Next Article in Journal
Influence of Alkali-Activators on Acid Rain Resistance of Geopolymer-Recycled Pervious Concrete with Optimal Pore Size
Next Article in Special Issue
In Vitro Release and In Vivo Pharmacokinetics of Praziquantel Loaded in Different Polymer Particles
Previous Article in Journal
Influence of Adhesive Layer Thickness on the Effectiveness of Reinforcing Thin-Walled Steel Beams with CFRP Tapes—A Pilot Study
Previous Article in Special Issue
Interference Phenomena and Stimulated Emission in ZnO Films on Sapphire
 
 
Font Type:
Arial Georgia Verdana
Font Size:
Aa Aa Aa
Line Spacing:
Column Width:
Background:
Article

Synthesis and Characterization of Benzoxazine Resin Based on Furfurylamine

1
Basic Education School, Beijing Information Technology College, Beijing 100070, China
2
Beijing Key Laboratory of Electrochemical Process and Technology for Materials, Beijing University of Chemical Technology, Beijing 100029, China
*
Authors to whom correspondence should be addressed.
Materials 2022, 15(23), 8364; https://doi.org/10.3390/ma15238364
Submission received: 16 July 2022 / Revised: 9 November 2022 / Accepted: 14 November 2022 / Published: 24 November 2022

Abstract

:
This paper presents an investigation of the modification of natural oxazines to traditional bisphenol A benzoxazines. Eugenol was reacted with furfurylamine to synthesize a new type of benzoxazine (eugenol–furfurylamine benzoxazine), with a yield of 77.65%; and another new type of benzoxazine (bisphenol A–furfurylamine benzoxazine) was generated from bisphenol A and furfurylamine, with the highest yield of 93.78%. In order to analyze and study the target molecules, IR (infrared radiation) spectroscopy, GPC (gel-permeation chromatograph), mass spectrometry, 1H-NMR (nuclear magnetic resonance), DSC (differential scanning calorimetry), and DMA (dynamic mechanical analysis) tests were conducted. Eugenol-furfurylamine benzoxazine and conventional bisphenol A-aniline benzoxazine (BZ) composite was also analyzed and cured at different mass ratios of 2:98, 5:95, 10:90, 20:80, and 40:60. When the content of eugenol furfurylamine in the blend reached 5%, the strength of the composite was greatly enhanced, while the strength decreased with the increase in eugenol furfurylamine oxazine content. Moreover, octamaleimide phenyl POSS (OMPS, polyhedral oligomeric silsesquioxane) and bisphenol A furamine benzoxazine were mixed at different molar ratios of 1:16, 1:8, 1:4, 1:2, and 1:1. The curing temperature sharply decreased with the increase in OMPS content. When the molar ratio reached 1:1, the curing temperature decreased from 248 to 175℃. A further advantage of using eugenol and furfurylamine is that they are renewable resources, which is important in terms of utilizing resources effectively and developing environmentally friendly products.

1. Introduction

For more than 100 years, phenolic resins have been always used in commercial applications. Because of their low cost and dimensional stability, they continue to be widely used in industry. Based on traditional phenolic resin, benzoxazine resin becomes a new thermosetting resin that contains a six-membered heterocyclic carbon and nitrogen chain. The potential of this new engineering plastic has attracted the attention of scholars [1,2]. In addition to its excellent properties (such as high heat resistance, flame retardancy, excellent electrical and chemical properties, low water absorption, and low cost), traditional phenolic resin does not emit small molecules during the curing process, and its curing shrinkage and porosity are low. Moreover, polybenzoxazine has special advantages such as a low coefficient of thermal expansion, good high-temperature resistance, mechanical properties, and good moisture resistance. However, in the study of new thermosetting resins, it is found that monofunctional benzoxazine has a chain transfer reaction during ring opening polymerization, and the molecular weight of the benzoxazine polymer obtained is relatively low, which limits its application scope. Although bifunctional benzoxazines (such as bisphenol A type) can be used as high-performance materials, due to the characteristics of their molecular structures, such benzoxazines have the disadvantages of low crosslinking density, brittleness, and poor toughness. Therefore, in order to meet the requirements of special use, benzoxazine needs to be properly modified [3,4,5], and the modification of benzoxazine with epoxy resin has therefore been extensively studied [6].
In a study by Kimura et al. [7], benzoxazine was used as a curing agent for epoxy resin preparation. Curing the accelerator was unnecessary, and the epoxy resin modified by benzoxazine resin exhibited good thermal stability below 150℃, while the curing reaction proceeded rapidly above 150℃. In comparison with the products cured with phenolic resin, products cured with bisphenol A type benzoxazine were more heat-resistant, water-resistant, electrically insulated, and mechanically efficient.
Ishida et al. [8] produced the copolymers of bisphenol A epoxy resin and bisphenol A benzoxazine without a catalyst. An analysis of the dynamic mechanical thermal properties of the copolymer revealed that the crosslink density was higher than that of benzoxazine. In an imide reaction between octamethylphenyl caged sesquisiloxane and maleic anhydride, octahydridrosilsesquioxane-containing bismaleimide resins could be synthesized. In comparison with homopolymers, these copolymers possessed stronger mechanical properties, a higher glass-transition temperature (Tg), and better thermal stability [9].
Jun Zhang et al. [10] at Beijing University of Chemical Technology investigated a novel polyhedral oligomeric silsesquioxane (BZ-POSS) containing polybenzoxazine groups. As a result of the reaction of octanamine-based silsesquioxane with p-hydroxycresol and paraformaldehyde, each BZ-POSS molecule contained around 7.6 benzoxazine groups. When BZ-POSS was molten, it was miscible with bisphenol A-type benzoxazine (BZ).
In this area, Lee et al. [11,12] also produced a high-performance nanocomposite through the copolymerization of vinyl-containing benzoxazine with POSS. As a result, when 5% POSS was added to the copolymer, the Tg was increased from 307 to 333 °C.
In this paper, the benzoxazine monomer was designed to synthesize a new structure of benzoxazine based on furfuramine, which effectively improved the comprehensive performance of its cured products. On this basis, traditional bisphenol A oxazine was modified to improve its mechanical properties. The curing temperature of the prepared bisphenol A furylamine benzoxazine was lowered by adding octamaleimide phenyl POSS (OMPS). The raw materials of furfurylamine and eugenol are all from natural products and have wide sources, low pollution, and a low price. This is of great significance for sustainable development and the development of environmentally friendly materials.

