Effect of Shot Peen Forming on Corrosion-Resistant of 2024 Aluminum Alloy in Salt Spray Environment
Abstract
1. Introduction
2. Experimental Procedure
2.1. Materials and Chemicals
2.2. Methods
2.2.1. Salt Spray Corrosion Test
2.2.2. Weight Loss Test
2.2.3. Electrochemical Characterization
3. Results and Discussions
3.1. Corrosion Rate in Salt Spray Environment
3.2. Corrosion Surface Morphology in a Salt Spray Environment
3.3. Corrosion Layer Characteristics in a Salt Spray Environment
3.3.1. Corrosion Layer Characteristics of the Shot Peen-Formed Sample in a Salt Spray Environment
3.3.2. Corrosion Layer Characteristics of the Original Sample in a Salt Spray Environment
3.4. Effect of Shot Peen Forming on Electrochemical Properties of Alloys
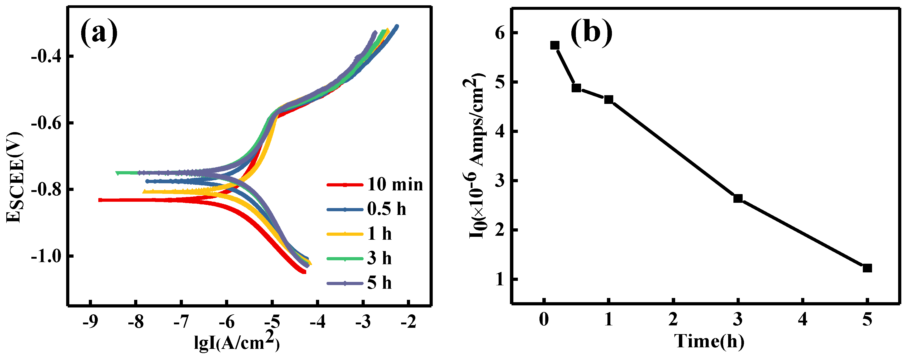
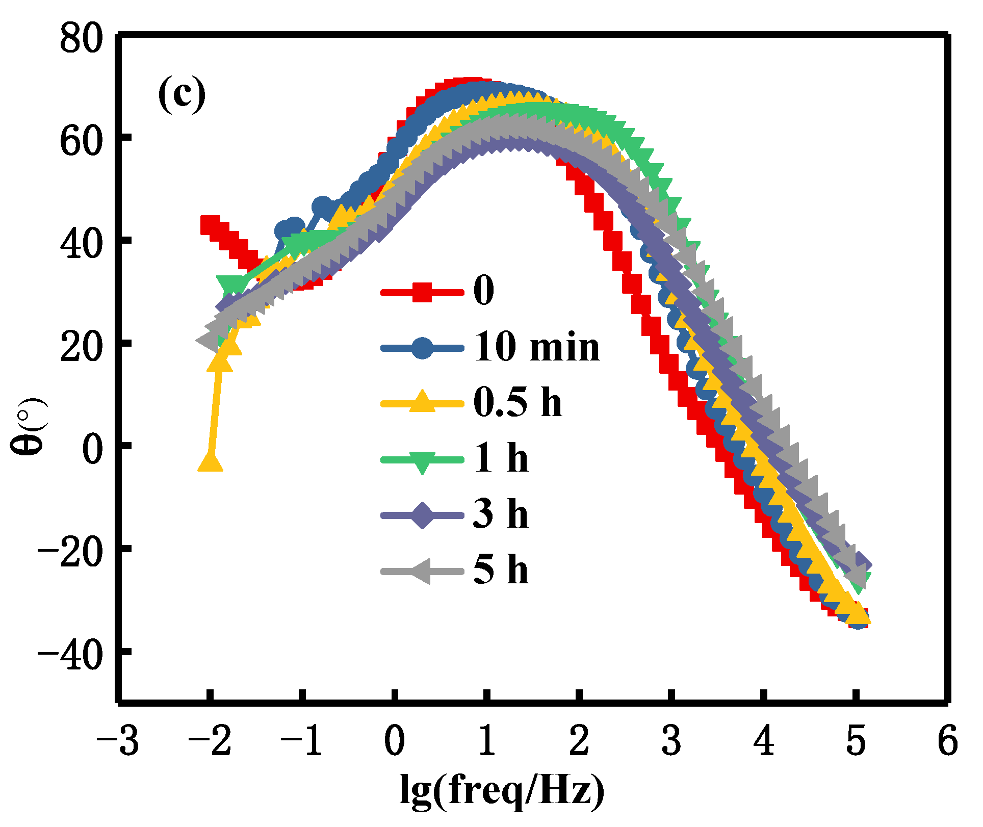
3.4.1. Electrochemical Impedance Spectroscopy Results
3.4.2. Mott–Schottky Results
4. Conclusions
- The salt spray corrosion resistance of aluminum sample was worsened through shot peen forming, especially at the initial stage. When the salt spray corrosion time was 10 min, the corrosion rates of the sample subjected to shot peen forming and original sample were about 3.52001 mg/(cm2·h) and 2.8 mg/(cm2·h), respectively. Upon extending the salt spraying time, the corrosion rate of these samples decreased, but the corrosion rate of the shot peen forming sample was still faster than that of the original sample. Through shot peen forming, the NA value of the alloy increased after the salt spray corrosion for 1 h and 5 h.
