Surface Properties and In Vitro Corrosion Studies of Blasted and Thermally Treated Ti6Al4V Alloy for Bioimplant Applications
Abstract
1. Introduction
2. Experimental Procedure
2.1. Material, Surface Pretreatments, and Thermal Oxidation
2.2. Structure and Surface Morphology Characterization
2.3. Surface Analysis of the Treated Samples
2.4. Microhardness Measurement
2.5. Biocorrosion Study in Physiological Medium
3. Result and Discussion
3.1. Analysis of The Weight Gain
3.2. Analyses of Structure and Surface Morphology
3.3. Surface Roughness and Topography
3.4. Microhardness
3.5. Wetting Behavior and Surface Energy Evaluation
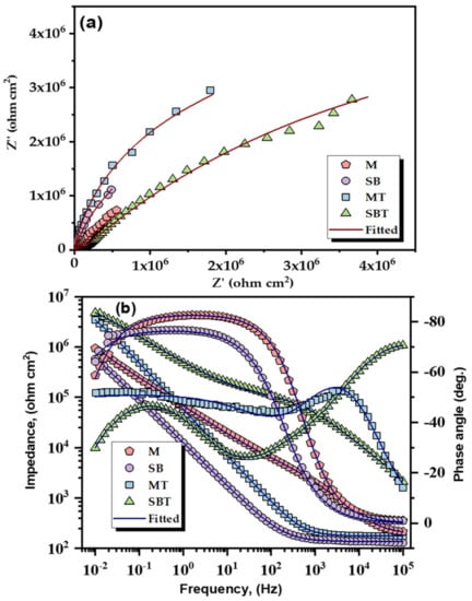
3.6. In Vitro Corrosion Study in Hanks Solution
4. Conclusions
- Structure analysis reveals a formation of rutile TiO2 phase for thermally treated samples at M and SB pretreated conditions.
- The thermally oxidized samples showed improvements in microhardness by 22% and 33% for the M and SB samples, respectively.
- The hydrophilicity of Ti64 alloy was enhanced by blasting and thermal treatment and the surface energy of the thermal treatment samples increased by 26% and 32.6 for mirror surface and blasted preconditions, respectively.
- Acquired in vitro electrochemical corrosion result confirmed the favorable role of thermal treatment and sandblasting (SBT) of Ti64 alloy by exhibiting higher impedance (4820.89 kΩ cm2) with lower capacitance (0.075 Ω−1 cm−2 sn) values in EIS and reduced icorr (0.0060 µA cm2) with lower ip (0.1102 µA cm2) values in PDP results in comparison with the M and SB specimens.
- The results indicate that the thermally treated Ti64 biomedical alloy has enhanced surface properties and in vitro electrochemical corrosion resistance and may have potential uses in biomedical applications.
- Future research is proposed to include a bioactivity study, an in vitro corrosion study with a long immersion time, and an XPS surface analysis.
