, Y.; Yang, M.; Ni, P.; Peng, X.; Yuan, X. Degradation of Rammed Earth under Wind-Driven Rain: The Case of Fujian Tulou, China. Constr. Build. Mater. 2020, 261, 119989. [Google Scholar] [CrossRef]
- Traoré, L.B.; Ouellet-Plamondon, C.; Fabbri, A.; McGregor, F.; Rojat, F. Experimental Assessment of Freezing-Thawing Resistance of Rammed Earth Buildings. Constr. Build. Mater. 2021, 274, 121917. [Google Scholar] [CrossRef]
- Chauhan, P.; El Hajjar, A.; Prime, N.; Plé, O. Unsaturated Behavior of Rammed Earth: Experimentation towards Numerical Modelling. Constr. Build. Mater. 2019, 227, 116646. [Google Scholar] [CrossRef]
- Bui, Q.-B.; Morel, J.-C.; Hans, S.; Walker, P. Effect of Moisture Content on the Mechanical Characteristics of Rammed Earth. Constr. Build. Mater. 2014, 54, 163–169. [Google Scholar] [CrossRef]
- Jiang, B.; Wu, T.; Xia, W.; Liang, J. Hygrothermal Performance of Rammed Earth Wall in Tibetan Autonomous Prefecture in Sichuan Province of China. Build. Environ. 2020, 181, 107128. [Google Scholar] [CrossRef]
- Gerard, P.; Mahdad, M.; Robert McCormack, A.; François, B. A Unified Failure Criterion for Unstabilized Rammed Earth Materials upon Varying Relative Humidity Conditions. Constr. Build. Mater. 2015, 95, 437–447. [Google Scholar] [CrossRef]
- François, B.; Palazon, L.; Gerard, P. Structural Behaviour of Unstabilized Rammed Earth Constructions Submitted to Hygroscopic Conditions. Constr. Build. Mater. 2017, 155, 164–175. [Google Scholar] [CrossRef]
- Fabbri, A.; Al Haffar, N.; McGregor, F. Measurement of the Relative Air Permeability of Compacted Earth in the Hygroscopic Regime of Saturation. Comptes Rendus Mécanique 2019, 347, 912–919. [Google Scholar] [CrossRef]
- Chabriac, P.-A.; Fabbri, A.; Morel, J.-C.; Laurent, J.-P.; Blanc-Gonnet, J. A Procedure to Measure the In-Situ Hygrothermal Behavior of Earth Walls. Materials 2014, 7, 3002–3020. [Google Scholar] [CrossRef]
- Franzoni, E. State-of-the-Art on Methods for Reducing Rising Damp in Masonry. J. Cult. Herit. 2018, 31, S3–S9. [Google Scholar] [CrossRef]
- Franzoni, E. Rising Damp Removal from Historical Masonries: A Still Open Challenge. Constr. Build. Mater. 2014, 54, 123–136. [Google Scholar] [CrossRef]
- Torres, I. New Technique for Treating Rising Damp in Historical Buildings: Wall Base Ventilation. J. Cult. Herit. 2018, 31, S60–S70. [Google Scholar] [CrossRef]
- Dong, X.; Soebarto, V.; Griffith, M. Strategies for Reducing Heating and Cooling Loads of Uninsulated Rammed Earth Wall Houses. Energy Build. 2014, 77, 323–331. [Google Scholar] [CrossRef]
- Saneiyan, S.; Slater, L. Complex Conductivity Signatures of Compressive Deformation and Shear Failure in Soils. Eng. Geol. 2021, 291, 106219. [Google Scholar] [CrossRef]
- Abdulsamad, F.; Revil, A.; Prime, N.; Gnonnoue, P.Y.; Schmutz, M.; Plé, O. Complex Conductivity of Rammed Earth. Eng. Geol. 2020, 273, 105697. [Google Scholar] [CrossRef]
- El Nabouch, R. Mechanical Behavior of Rammed Earth Walls under Pushover Tests. Ph.D. Thesis, Université Grenoble Alpes, Grenoble, France, 2017. [Google Scholar]
- Serrano, S.; Rincón, L.; González, B.; Navarro, A.; Bosch, M.; Cabeza, L.F. Rammed Earth Walls in Mediterranean Climate: Material Characterization and Thermal Behaviour. Int. J. Low-Carbon Technol. 2017, 12, 281–288. [Google Scholar] [CrossRef]