2. Experiment

2.1. Material Preparation

2.1.1. Preparation of Eugenol–Furfurylamine Benzoxazine

In total, 200 mL toluene, 20.5 g (0.125 mol) of eugenol, and 21.5 g (0.125 mol) of furfurylamine were added in turn to a 500 mL three-necked flask with a condenser and stirring. Then, 30 g (0.5 mol) paraformaldehyde was gradually added under strong stirring in ice water. At room temperature, the mixture was vigorously stirred and then placed in an oil bath at 95 °C for two hours. Upon completion of the reaction, 1 mol/L of sodium hydroxide was added into and stirred; then, the mixture was poured into a separating funnel to separate the product, which was washed with sodium hydroxide and neutralized with deionized water. After the product was poured into a porcelain tray and dried under vacuum at 60 °C for 24 h, a reddish-brown solid with a yield of 77.65% was obtained.

2.1.2. Preparation of Bisphenol A-Furfurylamine Benzoxazine

In total, 200 mL toluene, 71.5 g (0.25 mol) of bisphenol A, and 21.5 g (0.125 mol) of furfurylamine were added in succession to a 500 mL three-neck flask with condenser and stirring, and 30 g (0.5 mol) paraformaldehyde was subsequently added in an ice bath under strong stirring. After stirring vigorously at room temperature, the mixture was placed in an oil bath at 95 °C for two hours. In order to separate the product, 1 mol/L of sodium hydroxide was added and stirred to mix evenly; then, the mixture was poured into a separator funnel to separate the product, which was washed with sodium hydroxide and then neutralized with deionized water. After the product was poured into a porcelain tray and dried under vacuum at 60 °C for 24 h, a reddish-brown solid with a highest yield of 74.23% was obtained.

2.1.3. The Co-Curing of Eugenol–Furfurylamine/BZ

Eugenol–furfurylamine oxazines were co-cured with traditional BZ at a mass ratio of 2:98. Via the solution-mixing method, the BZ and eugenol–furfurylamine oxazines were dissolved in a certain amount of tetrahydrofuran and stirred for five hours before the solvent was removed in vacuo. A certain amount of the above blended system was placed in a mold and cured in a vacuum oven. The curing processes were as follows: 120 °C/2 h, 140 °C/2 h, 160 °C/2 h, 180 °C/3 h, and 200 °C/2 h.

2.1.4. OMPS/Bisphenol A–Furfurylamine Benzoxazine Blend

The synthesis of OMPS was described in the references [13,14]. The composition formula can been seen in Figure 1.
Benzoxazine resin prepared with OMPS/bisphenol A–furfurylamine; the composition formula is shown in Figure 2.
A mixture of OMPS and bisphenol A–furfurylamine benzoxazine resin was dissolved in acetone at different molar ratios of 1:1, 1:2, 1:4, 1:8, and 1:16, at room temperature, and the solvent was evaporated in a vacuum.