Supplementary Materials
Author Contributions
Funding
Institutional Review Board Statement
Informed Consent Statement
Data Availability Statement
Acknowledgments
Conflicts of Interest
References
- Kaur, M.; Singh, K. Review on titanium and titanium based alloys as biomaterials for orthopaedic applications. Mater. Sci. Eng. C 2019, 102, 844–862. [Google Scholar] [CrossRef] [PubMed]
- Nicholson, W.J. Titanium alloys for dental implants: A review. Prosthesis 2020, 2, 11. [Google Scholar] [CrossRef]
- Mu, Y.; Kobayashi, T.; Sumita, M.; Yamamoto, A.; Hanawa, T. Metal ion release from titanium with active oxygen species generated by rat macrophages in vitro. J. Biomed. Mater. Res. Off. J. Soc. Biomater. Jpn. Soc. Biomater. 2000, 49, 238–243. [Google Scholar] [CrossRef]
- Kumar, S.; Narayanan, T.S.; Raman, S.G.S.; Seshadri, S.K. Evaluation of fretting corrosion behaviour of CP-Ti for orthopaedic implant applications. Tribol. Int. 2010, 43, 1245–1252. [Google Scholar] [CrossRef]
- Hussein, M.A.; Madhan Kumar, A.; Abdelaal, A.F.; Abdul Azeem, M. Surface Analysis and In Vitro Corrosion Properties in Artificial Saliva of Surface-Treated Ti6Al4V Alloy for Dental Applications. Metall. Mater. Trans. A 2021, 52, 4299–4309. [Google Scholar] [CrossRef]
- Sirdeshmukh, N.; Dongre, G. Laser micro & nano surface texturing for enhancing osseointegration and antimicrobial effect of biomaterials: A review. Mater. Today Proc. 2021, 44, 2348–2355. [Google Scholar] [CrossRef]
- Noro, A.; Kaneko, M.; Murata, I.; Yoshinari, M. Influence of surface topography and surface physicochemistry on wettability of zirconia (tetragonal zirconia polycrystal). J. Biomed. Mater. Res. Part B Appl. Biomater. 2013, 101, 355–363. [Google Scholar] [CrossRef]
- Jemat, A.; Ghazali, M.J.; Razali, M.; Otsuka, Y. Surface modifications and their effects on titanium dental implants. BioMed Res. Int. 2015, 2015, 791725. [Google Scholar] [CrossRef]
- Arumugam, M.K.; Hussein, M.A.; Yusuf Adesina, A.; Al-Aqeeli, N. In vitro corrosion and bioactivity performance of surface-treated Ti-20Nb-13Zr alloys for orthopedic applications. Coatings 2019, 9, 344. [Google Scholar] [CrossRef]
- Durdu, S.; Cihan, G.; Yalcin, E.; Altinkok, A. Characterization and mechanical properties of TiO2 nanotubes formed on titanium by anodic oxidation. Ceram. Int. 2021, 47, 10972–10979. [Google Scholar] [CrossRef]
- Priyadarshini, B.; Ramya, S.; Shinyjoy, E.; Kavitha, L.; Gopi, D.; Vijayalakshmi, U. Structural, morphological and biological evaluations of cerium incorporated hydroxyapatite sol–gel coatings on Ti–6Al–4V for orthopaedic applications. J. Mater. Res. Technol. 2021, 12, 1319–1338. [Google Scholar] [CrossRef]
- Hussein, M.A.; Adesina, A.Y.; Kumar, A.M.; Sorour, A.A.; Ankah, N.; Al-Aqeeli, N. Mechanical, in-vitro corrosion, and tribological characteristics of TiN coating produced by cathodic arc physical vapor deposition on Ti20Nb13Zr alloy for biomedical applications. Thin Solid Film. 2020, 709, 138183. [Google Scholar] [CrossRef]
- Hussein, M.; Adesina, A.; Kumar, M.; Sorour, A.A.; Al Aqeeli, N. Investigations of in vitro corrosion, and wear properties of TiN PVD coating on Ti6Al4V alloy for dental application. In Key Engineering Materials; Trans Tech Publications Ltd.: Wollerau, Switzerland, 2019; Volume 813, pp. 1–6. [Google Scholar] [CrossRef]
- Hussein, M.A.; Yilbas, B.; Kumar, A.M.; Drew, R.; Al-Aqeeli, N. Influence of laser nitriding on the surface and corrosion properties of Ti-20Nb-13Zr alloy in artificial saliva for dental applications. J. Mater. Eng. Perform. 2018, 27, 4655–4664. [Google Scholar] [CrossRef]
