Trap Parameters for the Fast OSL Signal Component Obtained through Analytical Separation for Various Quartz Samples
Abstract
1. Introduction
2. Materials and Methods
2.1. Samples
- 2 MV 570—dia. 63–90 μm, a loess sediment from Mircea Voda, Romania. A detailed description of the preparation of sample 2 MV 570 can be found elsewhere [22], with references therein (in this work subsample 2 MV 570A was used);
- MR—dia. 150–250 μm, from ~8 to 9 ka old deposits ‘Silver Sands of Morar’, reworked intensely by fluvial and marine processes. The preparation of sample MR is described in detail by Schmidt et al. [25].
- FB—dia. 150–250 μm, Oligocene coastal sand from the Fontainebleau Sand Formation, from the time of the last marine intrusion into the Paris Basin (the Stampian Sea) ~35 Ma ago. The preparation of sample FB is described in detail in Kreutzer et al. [26] (in this work batch FB, subsample FB3A was used);
2.2. Instrumentation
2.3. Trap Parameter Determination
Protocol
3. Results
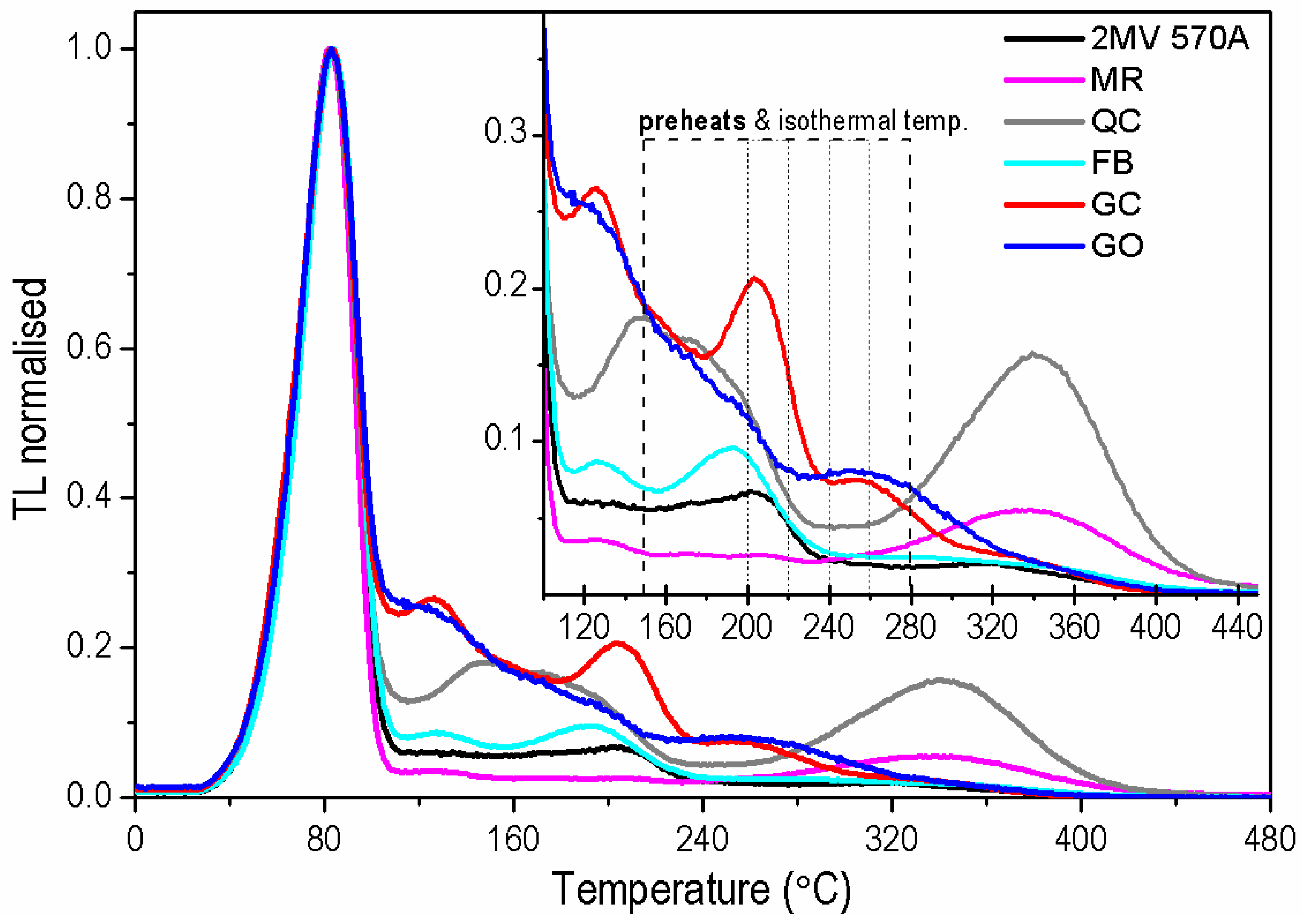
3.1. Initial Characterization of Luminescence Properties: TL, CW-OSL, TM-OSL
3.2. TM-OSL Method Used for the Fast OSL Component Separation
3.3. Influence of the Irradiation Dose on the OTDC Measurement Results
4. Discussion
5. Conclusions
- Both in samples with a low share and with a dominant share of the fast component in the total OSL signal, the proper separation of the fast OSL component in the OSL measurement is crucial for obtaining reliable values of trap parameters.
- A procedure using the TM-OSL method for measurement of the isothermal depletion curve with preheat 280 °C seems to be the best solution, at least in the case of the investigated samples. This is supported by the fact that a single exponential function is sufficient to obtain a good reconstruction of OTDC even for quartz samples of low OSL fast component intensity.
- For samples not dominated by the fast OSL component, the OTDCs can be more stretched and the fit quality can decrease. However, if the TM-OSL signal is measurable, probably after finding the proper dose, preheat and thermal holding temperatures, the trap stability may be successfully designated still using the first-order kinetic decay.
- The trap responsible for the fast OSL component in quartz is independent of the quartz sample type (sediment or rock). The mean trap depth and s factor (calculated based on bold data from Table 2) are: E = 1.63 ± 0.01 eV, s = (1.83 ± 0.37) × 1013 s−1 and are close to these established earlier for sedimentary quartz that had the fast component dominating in OSL signal by Murray and Wintle [20]: E = 1.66 ± 0.03 eV, s = (1.00 ± 1.99) × 1013 s−1.