- Many corrosion pits were formed on the surface of the aluminum sample after salt spray corrosion. Compared with the original sample, for the shot peen-formed sample at the initial stage of salt spray corrosion, a large number of corrosion pits were mainly distributed at the ridge of craters. When the salt spray corrosion time was 1 h, the corrosion pit penetrated in some regions. When the salt spray time reached 5 h, the diameter and depth of the corrosion pit increased. This was due to the residue of elements in the crater and outside the crater, which intensified the corrosion of the alloy.
- Shot peen forming promoted the occurrence of intergranular corrosion and the spalling of corrosion products on the alloy surface. For the shot peen-formed sample, when the salt spray corrosion time was 10 min, the sample underwent intergranular corrosion and the cracks appeared in the corrosion products at grain boundaries at 0.5 h. When the salt spray corrosion time was 1 h, the corrosion products peeled off. The intergranular corrosion distribution was network at 3 h. When the corrosion time was 5 h, the corrosion products peeled off twice and the peeling rate of corrosion products was fast. For the original sample, when the salt spray corrosion time was 10 min, the degree of the intergranular corrosion was slighter than that of the sample subjected to shot peen forming. When the salt spray corrosion time was extended to 3 h, the intergranular corrosion distribution was lamellar. When the salt spray corrosion time was 5 h, the spalling of corrosion products occurred and the spalling rate of corrosion products was slow.
Author Contributions
Funding
Institutional Review Board Statement
Informed Consent Statement
Data Availability Statement
Conflicts of Interest
References
- Soha, A.A.; Walid, M.O.; Amany, M.F. Characterization and corrosion behavior of anodized aluminum alloys for military industries applications in artificial seawater. Surf. Interfaces 2019, 14, 314–323. [Google Scholar]
- Sheasby, P.G.; Pinner, R.; Wernick, S. The Surface Treatment and Finishing of Aluminium and Its Alloys; ASM International: Almere, The Netherlands, 2001. [Google Scholar]
- Mokhtari, S.; Karimzadeh, F.; Abbasi, M.H.; Raeissi, K. Development of super-hydrophobic surface on Al 6061 by anodizing and the evaluation of its corrosion behavior. Surf. Coat. Technol. 2017, 324, 99–105. [Google Scholar] [CrossRef]
- Bucci, R.J.; Warren, C.J.; Starke, E.A. Need for new materials in aging aircraft structures. J. Aircr. 2000, 37, 122–129. [Google Scholar] [CrossRef]
- Li, Y.X.; Zhang, P.F.; Bai, P.K.; Wu, L.Y.; Liu, B.; Zhao, Z.Y. Microstructure and properties of Ti/TiBCN coating on 7075 aluminum alloy by laser cladding. Surf. Coat. Technol. 2018, 334, 142–149. [Google Scholar] [CrossRef]
- Kulkarni, K.M.; Schey, J.A.; Badger, D.V. Investigation of shot peening as a forming process for aircraft wing skins. J. Appl. Metalwork. 1981, 1, 34–44. [Google Scholar] [CrossRef]
- Asquith, D.T.; Yerokhin, A.L.; Yates, J.R.; Matthews, A. The effect of combined shot-peening and PEO treatment on the corrosion performance of 2024 Al alloy. Thin Solid Films. 2007, 516, 417–421. [Google Scholar] [CrossRef]