2.2. Characterization

The products were tested by infrared spectroscopy (FTIR) (Nicolet-60 SXB Fourier infrared spectrometer; KBr tableting, scanning range: 400–4000 cm−1, Zequan International Group Shanghai Zequan Instrument Equipment Co., Ltd., Shanghai, China); gel permeation chromatography (GPC) (GPC 515-2410 system, Jinan Saichang Scientific Instrument Co., Ltd., Jinan, China); mass spectrometry (MS) (Waters Quattro Premier XE tandem quadrupole mass spectrometer; cone hole voltage: 30 V; Hubei Jiedao Scientific Instrument Co., Ltd., Hubei Province, China); the nuclear magnetic resonance test (1H-NMR) (the Bruker Avance 600 MHZ nuclear magnetic resonance instrument; CDCl3 as a solvent, Si (CH3) 4 as Internal Reference Standards for Quantitative NMR, tested in room temperature; Shanghai Shidande Standard Technical Service Co., Ltd., Shanghai, China); the DSC test (the Perkin Elmer Pyris 1 thermal analyzer; an N2 environment, at a temperature rising rate of 10 °C/min, with Al2O3 as a reference material; the test temperature range: room temperature to 350 °C; Perkin Elmer Enterprise Management (Shanghai) Co., Ltd., Shanghai, China). The dynamic mechanical analysis (DMA) test (DMA 242 E, NETZSCH Scientific Instrument Trading (Shanghai) Co., Ltd., Shanghai, China) was used to characterize the relationship between the dynamic thermo-mechanical properties of the product and the frequency and temperature.

3. Results and Discussion

3.1. Determination of Synthesis Conditions

Eugenol–Furfurylamine Benzoxazine

(1) Table 1 showed the yield rates of eugenol–furfurylamine oxazine under different solvent conditions (toluene, chloroform, n-butanol, and DMF). As long as the dielectric constant of the solvent exceeded 4, no oxazine was generated in the product, so toluene was selected as the solvent.
(2) While the other conditions remained the same, the aldehyde species were changed (0.2 mol): the yields of paraformaldehyde, trioxane, formaldehyde aqueous solution, and eugenol–furfurylamine oxazine are shown in Table 2. When paraformaldehyde was used as a reactant, paraformaldehyde was chosen as the reactant of choice due to the high yield of the product.
(3) The other reaction conditions remained unchanged, and the amount of aldehyde was changed: (paraformaldehyde) 0.2 mol, 0.3 mol, 0.4 mol, 0.5 mol, and 0.6 mol. Table 3 showed the yield of eugenol–furfurylamine oxazine. In general, the greater the amount of paraformaldehyde used, the higher the yield. However, the yield remained at a certain level, which can been seen directly in Figure 3. Therefore, the chosen amount of paraformaldehyde was 0.4 mol.

3.2. Testing and Characterization of Eugenol–Furfurylamine Benzoxazine

Eugenol–furfurylamine oxazine’s structure was represented as Figure 4. In order to verify the success of the experimental synthesis of this benzoxazine, a series of tests and characterizations were conducted.
The FTIR spectrum of benzoxazine (Eugenol) was shown in Figure 5. The results were shown in Table 4.
There was no apparent absorption peak for the stretching vibration of the hydroxyl group that was detected near 3400 cm1, indicating that the phenolic hydroxyl group had been completely reacted [16].
GPC and mass spectrometry were used to determine the molecular weight of the product. A GPC spectrum of benzoxazine (eugenol) was shown in Figure 6, from which it was evident that its molecular weight distribution was narrow, centered around 232 [17]. The mass spectra of benzoxazine (eugenol) was shown in Figure 7. According to Figure 7, benzoxazine (eugenol) had a molecular weight of 286 (the number circled in red), which was consistent with its theoretical molecular weight of 285.1 [18].
Figure 8 showed the 1H-NMR spectrum of benzoxazine (eugenol). The proton peaks in the figure: δ = 6.20–6.58 (a–e) was the proton peak on the benzene ring; the multiple peaks at 5.10 (k), 5.92 (j), and 3.30 (i) corresponded to the three kinds of protons a, b, and c, on CH2a=CHb-CH2c, respectively; 4.87 (h) was the proton peak on -O-CH2-N-; 3.94 (g–f) was the proton peak on -Ar-CH2-N-; and 3.87 (l) was the proton peak on -O-CH3.
Peak area ratio: a:b:c:d:e:f:g:h:i:j:k:l = 1.10:1.00:0.94:1.13:1.09:2.20:1.99:2.09:2.21:0.92:1.92:1.95
Theoretical ratio: a:b:c:d:e:f:g:h:i:j:k:l = 1:1:1:1:2:2:2:2
It can be seen from the above data that the chemical shifts of hydrogen atoms at various positions of the product can infer the positions of hydrogen atoms in the product, and the peak area ratio was basically consistent with the theoretical value ratio. It can be inferred that the final product of the reaction was the designed target product.
In Figure 9, it can be seen that benzoxazine (eugenol) had a melting point of 84.8 °C and a broad heat absorption peaked near 230 °C on its DSC curing curve. There was no apparent curing exothermic peak in the entire DSC spectrum, and the monomer decomposed after 250 °C. As a result, it was presumed that monomeric cures were not possible for the subclass of pure oxazine [19]. A pure monomer of oxazine was incapable of self-curing.