Author Contributions
Funding
Institutional Review Board Statement
Informed Consent Statement
Data Availability Statement
Acknowledgments
Conflicts of Interest
References
- Rhodes, E.J. Optically stimulated luminescence dating of sediments over the past 200,000 years. Annu. Rev. Earth Planet Sci. 2011, 39, 461–488. [Google Scholar] [CrossRef]
- Guralnik, B.; Jain, M.; Herman, F.; Paris, R.B.; Harrison, T.M.; Murray, A.S.; Valla, P.G.; Rhodes, E.J. Effective closure temperature in leaky and/or saturating thermochronometers. Earth Planet. Sci. Lett. 2013, 384, 209–218. [Google Scholar] [CrossRef]
- Smith, B.W.; Rhodes, E.J. Charge movements in quartz and their relevance to optical dating. Radiat. Meas. 1994, 23, 329–333. [Google Scholar] [CrossRef]
- Bailey, R.M.; Smith, B.W.; Rhodes, E.J. Partial bleaching and the decay form characteristics of quartz OSL. Radiat. Meas. 1997, 27, 123–136. [Google Scholar] [CrossRef]
- Murray, A.S.; Wintle, A.G. The single aliquot regenerative dose protocol: Potential for improvements in reliability. Radiat. Meas. 2003, 37, 377–381. [Google Scholar] [CrossRef]
- Li, B.; Li, S.H. Comparison of De estimates using the fast component and the medium component of quartz OSL. Radiat. Meas. 2006, 41, 125–136. [Google Scholar] [CrossRef]
- Wang, X.L.; Wintle, A.G.; Lu, Y.C. Thermally transferred luminescence in fine-grained quartz from Chinese loess: Basic observations. Radiat. Meas. 2006, 41, 649–658. [Google Scholar] [CrossRef]
- Wu, T.S.; Jain, M.; Guralnik, B.; Murray, A.S.; Chen, Y.G. Luminescence characteristics of quartz from Hsuehshan Range (Central Taiwan) and implications for thermochronometry. Radiat. Meas. 2015, 81, 104–109. [Google Scholar] [CrossRef]
- Durcan, J.A. Assessing the reproducibility of quartz OSL lifetime determinations derived using isothermal decay. Radiat. Meas. 2018, 120, 234–240. [Google Scholar] [CrossRef]
- Mineli, T.D.; Sawakuchi, A.O.; Guralnik, B.; Lambert, R.; Jain, M.; Pupim, F.N.; del Rio, I.; Guedes, C.C.F.; Nogueira, L. Variation of luminescence sensitivity, characteristic dose and trap parameters of quartz from rocks and sediments. Radiat. Meas. 2021, 144, 106583. [Google Scholar] [CrossRef]
- King, G.E.; Herman, F.; Lambert, R.; Valla, P.G.; Guralnik, B. Multi-OSL-thermochronometry of feldspar. Quat. Geochronol. 2016, 33, 76–87. [Google Scholar] [CrossRef]
- Faershtein, G.; Guralnik, B.; Lambert, R.; Matmon, A.; Porat, N. Investigating the thermal stability of TT-OSL main source trap. Radiat. Meas. 2018, 119, 102–111. [Google Scholar] [CrossRef]