- Kameyama, Y.; Komotori, J. Tribological properties of structural steel modified by fine particle bombardment (FPB) and diamond-like carbon hybrid surface treatment. Wear 2007, 263, 1354–1363. [Google Scholar] [CrossRef]
- Shang, J.Q.; Zeng, Y.S. Shot forming technology and its development trend and thinking. Aeronaut. Manuf. Technol. 2010, 16, 26–29. [Google Scholar]
- Abeens, M.; Muruganandhan, R.; Thirumavalavan, K. Effect of low energy laser shock peening on plastic deformation, wettability and corrosion resistance of aluminum alloy 7075 T651. Optik 2020, 219, 165045. [Google Scholar]
- Hao, W.; Ning, C.Y.; Huang, Y.H.; Cao, Z.Y.; Chen, X.X.; Zhang, W.W. Improvement of abrasion resistance in artificial seawater and corrosion resistance in NaCl solution of 7075 aluminum alloy processed by laser shock peening. Opt. Lasers Eng. 2017, 90, 179–185. [Google Scholar]
- Sun, Q.Q.; Han, Q.Y.; Wang, S.; Xu, R. Microstructure, corrosion behaviour and thermal stability of AA 7150 after ultrasonic shot peening. Surf. Coat. Technol. 2020, 398, 126127. [Google Scholar] [CrossRef]
- Lv, S.L.; Cu, Y.; Zhang, W.; Tong, X.Y.; Srivatsan, T.S.; Gao, X.S. Influence of shot peening on failure of an aluminum alloy exposed to aggressive aqueous environments. J. Mater. Eng. Perform. 2013, 22, 1735–1743. [Google Scholar] [CrossRef]
- Bao, L.; Li, K.; Zheng, J.Y.; Zhang, Y.L.; Zhan, K.; Yang, Z.; Zhao, B.; Ji, V. Surface characteristics and stress corrosion behavior of AA 7075-T6 aluminum alloys after different shot peening processes. Surf. Coat. Technol. 2022, 440, 128481. [Google Scholar] [CrossRef]
- Yang, Y.; Lian, X.L.; Zhou, K.; Li, G.J. Effect of laser shot peening on microstructure and stress corrosion resistance of 2195 Al-Li alloy. J. Alloys Compd. 2019, 781, 330–336. [Google Scholar] [CrossRef]
- Wu, Y.; Kang, Y.H.; Chen, Y.M. Effect of shot peening on the corrosion and wear resistance of 2205 duplex stainless steel. J. Mater. Eng. Perform. 2022. [Google Scholar] [CrossRef]
- Sun, Q.Q.; Han, Q.Y.; Liu, X.T.; Xu, W.; Li, J. The effect of surface contamination on corrosion performance of ultrasonic shot peened 7150 Al alloy. Surf. Coat. Technol. 2017, 328, 469–479. [Google Scholar] [CrossRef]
- Fabijanic, D.; Taylor, A.; Ralston, K.D.; Zhang, M.X.; Birbilis, N. Influence of surface mechanical attrition treatment attrition media on the surface contamination and corrosion of magnesium. Corrosion 2013, 69, 527–535. [Google Scholar] [CrossRef]
- Huang, H.; Niu, J.T.; Xing, X.T.; Lin, Q.C.; Chen, H.T.; Qiao, Y. Effects of the shot peening process on corrosion resistance of aluminum alloy: A Review. Coatings 2022, 12, 629. [Google Scholar] [CrossRef]
- Li, X.M. Study on Corrosion Resistance of New Cu-Ni-Al Alloy in Artificial Seawater. Master’s Thesis, Henan University of Science and Technology, Luoyang, China, 2017. [Google Scholar]
- Constantinides, I.; Adriaens, A.; Adams, F. Surface characterization of artificial corrosion layers on copper alloy reference materials. Appl. Surf. Sci. 2002, 189, 90–101. [Google Scholar] [CrossRef]
- Kovacı, H.; Bozkurt, Y.B.; Yetim, A.F.; Aslan, M.; Çelik, A. The effect of surface plastic deformation produced by shot peening on corrosion behavior of a low-alloy steel. Surf. Coat. Technol. 2019, 360, 78–86. [Google Scholar] [CrossRef]