- Talev, G.; Jelle, B.P.; Næss, E.; Gustavsen, A.; Thue, J.V. Measurement of the Convective Moisture Transfer Coefficient from Porous Building Material Surfaces Applying a Wind Tunnel Method. J. Build. Phys. 2013, 37, 103–121. [Google Scholar] [CrossRef]
- Zhang, L.; Zhang, N.; Zhao, F.; Chen, Y. A Genetic-Algorithm-Based Experimental Technique for Determining Heat Transfer Coefficient of Exterior Wall Surface. Appl. Therm. Eng. 2004, 24, 339–349. [Google Scholar] [CrossRef]
- An, N.; Hemmati, S.; Cui, Y.-J. Assessment of the Methods for Determining Net Radiation at Different Time-Scales of Meteorological Variables. J. Rock Mech. Geotech. Eng. 2017, 9, 239–246. [Google Scholar] [CrossRef]
- Tang, F.; Nowamooz, H. Outlet Temperatures of a Slinky-Type Horizontal Ground Heat Exchanger with the Atmosphere-Soil Interaction. Renew. Energy 2020, 146, 705–718. [Google Scholar] [CrossRef]
- Nowak, H. Modelling of the Longwave Radiation Incident upon a Building. Arch. Civ. Eng. 2001, 47, 243–267. [Google Scholar]
- Post, D.F.; Fimbres, A.; Matthias, A.D.; Sano, E.E.; Accioly, L.; Batchily, A.K.; Ferreira, L.G. Predicting Soil Albedo from Soil Color and Spectral Reflectance Data. Soil Sci. Soc. Am. J. 2000, 64, 1027–1034. [Google Scholar] [CrossRef]
- Tong, F.; Jing, L.; Zimmerman, R.W. A Fully Coupled Thermo-Hydro-Mechanical Model for Simulating Multiphase Flow, Deformation and Heat Transfer in Buffer Material and Rock Masses. Int. J. Rock Mech. Min. Sci. 2010, 47, 205–217. [Google Scholar] [CrossRef]
- Poós, T.; Varju, E. Mass Transfer Coefficient for Water Evaporation by Theoretical and Empirical Correlations. Int. J. Heat Mass Transf. 2020, 153, 119500. [Google Scholar] [CrossRef]
- Masters, G.M. Renewable and Efficient Electric Power Systems; John Wiley & Sons: Hoboken, NJ, USA, 2004; ISBN 978-0-471-28060-6. [Google Scholar]
- Bansal, R.C.; Bhatti, T.S.; Kothari, D.P. On Some of the Design Aspects of Wind Energy Conversion Systems. Energy Convers. Manag. 2002, 43, 2175–2187. [Google Scholar] [CrossRef]
- Bañuelos-Ruedas, F.; Angeles-Camacho, C.; Rios-Marcuello, S.; Bañuelos-Ruedas, F.; Angeles-Camacho, C.; Rios-Marcuello, S. Methodologies Used in the Extrapolation of Wind Speed Data at Different Heights and Its Impact in the Wind Energy Resource Assessment in a Region; IntechOpen: London, UK, 2011; ISBN 978-953-307-483-2. [Google Scholar]
- Saito, H.; Šimůnek, J.; Mohanty, B.P. Numerical Analysis of Coupled Water, Vapor, and Heat Transport in the Vadose Zone. Vadose Zone J. 2006, 5, 784–800. [Google Scholar] [CrossRef]
- Heymes, F.; Aprin, L.; Bony, A.; Forestier, S.; Cirocchi, S.; Dusserre, G. An Experimental Investigation of Evaporation Rates for Different Volatile Organic Compounds. Process. Saf. Prog. 2013, 32, 193–198. [Google Scholar] [CrossRef]
- Monteith, J.; Unsworth, M. Principles of Environmental Physics: Plants, Animals, and the Atmosphere; Academic Press: Cambridge, MA, USA, 2013; ISBN 978-0-12-386993-7. [Google Scholar]
- Cole, R.J. The Longwave Radiation Incident upon Inclined Surfaces. Sol. Energy 1979, 22, 459–462. [Google Scholar] [CrossRef]
- Huang, J. A Simple Accurate Formula for Calculating Saturation Vapor Pressure of Water and Ice. J. Appl. Meteorol. Climatol. 2018, 57, 1265–1272. [Google Scholar] [CrossRef]