3.3. Testing and Characterization of Bisphenol A–Furfurylamine Benzoxazine

Figure 10 was the structure of bisphenol A–furfurylamine benzoxazine. An extensive series of tests and characterizations of this benzoxazine were conducted in order to further verify its successful experimental synthesis.
The FTIR spectrum of benzoxazine (bisphenol A) was shown in Figure 11. The result was shown in Table 5.
GPC and mass spectrometry were used to determine the molecular weight of the product. As shown in Figure 12, the molecular weight distribution of benzoxazine (bisphenol A) was narrow, concentrated around 300–500. As shown in Figure 13, the molecular weight of the product was 471, while its theoretical molecular weight was 471, indicating that this was the target product [20].
Figure 14 showed the 1H-NMR spectrum of benzoxazine (bisphenol A). The proton peak in the figure δ = 6.252–6.987 (a–f) was the proton peak on the benzene ring; 4.85 (g) was the proton peak on -O-CH2-N-; 3.94 (i,h) was the proton peak on -Ar-CH2-N-; and 1.60 (j) was the proton peak on -O-CH3.
Peak area ratio: a:b:c:d:e:f:g:h:i:j = 1.21:1.20:1.03:1.24:1.00:1.03:2.05:1.99:2.14:3.06
Theoretical ratio: a:b:c:d:e:f:g:h:i:j = 1:1:1:1:1:1:2:2:2:3
It can be seen from the above data that the chemical shifts of hydrogen atoms at various positions of the product can infer the positions of hydrogen atoms in the product, and the peak area ratio was basically consistent with the theoretical value ratio. It can be inferred that the final product of the reaction was the designed target product.

3.4. Testing and Characterization of Eugenol–Furfurylaminobenzoxazine/BZ (Bisphenol A-Anilinooxazine)

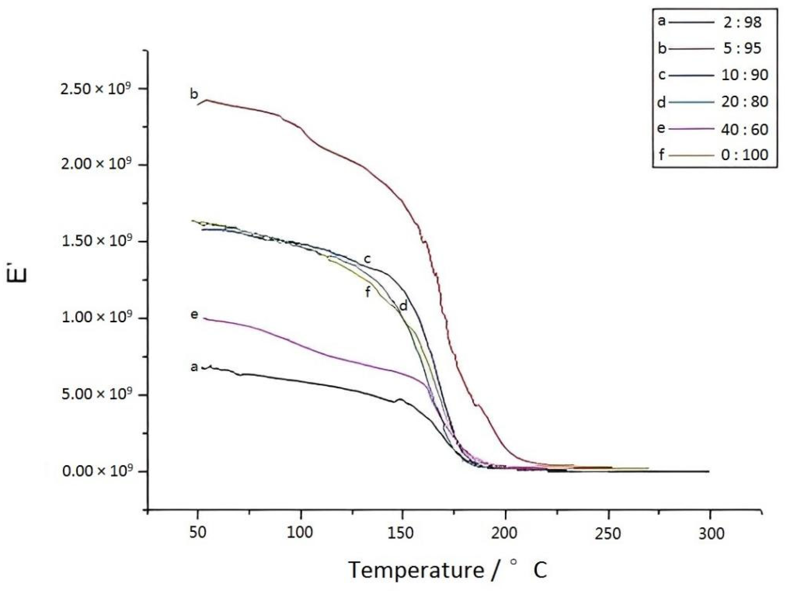
Dynamic mechanical analysis (DMA) tests were conducted on the eugenol–furfurylamine benzoxazine/BZ-modified sample strips, and the results were shown in Figure 15. When eugenol–furfurylamine benzoxazine was added to BZ, the temperature region became narrow; the peak moved towards the higher temperature, and the loss factor increased [21]. Figure 16 showed the relationship between the energy-storage modulus and the temperature for BZ samples containing various levels of eugenol–furfurylamine oxazine: when the concentration reached 5%, the modulus greatly increased, indicating that the strength of the material was greatly enhanced. However, E’ decreased with an increase in eugenol–furfurylamine oxazine content.