- Zhang, Q.; Duan, B.B.; Zhang, Z.Q.; Wang, J.B.; Si, C.R. Effect of ultrasonic shot peening on microstructure evolution and corrosion resistance of selective laser melted Ti-6Al-4V alloy. J. Mater. Res. Technol. 2021, 11, 1090–1099. [Google Scholar] [CrossRef]
- Wen, L.; Wang, Y.M.; Zhou, Y.; Guo, L.X.; Ouyang, J.H. Iron-rich layer introduced by SMAT and its effect on corrosion resistance and wear behavior of 2024 Al alloy. Mater. Chem. Phys. 2011, 126, 301–309. [Google Scholar] [CrossRef]
- Kong, D.J.; Wang, J.C. Salt spray corrosion and electrochemical corrosion properties of anodic oxide film on 7475 aluminum alloy. J. Alloys Compd. 2015, 632, 286–290. [Google Scholar]
- Su, J.X.; Zou, Y.; Chen, K.; Wang, Z.; Guan, Q. Corrosion mechanism and characteristic of 7075-T6 aluminum alloy panel on airline aircraft. Chin. J. Mech. Eng. 2013, 49, 91–96. [Google Scholar] [CrossRef]
- Wang, Z.Y.; Ma, T.; Han, W.; Yu, G.C. Corrosion behavior on aluminum alloy LY12 in simulated atmospheric corrosion process. Trans. Nonferrous Met. Soc. China 2007, 17, 326–334. [Google Scholar] [CrossRef]
- Wang, S.S.; Yang, L.; Xiao, K.; Huang, Y.H.; Li, X.G. Galvanic corrosion of anodized 6061 aluminum alloy in an industrial-marine atmospheric environment. Chin. J. Eng. 2018, 40, 833–841. [Google Scholar]
- Zhang, S.; He, Y.T.; Zhang, T.; Wang, G.R.; Du, X. Long-term atmospheric corrosion behavior of epoxy prime coated aluminum alloy 7075-T6 in coastal environment. Mater 2018, 11, 965. [Google Scholar] [CrossRef]
- Li, T. The Initial Corrosion Behavior and Mechanism of Aluminium Alloys in Xisha Atmospheric Environment. Ph.D. Thesis, University of Science and Technology Beijing, Beijing, China, 2009. [Google Scholar]
- Alexopoulos, N.D.; Dalakouras, C.J.; Skarvelis, P.; Kourkoulis, S.K. Accelerated corrosion exposure in ultra thin sheets of 2024 aircraft aluminium alloy for GLARE applications. Corros. Sci. 2011, 55, 289–300. [Google Scholar] [CrossRef]
- Robinson, M.J. Mathematical modelling of exfoliation corrosion in high strength aluminium alloys. Corros. Sci. 1982, 22, 775–790. [Google Scholar] [CrossRef]
- Zhao, Q.Y.; Zhao, J.B.; Cheng, X.Q.; Huang, Y.H.; Lu, L.; Li, X.G. Galvanic corrosion of the anodized 7050 aluminum alloy coupled with the low hydrogen embrittlement Cd-Ti plated 300 M steel in an industrial-marine atmospheric environment. Surf. Coat. Technol. 2020, 382, 125171. [Google Scholar] [CrossRef]
- Kamousti, H.; Haidemenopoulos, G.N.; Bontozoglou, V.; Pantelakis, S. Corrosion-induced hydrogen embrittlement in aluminium alloy 2024. Corros. Sci. 2006, 48, 1209–1224. [Google Scholar]
- Marlaud, T.; Malki, B.; Deschamps, A.; Baroux, B. Electrochemical aspects of exfoliation corrosion of aluminium alloys: The effects of heat treatment. Corros. Sci. 2011, 53, 1394–1400. [Google Scholar] [CrossRef]
- Marlaud, T.; Malki, B.; Henon, C.; Deschamps, A.; Baroux, B. Relationship between alloy composition, microstructure and exfoliation corrosion in Al-Zn-Mg-Cu alloys. Corros. Sci. 2011, 53, 3139–3149. [Google Scholar] [CrossRef]
- Macdonald, D.D. Reflections on the history of electrochemical impedance spectroscopy. Electrochim. Acta. 2006, 51, 1376–1388. [Google Scholar] [CrossRef]