- Chruścińska, A.; Kijek, N. Thermally modulated optically stimulated luminescence (TM–OSL) as a tool of trap parameter analysis. J. Lumin. 2016, 174, 42–48. [Google Scholar] [CrossRef]
- Chruścińska, A.; Kijek, N.; Topolewski, S. Recent development in the optical stimulation of luminescence. Radiat. Meas. 2017, 106, 13–19. [Google Scholar] [CrossRef]
- Chruścińska, A.; Szramowski, A. Thermally modulated optically stimulated luminescence (TM-OSL) of quartz. J. Lumin. 2018, 195, 435–440. [Google Scholar] [CrossRef]
- Biernacka, M.; Chruścińska, A.; Palczewski, P.; Derkowski, P. Determining the kinetic parameters of traps in quartz using the thermally modulated OSL method. J. Lumin. 2022, 252, 119289. [Google Scholar] [CrossRef]
- Dodson, M.H. Closure temperature in cooling geochronological and petrological systems. Contrib. Mineral. Petrol. 1973, 40, 259–274. [Google Scholar] [CrossRef]
- Herman, F.; Rhodes, E.J.; Braun, J.; Heiniger, L. Uniform erosion rates and relief amplitude during glacial cycles in the Southern Alps of New Zealand, as revealed from OSL-thermochronology. Earth Planet. Sci. Lett. 2010, 297, 183–189. [Google Scholar] [CrossRef]
- Li, B.; Li, S.H. Determining the cooling age using luminescence-thermochronology. Tectonophysics 2012, 580, 242–248. [Google Scholar] [CrossRef][Green Version]
- Murray, A.S.; Wintle, A.G. Isothermal decay of optically stimulated luminescence in quartz. Radiat. Meas. 1999, 30, 119–125. [Google Scholar] [CrossRef]
- Spooner, N.A.; Questiaux, D.G. Kinetics of red, blue and UV thermoluminescence and optically-stimulated luminescence from quartz. Radiat. Meas. 2000, 32, 659–666. [Google Scholar] [CrossRef]
- Groza-Săcaciu, Ș.M.; Panaiotu, C.; Timar-Gabor, A. Single Aliquot Regeneration (SAR) Optically Stimulated Luminescence Dating Protocols Using Different Grain-Sizes of Quartz: Revisiting the Chronology of Mircea Vodă Loess-Paleosol Master Section (Romania). Methods Protoc. 2020, 3, 19. [Google Scholar] [CrossRef] [PubMed]
- Madsen, A.T.; Murray, A.S.; Andersen, T.J. Optical dating of dune ridges on Rømø, a barrier island in the Wadden Sea, Denmark. J. Coast. Res. 2007, 23, 1259–1269. [Google Scholar] [CrossRef]
- Hansen, V.; Murray, A.; Buylaert, J.P.; Yeo, E.Y.; Thomsen, K. A new irradiated quartz for beta source calibration. Radiat. Meas. 2015, 81, 123–127. [Google Scholar] [CrossRef]
- Schmidt, C.; Chruścińska, A.; Fasoli, M.; Biernacka, M.; Kreutzer, S.; Polymeris, G.S.; Sanderson, D.C.W.; Cresswell, A.; Adamiec, A.; Martini, M. A systematic multi-technique comparison of luminescence characteristics of two reference quartz samples. J. Lumin. 2022, 250, 119070. [Google Scholar] [CrossRef]