- Tsilingiris, P.T. Thermophysical and Transport Properties of Humid Air at Temperature Range between 0 and 100 °C. Energy Convers. Manag. 2008, 49, 1098–1110. [Google Scholar] [CrossRef]
- Wagner, W.; Kretzschmar, H.-J. (Eds.) IAPWS Industrial Formulation 1997 for the Thermodynamic Properties of Water and Steam. In International Steam Tables: Properties of Water and Steam Based on the Industrial Formulation IAPWS-IF97; Springer: Berlin/Heidelberg, Germany, 2008; pp. 7–150. ISBN 978-3-540-74234-0. [Google Scholar]
- Rehman, M.M.U.; Cheema, T.A.; Ahmad, F.; Khan, M.; Abbas, A. Thermodynamic Assessment of Microchannel Heat Sinks with Novel Sidewall Ribs. J. Thermophys. Heat Transf. 2019, 34, 243–254. [Google Scholar] [CrossRef]
- Alnefaie, K.A.; Abu-Hamdeh, N.H. Specific Heat and Volumetric Heat Capacity of Some Saudian Soils as Affected by Moisture and Density. In Proceedings of the International Conference on Mechanics, Fluids, Heat, Elasticity and Electromagnetic Fields, Venice, Italy, 28–30 September 2013; pp. 139–143. [Google Scholar]
- Allinson, D.; Hall, M. Hygrothermal Analysis of a Stabilised Rammed Earth Test Building in the UK. Energy Build. 2010, 42, 845–852. [Google Scholar] [CrossRef]
- Soudani, L.; Fabbri, A.; Morel, J.-C.; Woloszyn, M.; Chabriac, P.-A.; Wong, H.; Grillet, A.-C. Assessment of the Validity of Some Common Assumptions in Hygrothermal Modeling of Earth Based Materials. Energy Build. 2016, 116, 498–511. [Google Scholar] [CrossRef]
- Medjelekh, D.; Ulmet, L.; Gouny, F.; Fouchal, F.; Nait-Ali, B.; Maillard, P.; Dubois, F. Characterization of the Coupled Hygrothermal Behavior of Unfired Clay Masonries: Numerical and Experimental Aspects. Build. Environ. 2016, 110, 89–103. [Google Scholar] [CrossRef]
- Touré, P.M.; Sambou, V.; Faye, M.; Thiam, A.; Adj, M.; Azilinon, D. Mechanical and Hygrothermal Properties of Compressed Stabilized Earth Bricks (CSEB). J. Build. Eng. 2017, 13, 266–271. [Google Scholar] [CrossRef]
- Indekeu, M.; Woloszyn, M.; Grillet, A.-C.; Soudani, L.; Fabbri, A. Towards Hygrothermal Characterization of Rammed Earth with Small-Scale Dynamic Methods. Energy Procedia 2017, 132, 297–302. [Google Scholar] [CrossRef]
- Taylor, P.; Luther, M.B. Evaluating Rammed Earth Walls: A Case Study. Sol. Energy 2004, 76, 79–84. [Google Scholar] [CrossRef]
- Toufigh, V.; Kianfar, E. The Effects of Stabilizers on the Thermal and the Mechanical Properties of Rammed Earth at Various Humidities and Their Environmental Impacts. Constr. Build. Mater. 2019, 200, 616–629. [Google Scholar] [CrossRef]
- Hall, M.; Allinson, D. Assessing the Effects of Soil Grading on the Moisture Content-Dependent Thermal Conductivity of Stabilised Rammed Earth Materials. Appl. Therm. Eng. 2009, 29, 740–747. [Google Scholar] [CrossRef]
- Liuzzi, S.; Hall, M.R.; Stefanizzi, P.; Casey, S.P. Hygrothermal Behaviour and Relative Humidity Buffering of Unfired and Hydrated Lime-Stabilised Clay Composites in a Mediterranean Climate. Build. Environ. 2013, 61, 82–92. [Google Scholar] [CrossRef]
- Zhang, L.; Yang, L.; Jelle, B.P.; Wang, Y.; Gustavsen, A. Hygrothermal Properties of Compressed Earthen Bricks. Constr. Build. Mater. 2018, 162, 576–583. [Google Scholar] [CrossRef]
- Mahdavi, A.; Martens, B.; Scherer, R. EWork and EBusiness in Architecture, Engineering and Construction: ECPPM 2014; CRC Press: Boca Raton, FL, USA, 2014; ISBN 978-1-138-02711-4. [Google Scholar]