3.5. Testing and Characterization of OMPS/Bisphenol A–Furfurylamine Benzoxazine

Figure 17 illustrated the IR spectra of OMPS and BPA at 1:1. Based on the comparison, it was evident that DA20 (the Diels–Alder reaction at 20 °C) and DA140 (the reverse Diels–Alder reaction at 140 °C) had identical infrared absorption peaks. There was evidence that a reversible reaction occurred between 20 and 100 °C [22].
A new peak was observed in the spectrum of DA100 at 1257 cm−1 (probably a new peak of C-O-C). By comparing DA300 with DA20, it was evident that the hydroxyl characteristic peaked at 3363 cm−1 was significantly larger, whereas the characteristic peaks of BZ monomered at 936 and 1229 cm−1 disappeared, while the characteristic peaked at 1483 cm−1 represented trisubstituted benzene. There was a characteristic peak at 1777 cm−1, which indicates that the DA reaction may have occurred at room temperature [23].
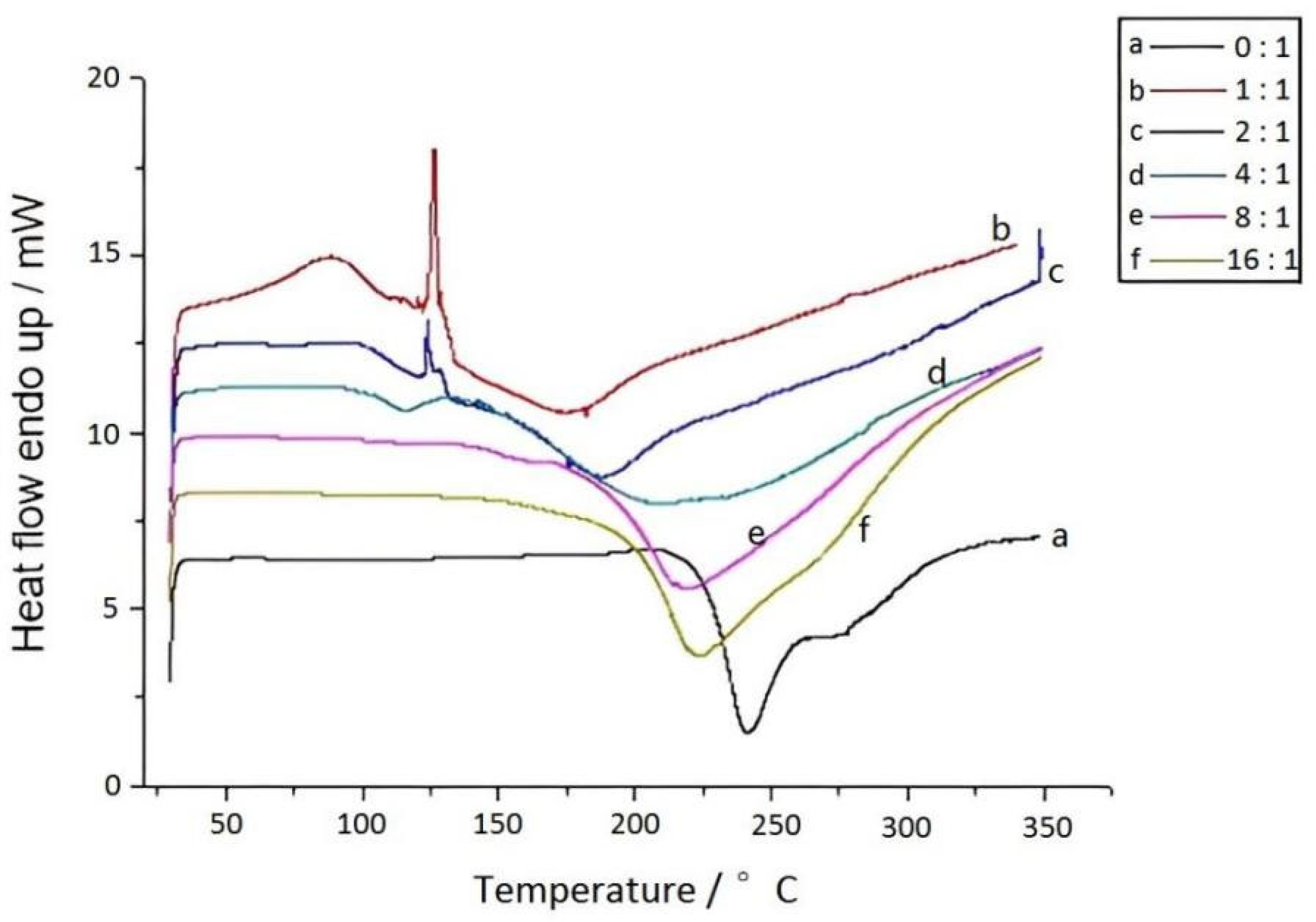
Based on Figure 18, we were able to determine that the curing temperature of pure bisphenol A–furfurylamine oxazine was significantly reduced when different proportions of OMPS were added, and the reduction increased with increasing OMPS content. Therefore, when the molar ratio of OMPS to bisphenol A–furfurylamine oxazine reached 1:1, the curing temperature was reduced from 248 to 175 °C.