- Kreutzer, S.; Friedrich, J.; Sanderson, D.; Adamiec, G.; Chruścińska, A.; Fasoli, M.; Martini, M.; Polymeris, G.S.; Burbidge, C.I.; Schmidt, C. Les sables de fontainebleau: A natural quartz reference sample and its characterization. Anc. TL 2017, 35, 21–31. [Google Scholar]
- Fornash, K.F.; Patchett, P.J.; Gehrels, G.E.; Spencer, J.E. Evolution of granitoids in the Catalina metamorphic core complex, southeastern Arizona: U–Pb, Nd, and Hf isotopic constraints. Contrib. Mineral. Petrol. 2013, 165, 1295–1310. [Google Scholar] [CrossRef]
- Ducea, M.N.; Triantafyllou, A.; Krcmaric, J. New timing and depth constraints for the Catalina metamorphic core complex, southeast Arizona. Tectonics 2020, 39, e2020TC006383. [Google Scholar] [CrossRef]
- Aitken, M.J. Thermoluminescence Dating; Academic Press: London, UK, 1985. [Google Scholar]
- McKeever, S.W.S. Thermoluminescence of Solids; Cambridge University Press: Cambridge, UK, 1985. [Google Scholar]
- Chen, R.; McKeever, S.W.S. Theory of Thermoluminescence and Related Phenomena; World Scientific: Singapore, 1997. [Google Scholar]
- Wintle, A.G.; Murray, A.S. A review of quartz optically stimulated luminescence characteristics and their relevance in single-aliquot regeneration dating protocols. Radiat. Meas. 2006, 41, 369–391. [Google Scholar] [CrossRef]
- Wintle, A.G. Thermal quenching of thermoluminescence in quartz. Geophys. J. R. Astron. Soc. 1975, 41, 107–113. [Google Scholar] [CrossRef]
- Subedi, B.; Oniya, E.; Polymeris, G.S.; Afouxenidis, D.; Tsirliganis, N.C.; Kitis, G. Thermal quenching of thermoluminescence in quartz samples of various origin. Nucl. Instrum. Methods Phys. Res. B 2011, 269, 572–581. [Google Scholar] [CrossRef]
- Subedi, B.; Polymeris, G.S.; Tsirliganis, N.C.; Pagonis, V.; Kitis, G. Reconstruction of thermally quenched glow curves in quartz. Radiat. Meas. 2012, 47, 250–257. [Google Scholar] [CrossRef]
- Friedrich, J.; Kreutzer, S.; Schmidt, C. Radiofluorescence as a detection tool for quartz luminescence quenching processes. Radiat. Meas. 2018, 120, 33–40. [Google Scholar] [CrossRef]
- Pawlak, N.K.; Chruścińska, A.; Biernacka, M.; Palczewski, P. Thermal stability assessment of OSL signal by measuring the OSL thermal depletion curves. Measurement 2022, 199, 111505. [Google Scholar] [CrossRef]
- Randall, J.T.; Wilkins, M.H.F. Phosphorescence and electron traps. I. The study of trap distributions. Proc. R. Soc. Lond. Ser. A 1945, 184, 365–389. [Google Scholar]








| Protocol TM-OSL620 nm | |
|---|---|
| 1 | Irradiation (D) * |
| 2 | Preheat to 150 °C or 280 °C, 2 Ks−1, 0 s |
| 3 | Heating the sample to T ** with the heating rate of 1 Ks−1 and holding at T during t *** seconds |