- Nowamooz, H.; Nikoosokhan, S.; Lin, J.; Chazallon, C. Finite Difference Modeling of Heat Distribution in Multilayer Soils with Time-Spatial Hydrothermal Properties. Renew. Energy 2015, 76, 7–15. [Google Scholar] [CrossRef]
- Nikoosokhan, S.; Nowamooz, H.; Chazallon, C. Effect of Dry Density, Soil Texture and Time-Spatial Variable Water Content on the Soil Thermal Conductivity. Geomech. Geoengin. 2016, 11, 149–158. [Google Scholar] [CrossRef]
- Bishop, A.W.; Blight, G.E. Some Aspects of Effective Stress in Saturated and Partly Saturated Soils. Géotechnique 1963, 13, 177–197. [Google Scholar] [CrossRef]
- Freeze, R.A. Three-dimensional, Transient, Saturated-unsaturated Flow in a Groundwater Basin. Water Resour. Res. 1971, 7, 347–366. [Google Scholar] [CrossRef]
- Bear, J. Dynamics of Fluids in Porous Media; Courier Corporation: Chelmsford, MA, USA, 2013; ISBN 0-486-13180-7. [Google Scholar]
- Adamson, A.W.; Gast, A.P. Physical Chemistry of Surfaces; Interscience Publishers: New York, NY, USA, 1967; Volume 15. [Google Scholar]
- Darcy, H. Recherches Expérimentales Relatives Au Mouvement de l’eau Dans Les Tuyaux; Mallet-Bachelier: Paris, France, 1857. [Google Scholar]
- Cooper, J.R.; Dooley, R.B. Release of the IAPWS Formulation 2008 for the Viscosity of Ordinary Water Substance; International Association for the Properties of Water and Stea: Berlin, Germany, 2008. [Google Scholar]
- Taylor, D.W. Fundamentals of Soil Mechanics. Soil Sci. 1948, 66, 161. [Google Scholar] [CrossRef]
- Carman, P.C. Fluid Flow through Granular Beds. Chem. Eng. Res. Des. 1997, 75, S32–S48. [Google Scholar] [CrossRef]
- dos Santos, R.A.; Esquivel, E.R. Saturated Anisotropic Hydraulic Conductivity of a Compacted Lateritic Soil. J. Rock Mech. Geotech. Eng. 2018, 10, 986–991. [Google Scholar] [CrossRef]
- van Genuchten, M.T. A Closed-Form Equation for Predicting the Hydraulic Conductivity of Unsaturated Soils. Soil Sci. Soc. Am. J. 1980, 44, 892–898. [Google Scholar] [CrossRef]
- Mualem, Y. A New Model for Predicting the Hydraulic Conductivity of Unsaturated Porous Media. Water Resour. Res. 1976, 12, 513–522. [Google Scholar] [CrossRef]
- Fischer, U.; Celia, M.A. Prediction of Relative and Absolute Permeabilities for Gas and Water from Soil Water Retention Curves Using a Pore-Scale Network Model. Water Resour. Res. 1999, 35, 1089–1100. [Google Scholar] [CrossRef]
- Hoek, E.; Brown, E.T. Underground Excavations in Rock; CRC Press: Boca Raton, FL, USA, 1980; ISBN 978-0-900488-55-9. [Google Scholar]
- Zhang, X.; Nowamooz, H. Thermo-Hydro-Mechanical (THM) Behavior of Unstabilized Rammed Earth (URE) Wall Submitted to Environmental and Mechanical Loadings. Mater. Struct. 2021, 54, 198. [Google Scholar] [CrossRef]
- Zhang, X.; Nowamooz, H. Effect of Rising Damp in Unstabilized Rammed Earth (URE) Walls. Constr. Build. Mater. 2021, 307, 124989. [Google Scholar] [CrossRef]
- Araki, H.; Koseki, J.; Sato, T. Tensile Strength of Compacted Rammed Earth Materials. Soils Found. 2016, 56, 189–204. [Google Scholar] [CrossRef]
- Otcovska, T.P.; Muzikova, B.; Padevet, P. Mechanical Properties of Rammed Earth with Respect to Clay Mixture Composition. Acta Polytech. 2019, 59, 372–383. [Google Scholar] [CrossRef]
- Bui, T.-T.; Bui, Q.-B.; Limam, A.; Maximilien, S. Failure of Rammed Earth Walls: From Observations to Quantifications. Constr. Build. Mater. 2014, 51, 295–302. [Google Scholar] [CrossRef]