4. Conclusions

The present study examined the synthesis of new types of benzoxazines from natural raw materials of eugenol and bisphenol A with furfurylamine, respectively. The IR, GPC, mass spectrometry, and 1H-NMR of the synthesized products confirmed that they were the desired benzoxazines, and the DSC and DMA test analyzed the performance of the target products. It was found that the mechanical properties of the materials were improved by adding eugenol–furfurylamine benzoxazine products to BZ. The strength of eugenol furylamine benzoxazine/BZ blends increased to maximum (when the eugenol furylamine benzoxazine content reached 5%) and then decreased with the increase in eugenol furylamine benzoxazine content. Additionally, as OMPS was added to bisphenol A–furfurylamine type oxazine, the curing temperature of the mixture reduced from 248 to 175 °C, and the higher the content of OMPS was, the greater the reduction became. The prepared new benzoxazine copolymer not only has stronger mechanical properties and better thermal stability than homopolymer but also comes from renewable resources, which is beneficial to the effective utilization of resources and the development of environmentally friendly materials.

Author Contributions

Conceptualization, J.X.; Methodology, J.Y.; Formal analysis, J.W.; Resources, R.X. and J.X.; Data curation, J.W. and J.Y.; Writing—original draft, J.W.; Writing—review & editing, Q.L. and J.Y.; Visualization, R.X. and C.W.; Supervision, Q.L.; Project administration, R.X. and C.W. All authors have read and agreed to the published version of the manuscript.

Funding

This research received no external funding.

Acknowledgments

The authors thank the companions of the laboratories for their help.

Conflicts of Interest

The authors declare no conflict of interest.