- Liu, C.; Bi, Q.; Leyland, A.; Matthews, A. An electrochemical impedance spectroscopy study of the corrosion behaviour of PVD coated steels in 0.5 N NaCl aqueous solution: Part II. EIS interpretation of corrosion behaviour. Corros. Sci. 2003, 45, 1257–1273. [Google Scholar] [CrossRef]
- Li, S.; Dong, H.G.; Li, P.; Chen, S. Effect of repetitious non-isothermal heat treatment on corrosion behavior of Al-Zn-Mg alloy. Corros. Sci. 2018, 131, 278–289. [Google Scholar] [CrossRef]
- Luo, H.; Su, H.Z.; Li, B.S.; Ying, G.B. Electrochemical and passive behaviour of tin alloyed ferritic stainless steel in concrete environment. Appl. Surf. Sci. 2018, 439, 232–239. [Google Scholar] [CrossRef]
- Ma, J.W.; Zhang, B.C.; Fu, Y.; Hu, X.J.; Cao, X.F.; Pan, Z.M.; Wei, Y.; Luo, H.; Li, X.G. Effect of cold deformation on corrosion behavior of selective laser melted 316 L stainless steel bipolar plates in a simulated environment for proton exchange membrane fuel cells. Corros. Sci. 2022, 201, 110257. [Google Scholar] [CrossRef]
- Amri, J.; Souier, T.; Malki, B.; Baroux, B. Effect of the final annealing of cold rolled stainless steels sheets on the electronic properties and pit nucleation resistance of passive films. Corros. Sci. 2008, 50, 431–435. [Google Scholar] [CrossRef]
- Liu, Y.; Meng, G.Z.; Cheng, Y.F. Electronic structure and pitting behavior of 3003 aluminum alloy passivated under various conditions. Electrochim. Acta. 2009, 54, 4155–4163. [Google Scholar] [CrossRef]

















| Element | Cu | Mg | Mn | Si | Fe | Zn | Ti | Cr | Al |
|---|---|---|---|---|---|---|---|---|---|
| Content | 4.7 | 1.38 | 0.7 | 0.14 | 0.13 | 0.08 | 0.03 | 0.08 | Bal. |
| Process | Projectile Diameter/mm | Projectile Flow/(kg/min) | Jet Distance/mm | Shot-Peening Pressure/MPa | Coverage | Shot-Peening Strength/(mm A) |
|---|---|---|---|---|---|---|
| Shot peen forming | 3 | 12 | 500 | 0.45−0.56 | − | − |
| Shot peen strengthening | 0.7 | 12 | 500 | 0.18 | 100% | 0.15 |
Publisher’s Note: MDPI stays neutral with regard to jurisdictional claims in published maps and institutional affiliations. |
© 2022 by the authors. Licensee MDPI, Basel, Switzerland. This article is an open access article distributed under the terms and conditions of the Creative Commons Attribution (CC BY) license (https://creativecommons.org/licenses/by/4.0/).
Share and Cite
Qiao, J.; Zhang, X.; Chen, G.; Zhou, W.; Fu, X.; Wang, J. Effect of Shot Peen Forming on Corrosion-Resistant of 2024 Aluminum Alloy in Salt Spray Environment. Materials 2022, 15, 8583. https://doi.org/10.3390/ma15238583
Qiao J, Zhang X, Chen G, Zhou W, Fu X, Wang J. Effect of Shot Peen Forming on Corrosion-Resistant of 2024 Aluminum Alloy in Salt Spray Environment. Materials. 2022; 15(23):8583. https://doi.org/10.3390/ma15238583
Chicago/Turabian StyleQiao, Jingzhen, Xiaowen Zhang, Guoqing Chen, Wenlong Zhou, Xuesong Fu, and Junwei Wang. 2022. "Effect of Shot Peen Forming on Corrosion-Resistant of 2024 Aluminum Alloy in Salt Spray Environment" Materials 15, no. 23: 8583. https://doi.org/10.3390/ma15238583
APA StyleQiao, J., Zhang, X., Chen, G., Zhou, W., Fu, X., & Wang, J. (2022). Effect of Shot Peen Forming on Corrosion-Resistant of 2024 Aluminum Alloy in Salt Spray Environment. Materials, 15(23), 8583. https://doi.org/10.3390/ma15238583