- Meek, A.H.; Elchalakani, M.; Beckett, C.T.S.; Dong, M. Alternative Stabilised Rammed Earth Materials Incorporating Recycled Waste and Industrial By-Products: A Study of Mechanical Properties, Flexure and Bond Strength. Constr. Build. Mater. 2021, 277, 122303. [Google Scholar] [CrossRef]
- Sukrawa, M.; Pringgana, G.; Yustinaputri, P.A.R. Modelling of Confined Masonry Structure and Its Application for the Design of Multi-Story Building. MATEC Web Conf. 2019, 276, 01034. [Google Scholar] [CrossRef]
- Champiré, F.; Fabbri, A.; Morel, J.-C.; Wong, H.; McGregor, F. Impact of Relative Humidity on the Mechanical Behavior of Compacted Earth as a Building Material. Constr. Build. Mater. 2016, 110, 70–78. [Google Scholar] [CrossRef]
- Xu, L.; Wong, K.K.; Fabbri, A.; Champiré, F.; Branque, D. Loading-Unloading Shear Behavior of Rammed Earth upon Varying Clay Content and Relative Humidity Conditions. Soils Found. 2018, 58, 1001–1015. [Google Scholar] [CrossRef]
- Jaquin, P.A.; Augarde, C.E.; Gallipoli, D.; Toll, D.G. The strength of unstabilised rammed earth materials. Géotechnique 2009, 59, 487–490. [Google Scholar] [CrossRef]
- Yu, Y.; Zhang, Y.X.; Khennane, A. Numerical Modelling of Degradation of Cement-Based Materials under Leaching and External Sulfate Attack. Comput. Struct. 2015, 158, 1–14. [Google Scholar] [CrossRef]
- Maria D’Altri, A.; Lo Presti, N.; Grillanda, N.; Castellazzi, G.; de Miranda, S.; Milani, G. A Two-Step Automated Procedure Based on Adaptive Limit and Pushover Analyses for the Seismic Assessment of Masonry Structures. Comput. Struct. 2021, 252, 106561. [Google Scholar] [CrossRef]
- Nagaraj, H.B.; Sravan, M.V.; Arun, T.G.; Jagadish, K.S. Role of Lime with Cement in Long-Term Strength of Compressed Stabilized Earth Blocks. Int. J. Sustain. Built Environ. 2014, 3, 54–61. [Google Scholar] [CrossRef]
- Nguyen, J.L.; Schwartz, J.; Dockery, D.W. The Relationship between Indoor and Outdoor Temperature, Apparent Temperature, Relative Humidity, and Absolute Humidity. Indoor Air 2014, 24, 103–112. [Google Scholar] [CrossRef]
- Perić, A.; Kraus, I.; Kaluđer, J.; Kraus, L. Experimental Campaigns on Mechanical Properties and Seismic Performance of Unstabilized Rammed Earth—A Literature Review. Buildings 2021, 11, 367. [Google Scholar] [CrossRef]
- Bruno, A.W.; Gallipoli, D.; Perlot, C.; Mendes, J. Effect of Very High Compaction Pressures on the Physical and Mechanical Properties of Earthen Materials. E3S Web Conf. 2016, 9, 14004. [Google Scholar] [CrossRef]
- Galaa, A.; Di Emidio, G.; Malengier, B.; Peiffer, H.; Verastegui Flores, R.; Cornelis, W. Evaluating the Effect of Fines on Hydraulic Properties of Rammed Earth Using a Bench Scale Centrifuge. In Proceedings of the Advances in Characterization and Analysis of Expansive Soils and Rocks; Hoyos, L.R., McCartney, J., Eds.; Springer International Publishing: Cham, Switzerland, 2018; pp. 205–220. [Google Scholar]
- Vásárhelyi, B.; Ván, P. Influence of Water Content on the Strength of Rock. Eng. Geol. 2006, 84, 70–74. [Google Scholar] [CrossRef]
- Usowicz, B.; Lipiec, J.; Ferrero, A. Prediction of Soil Thermal Conductivity Based on Penetration Resistance and Water Content or Air-Filled Porosity. Int. J. Heat Mass Transf. 2006, 49, 5010–5017. [Google Scholar] [CrossRef]