References

  1. Dingsheng, Y.; Hong, C.; Zixing, S.; Riwei, X. Curing Kinetics of Benzoxazine Resin by Torsional Braid Analysis. Polymer 2002, 11, 3163–3168. [Google Scholar]
  2. Shengfang, L.; Jifang, F.; Luoli, W.; Meili, X.; Ying, L. Research Development of Polybenzoxazines. Adv. Fine Petrochem. 2004, 5, 47–52. [Google Scholar]
  3. Ishida, H.; Ohba, S. Synthesis and Characterization of Maleimide and Norbornene Functionalized Benzoxazines. Polymer 2005, 46, 5588–5595. [Google Scholar] [CrossRef]
  4. Ning, X.; Ishida, H. Phenolic Materials Via Ring-opening Polymerization: Synthesis and characterization of Bisphenol-A Based Benzoxazines and their Polymers. J. Polym. Sci. Part A Polym. Chem. 1994, 32, 1121–1129. [Google Scholar] [CrossRef]
  5. Ishida, H.; Hong, L. A study on the volumetric expansion of the benzoxazines-based phonelic resin. Macromolecular 1997, 30, 1099–1106. [Google Scholar] [CrossRef]
  6. Kai, Z.; Riwei, X.; Dingsheng, Y. Composite of Benzoxazine, Epoxy and MWNT. Synth. Mater. Aging Appl. 2007, 36, 1–5. [Google Scholar]
  7. Washimi, A.; Takei, M.; Kimura, K. Sealing Composition. JP 08-151430A, 11 June 1996. [Google Scholar]
  8. Ishida, H.; Rodriguez, Y. Curing Kinetics of New Benzoxazine-based Phenolic Resin by Differential Scanning Calorimetry. Polymer 1995, 36, 3151–3158. [Google Scholar] [CrossRef]
  9. Ni, Y.; Liu, Y.; Zheng, S. Octamaleimidophenyl Polyherdral Oligomeric Silsesquioxane and Its Nanocomposites with Epoxy Resin. Natl. J. Polym. 2005, F-O-1480, 421. [Google Scholar]
  10. Jun, Z.; Riwei, X.; Dingsheng, Y. A Novel Poly-benzoxazinyl Functionalized Polyhedral Oligomeric Silsequioxane and Its Nanocomposite with Polybenzoxazine. Eur. Polym. J. 2007, 43, 743–752. [Google Scholar]
  11. Lee, Y.J.; Huang, J.M.; Kuo, S.W.; Chen, J.K.; Chang, F.C. Synthesis and Characterizations of a Vinyl- terminated Benzoxazine Monomer and Its Blending with Polyhedral Oligomeric Silsesquioxane (POSS). Polymer 2005, 46, 2320–2330. [Google Scholar] [CrossRef]
  12. Yuan, J.L.; Shiao, W.K.; Yi, C.S.; Chen, J.-K.; Tu, C.-W.; Chang, F.-C. Syntheses, Thermal Properties, and Phase Morphologies of Novel Benzoxazines Functionalized with Polyhedral Oligomeric Silsesquioxane (POSS) Nanocomposites. Polymer 2004, 45, 6321–6331. [Google Scholar]
  13. Ni, Y.; Zheng, S.X. Epoxy Resin Containing Octamaleimidophenyl Polyhedral Oligomeric Silsesquioxane. Macromol. Chem. Phys. 2005, 206, 2075–2083. [Google Scholar] [CrossRef]
  14. Krishnan, P.S.; He, C.B. Octa (maleimido phenyl) sisesquioxane copolymers. J. Polym. Sci. Part A Polym. Chem. 2005, 43, 2483–2494. [Google Scholar] [CrossRef]
  15. Ying, G. Preparation and characterization of bisphenol A-based benzoxazine /montmorillonite nanocomposites. J. Harbin Inst. Technol. 2017, 5, 165–172. [Google Scholar]
  16. Allen, D.J.; Ishida, H. Polymerization of Linear Aliphatic Diamine-based Benzoxazine Resins under Inert and Oxidative Environments. Polym. Int. J. Sci. Technol. Polym. 2007, 48, 6763–6772. [Google Scholar] [CrossRef]
  17. Jun, W.; Mingqing, W.; Wenbin, L.; Shiwei, Y.; Xiande, S. Synthesis and Thermal Properties of a Fluorene-containing Benzoxazine. J. Hunan Univ. 2010, 37, 67–70. [Google Scholar]
  18. Riwei, X.; Jing, W.; Pengli, Z.; Duo, L.; Liqun, Z.; Yixian, W.; Dingsheng, Y. Preparation Method of Benzoxazine Resin and Composition Based on Furfuryl Amine. China Patent CN201010178513.3, 1 December 2010. [Google Scholar]
  19. Yingqiang, Z.; Wei, X.; Haixian, W.; Me, L.V. Preparation and Analysis of New Benzoxazine Resin with Ethynyl and Allyl Group. Fiber Reinf. Plast. Compos. 2009, 5, 69–71. [Google Scholar]
  20. Yunqian, C.; Xiaohong, C.; Chunling, W.; Zhou, G. Research Progress of 4-Vinylguaiacol and 4-Ethylguaiacol in Fermentation Industry. China Brew. 2009, 205, 14–17. [Google Scholar]
  21. Ishida, H.; Allen, D.J. Physical and Mechanical Characterization of Near-zero Shrinkage Polybenzoxazines. J. Polym. Sci. Part B Polym. Phys. 1996, 34, 1019–1030. [Google Scholar] [CrossRef]
  22. Dunkers, J.; Ishida, H. Reaction of Benzoxazine-based Phenolic Resins with Strong and Weak Carboxyl in Acids and Phenols as Catalysts. J. Polym. Sci. Part A Polym. Chem. 1999, 37, l913–l921. [Google Scholar] [CrossRef]
  23. Low, Y.H.; Ishida, H. Mechanistic Study on the Thermal Decomposition of Polybenzoxazines, Effects of Aliphatic Amines. J. Appl. Polym. Sci. Part B Polym. Phys. 1998, 36, 1935–1946. [Google Scholar] [CrossRef]
Figure 1. The reaction of OMPS.
Figure 1. The reaction of OMPS.
Materials 15 08364 g001
Figure 2. The reaction of OMPS and bisphenol A–furfuryl amine benzoxazine.
Figure 2. The reaction of OMPS and bisphenol A–furfuryl amine benzoxazine.
Materials 15 08364 g002
Figure 3. The product yield with the quantity of aldehydes.
Figure 3. The product yield with the quantity of aldehydes.
Materials 15 08364 g003
Figure 4. The structure of eugenol–furfurylamine benzoxazine.
Figure 4. The structure of eugenol–furfurylamine benzoxazine.
Materials 15 08364 g004
Figure 5. FTIR spectrum of benzoxazine (eugenol).
Figure 5. FTIR spectrum of benzoxazine (eugenol).
Materials 15 08364 g005
Figure 6. GPC of benzoxazine (eugenol).
Figure 6. GPC of benzoxazine (eugenol).
Materials 15 08364 g006
Figure 7. Mass spectrogram of benzoxazine (eugenol).
Figure 7. Mass spectrogram of benzoxazine (eugenol).
Materials 15 08364 g007
Figure 8. 1H-NMR spectrum of benzoxazine (eugenol).
Figure 8. 1H-NMR spectrum of benzoxazine (eugenol).
Materials 15 08364 g008
Figure 9. DSC curve of benzoxazine (eugenol).
Figure 9. DSC curve of benzoxazine (eugenol).
Materials 15 08364 g009
Figure 10. The structure of bisphenol-A-furfuryl amine benzoxazine.
Figure 10. The structure of bisphenol-A-furfuryl amine benzoxazine.
Materials 15 08364 g010
Figure 11. FTIR spectrum of benzoxazine (bisphenol A).
Figure 11. FTIR spectrum of benzoxazine (bisphenol A).
Materials 15 08364 g011
Figure 12. GPC of benzoxazine (bisphenol A).
Figure 12. GPC of benzoxazine (bisphenol A).
Materials 15 08364 g012
Figure 13. Mass spectrogram of benzoxazine (bisphenol A).
Figure 13. Mass spectrogram of benzoxazine (bisphenol A).
Materials 15 08364 g013
Figure 14. 1H-NMR spectrum of benzoxazine (bisphenol A).
Figure 14. 1H-NMR spectrum of benzoxazine (bisphenol A).
Materials 15 08364 g014
Figure 15. Plots of temperature versus loss factor for BZ composite material with different eugenol–furfuryl amine contents.
Figure 15. Plots of temperature versus loss factor for BZ composite material with different eugenol–furfuryl amine contents.
Materials 15 08364 g015
Figure 16. Plots of temperature versus storage modulus for BZ composite material with different eugenol–furfuryl amine content.
Figure 16. Plots of temperature versus storage modulus for BZ composite material with different eugenol–furfuryl amine content.
Materials 15 08364 g016
Figure 17. FTIR spectrum of OMPS/bisphenol A-furfuryl amine oxazine (1:1).
Figure 17. FTIR spectrum of OMPS/bisphenol A-furfuryl amine oxazine (1:1).
Materials 15 08364 g017
Figure 18. DSC curve of benzoxazine (cardanol) with different content of OMPS.
Figure 18. DSC curve of benzoxazine (cardanol) with different content of OMPS.
Materials 15 08364 g018
Table 1. The product yield with different solvents.
Table 1. The product yield with different solvents.
SolventDielectric Constant (20 °C)YieldProduct Status
Toluene2.24052.81%White powder
Chloroform4.900————Yellow crystalline solid
n-Butanol17.84————————
DMF36.71————White flocculent solid
Note: Eugenol (0.1 mol): 16.4 g; furfurylamine: (0.1 mol) 9.7 g; and paraformaldehyde: (0.2 mol) 6 g.
Table 2. The product yield with different aldehydes.
Table 2. The product yield with different aldehydes.
SpeciesTheoretical Yield/gActual Yield/gYield
Paraformaldehyde28.515.0552.81%
Trioxane28.5————————
Formaldehyde28.510.3336.25%
Note: Eugenol (0.1 mol): 16.4 g; furfurylamine (0.1 mol): 9.7 g; and toluene: 100 mL.
Table 3. The product yield with the quantity of aldehydes.
Table 3. The product yield with the quantity of aldehydes.
Paraformaldehyde DosageTheoretical Yield/gActual Yield/gYield
0.2 mol28.515.0552.81%
0.3 mol28.518.1863.79%
0.4 mol28.522.0877.65%
0.5 mol28.522.1377.47%
0.6 mol28.521.7976.46%
Note: Eugenol (0.1 mol): 16.4 g; furfurylamine (0.1 mol): 9.7 g; and toluene: 100 mL.
Table 4. The result of FTIR spectrum of benzoxazine (eugenol) [15].
Table 4. The result of FTIR spectrum of benzoxazine (eugenol) [15].
Functional Group PeakPosition/cm−1
Oxazine ring921
Antisymmetric stretching vibration of carbon–carbon Double bond on allyl group3112
CH3 anti-symmetric stretching vibration2914
C=C double-bond stretching vibration1638
Skeleton vibration of benzene ring1590/1489
Symmetrical deformation of methyl group1353
Rocking peak of methylene in oxazine ring1228
Table 5. The result of FTIR spectrum of benzoxazine (bisphenol A) [15,16].
Table 5. The result of FTIR spectrum of benzoxazine (bisphenol A) [15,16].
Functional Group PeakPosition/cm−1
Oxazine ring935
Hydrocarbon anti-symmetric stretching vibration on the carbon–carbon double bond of allyl3117
CH3 anti-symmetric stretching vibration2965
C=C double bond stretching vibration1612
Skeleton vibration of benzene ring1499
Symmetrical deformation of methyl group1361
Rocking peak of methylene in oxazine ring1230
Publisher’s Note: MDPI stays neutral with regard to jurisdictional claims in published maps and institutional affiliations.