| 4 | TM-OSL620 nm from 40 °C to 200 °C, 2 Ks−1 |
| 5 | Heating to 500 °C, 5 Ks−1 |
| 6 | Go to step 1 |
| Rocks | Sediments | ||||||
|---|---|---|---|---|---|---|---|
| GO | GC | 2 MV 570 | FB | QC | MR | ||
| 10 [Gy] | E [eV] | 1.60 ± 0.11 | 1.54 ± 0.02 | 1.56 ± 0.04 | 1.54 ± 0.08 | 1.64 ± 0.05 | 1.653 ± 0.004 |
| s [s−1] | (8.3 ± 19.0) × 1012 | (5.52 ± 2.33) × 1011 | (2.96 ± 2.51) × 1012 | (2.21 ± 3.88) × 1012 | (1.98 ± 2.02) × 1013 | (2.28 ± 0.19) × 1013 | |
| Tmax [°C] | 307.7 | 335.3 | 312.1 | 309.3 | 307.3 | 309.3 | |
| 100 [Gy] | E [eV] | 1.56 ± 0.03 | 1.63 ± 0.03 | 1.67 ± 0.31 | 1.64 ± 0.03 | 1.65 ± 0.01 | 1.67 ± 0.03 |
| s [s−1] | (3.43 ± 2.15) × 1012 | (1.4 ± 0.9) × 1013 | (3.14 ± 21.3) × 1013 | (2.15 ± 1.38) × 1013 | (2.50 ± 0.32) × 1013 | (3.0 ± 1.9) × 1013 | |
| Tmax [°C] | 308.9 | 309.4 | 310.0 | 305.8 | 306.4 | 310.6 | |
| 1000 [Gy] | E [eV] | 1.59 ± 0.01 | 1.590 ± 0.001 | 1.629 ± 0.003 | 1.65 ± 0.05 | 1.65 ± 0.04 | 1.63 ± 0.15 |
| s [s−1] | (7.3 ± 0.9) × 1012 | (5.3 ± 0.17) × 1012 | (1.46 ± 0.11) × 1013 | (2.47 ± 2.72) × 1013 | (2.60 ± 2.14) × 1013 | (4.51 ± 14.4) × 1012 | |
| Tmax [°C] | 306.5 | 312.4 | 308.5 | 306.9 | 306.1 | 329.0 | |
Publisher’s Note: MDPI stays neutral with regard to jurisdictional claims in published maps and institutional affiliations. |
© 2022 by the authors. Licensee MDPI, Basel, Switzerland. This article is an open access article distributed under the terms and conditions of the Creative Commons Attribution (CC BY) license (https://creativecommons.org/licenses/by/4.0/).
Share and Cite
Biernacka, M.; Timar-Gabor, A.; Kabacińska, Z.; Palczewski, P.; Chruścińska, A. Trap Parameters for the Fast OSL Signal Component Obtained through Analytical Separation for Various Quartz Samples. Materials 2022, 15, 8682. https://doi.org/10.3390/ma15238682
Biernacka M, Timar-Gabor A, Kabacińska Z, Palczewski P, Chruścińska A. Trap Parameters for the Fast OSL Signal Component Obtained through Analytical Separation for Various Quartz Samples. Materials. 2022; 15(23):8682. https://doi.org/10.3390/ma15238682
Chicago/Turabian StyleBiernacka, Magdalena, Alida Timar-Gabor, Zuzanna Kabacińska, Piotr Palczewski, and Alicja Chruścińska. 2022. "Trap Parameters for the Fast OSL Signal Component Obtained through Analytical Separation for Various Quartz Samples" Materials 15, no. 23: 8682. https://doi.org/10.3390/ma15238682
APA StyleBiernacka, M., Timar-Gabor, A., Kabacińska, Z., Palczewski, P., & Chruścińska, A. (2022). Trap Parameters for the Fast OSL Signal Component Obtained through Analytical Separation for Various Quartz Samples. Materials, 15(23), 8682. https://doi.org/10.3390/ma15238682