| Factors | Unit | Reference Value | Decrease to | Increase to | |
|---|---|---|---|---|---|
| Material | fine content | - | 0.5 | 0.2 | 0.8 |
| dry density | kg·m−3 | 2000 | 1800 | 2200 | |
| Hydro-thermal | initial saturation of the wall | - | 0.75 | 0.55 | 0.95 |
| ground surface suction | MPa | 1 | 0.1 | 8 | |
| average annual outdoor relative humidity | - | 0.75 | 0.65 | 0.85 | |
| average annual outdoor temperature | ℃ | 12 | 9 | 15 | |
| outdoor wind speed at 10 m | m·s−1 | 3.5 | 2.5 | 4.5 | |
| cloud cover | - | 0.35 | 0.1 | 0.6 | |
| Munsell color value | - | 3.5 | 2.5 | 4.5 | |
| incoming shortwave radiation | W·m−2 | 116 | 88 | 144 | |
| Emissivity | - | 0.96 | 0.93 | 0.99 | |
| Dimension | wall thickness | m | 0.3 | 0.2 | 0.4 |
| wall height | m | 3 | 2.5 | 3.5 | |
| wall width | m | 4 | 3 | 5 | |
| Mechanical | vertical load | kPa | 60 | 0 | 120 |
| Dry Density (kg/m3) | Fine Content | Temperature (°C) | Suction (MPa) | Measured Hydraulic Conductivity (m·s−1) | Predicted Hydraulic Conductivity (m·s−1) |
|---|---|---|---|---|---|
| 1980 | 0.3 | 25 | 0 | 7.2 × 10−9 | 7.7 × 10−9 |
| Height (m) | Width (m) | Thickness (m) | Dry Density (kg·m−3) | Fine Content (-) | Temperature (°C) | |
|---|---|---|---|---|---|---|
| Earth block | 0.03 | 0.05 | 0.05 | 2160 | 0.8 | 25 |
| Relative humidity (-) | Suction (MPa) | Vertical load (kPa) | Measured RSI value (K·m2·W−1) | Predicted RSI value (K·m2·W−1) | ||
| 0.6 | 69 | 0 | 0.076 | 0.070 | ||
| s (MPa) | tor (-) | ρd (kg·m−3) | tor (-) | cfi (-) | tor (-) |
|---|---|---|---|---|---|
| 0.1 | 0.558 | 1800 | 7.23 | 0.2 | 13.17 |
| 1 | 7.84 | 2000 | 7.84 | 0.5 | 7.84 |
| 8 | 21.66 | 2200 | 8.70 | 0.8 | 8.48 |
| Height (m) | Width (m) | Thickness (m) | Dry Density (kg/m3) | Fine Content (-) | Temperature (°C) | |
|---|---|---|---|---|---|---|
| wall-1,4 | 1.5 | 1.5 | 0.25 | 1960 | 0.3 | 20 |
| wall-2,3 | 1.5 | 1.5 | 0.25 | 1960 | 0.3 | 20 |
| Relative Humidity | Suction (MPa) | Vertical Load (kPa) | Initial Saturation (-) | Measured Pushover Strength (kN) | Predicted Pushover Strength (kN) | |
| wall-1,4 | 0.6 | 69 | 300 | 0.53 | 39 | 34 |
| wall-2,3 | 0.6 | 69 | 300 | 0.47 | 43 | 37 |
Publisher’s Note: MDPI stays neutral with regard to jurisdictional claims in published maps and institutional affiliations. |
© 2022 by the authors. Licensee MDPI, Basel, Switzerland. This article is an open access article distributed under the terms and conditions of the Creative Commons Attribution (CC BY) license (https://creativecommons.org/licenses/by/4.0/).
Share and Cite
Zhang, X.; Nowamooz, H. Factors Influencing the Thermo-Hydro-Mechanical Behavior of Unstabilized Rammed Earth Walls. Materials 2022, 15, 8821. https://doi.org/10.3390/ma15248821
Zhang X, Nowamooz H. Factors Influencing the Thermo-Hydro-Mechanical Behavior of Unstabilized Rammed Earth Walls. Materials. 2022; 15(24):8821. https://doi.org/10.3390/ma15248821
Chicago/Turabian StyleZhang, Xiang, and Hossein Nowamooz. 2022. "Factors Influencing the Thermo-Hydro-Mechanical Behavior of Unstabilized Rammed Earth Walls" Materials 15, no. 24: 8821. https://doi.org/10.3390/ma15248821
APA StyleZhang, X., & Nowamooz, H. (2022). Factors Influencing the Thermo-Hydro-Mechanical Behavior of Unstabilized Rammed Earth Walls. Materials, 15(24), 8821. https://doi.org/10.3390/ma15248821