Share and Cite

MDPI and ACS Style

Wang, J.; Liu, Q.; Yu, J.; Xu, R.; Wang, C.; Xiong, J. Synthesis and Characterization of Benzoxazine Resin Based on Furfurylamine. Materials 2022, 15, 8364. https://doi.org/10.3390/ma15238364

AMA Style

Wang J, Liu Q, Yu J, Xu R, Wang C, Xiong J. Synthesis and Characterization of Benzoxazine Resin Based on Furfurylamine. Materials. 2022; 15(23):8364. https://doi.org/10.3390/ma15238364

Chicago/Turabian Style

Wang, Jing, Qinghua Liu, Jiangnan Yu, Riwei Xu, Chengzhong Wang, and Jinping Xiong. 2022. "Synthesis and Characterization of Benzoxazine Resin Based on Furfurylamine" Materials 15, no. 23: 8364. https://doi.org/10.3390/ma15238364

APA Style

Wang, J., Liu, Q., Yu, J., Xu, R., Wang, C., & Xiong, J. (2022). Synthesis and Characterization of Benzoxazine Resin Based on Furfurylamine. Materials, 15(23), 8364. https://doi.org/10.3390/ma15238364

Note that from the first issue of 2016, this journal uses article numbers instead of page numbers. See further details here.

Article Metrics

Back to TopTop