- Travessa, D.N.; Guedes, G.V.B.; de Oliveira, A.C.; da Silva Sobrinho, A.S.; Roche, V.; Jorge, A.M., Jr. Corrosion performance of the biocompatible β-Ti12Mo6Zr2Fe alloy submitted to laser and plasma-nitriding surface modifications. Corros. Sci. 2022, 209, 110740. [Google Scholar] [CrossRef]
- Huang, R.; Liu, L.; Li, B.; Qin, L.; Huang, L.; Yeung, K.W.; Han, Y. Nanograins on Ti-25Nb-3Mo-2Sn-3Zr alloy facilitate fabricating biological surface through dual-ion implantation to concurrently modulate the osteogenic functions of mesenchymal stem cells and kill bacteria. J. Mater. Sci. Technol. 2021, 73, 31–44. [Google Scholar] [CrossRef]
- Kumar, S.; Narayanan, T.S.; Raman, S.G.S.; Seshadri, S.K. Thermal oxidation of Ti6Al4V alloy: Microstructural and electrochemical characterization. Mater. Chem. Phys. 2010, 119, 337–346. [Google Scholar] [CrossRef]
- Wang, S.; Liao, Z.; Liu, Y.; Liu, W. Influence of thermal oxidation temperature on the microstructural and tribological behavior of Ti6Al4V alloy. Surf. Coat. Technol. 2014, 240, 470–477. [Google Scholar] [CrossRef]
- Sarma, B.; Ravi Chandran, K.S. Recent advances in surface hardening of titanium. JOM 2011, 63, 85–92. [Google Scholar] [CrossRef]
- Velten, D.; Biehl, V.; Aubertin, F.; Valeske, B.; Possart, W.; Breme, J. Preparation of TiO2 layers on cp-Ti and Ti6Al4V by thermal and anodic oxidation and by sol-gel coating techniques and their characterization. J. Biomed. Mater. Res. Off. J. Soc. Biomater. Jpn. Soc. Biomater. 2002, 59, 18–28. [Google Scholar] [CrossRef]
- Escudero, M.L.; González-Carrasco, J.L.; Garcia-Alonso, C.; Ramirez, E. Electrochemical impedance spectroscopy of preoxidized MA 956 superalloy during in vitro experiments. Biomaterials 1995, 16, 735–740. [Google Scholar] [CrossRef]
- Krishna, D.S.R.; Brama, Y.L.; Sun, Y. Thick rutile layer on titanium for tribological applications. Tribol. Int. 2007, 40, 329–334. [Google Scholar] [CrossRef]
- Arregui, M.; Latour, F.; Gil, F.J.; Pérez, R.A.; Giner-Tarrida, L.; Delgado, L.M. Ion release from dental implants, prosthetic abutments and crowns under physiological and acidic conditions. Coatings 2021, 11, 98. [Google Scholar] [CrossRef]
- Tkaczyk, C.; Tabrizian, M. Biocompatibility, metals ions, and corrosion products. Mater. Med. Devices 2012, 23, 47–55. [Google Scholar] [CrossRef]
- Arslan, E.; Totik, Y.; Demirci, E.; Alsaran, A. Influence of surface roughness on corrosion and tribological behavior of CP-Ti after thermal oxidation treatment. J. Mater. Eng. Perform. 2010, 19, 428–433. [Google Scholar] [CrossRef]
- Bloyce, A.; Qi, P.Y.; Dong, H.; Bell, T. Surface modification of titanium alloys for combined improvements in corrosion and wear resistance. Surf. Coat. Technol. 1998, 107, 125–132. [Google Scholar] [CrossRef]
- López, M.F.; Jiménez, J.A.; Gutierrez, A. Corrosion study of surface-modified vanadium-free titanium alloys. Electrochim. Acta 2003, 48, 1395–1401. [Google Scholar] [CrossRef]
- Güleryüz, H.; Çimenoğlu, H. Effect of thermal oxidation on corrosion and corrosion–wear behaviour of a Ti–6Al–4V alloy. Biomaterials 2004, 25, 3325–3333. [Google Scholar] [CrossRef]
- Heinl, P.; Müller, L.; Körner, C.; Singer, R.F.; Müller, F.A. Cellular Ti–6Al–4V structures with interconnected macro porosity for bone implants fabricated by selective electron beam melting. Acta Biomater. 2008, 4, 1536–1544. [Google Scholar] [CrossRef]
- Stich, T.; Alagboso, F.; Křenek, T.; Kovářík, T.; Alt, V.; Docheva, D. Implant-bone-interface: Reviewing the impact of titanium surface modifications on osteogenic processes in vitro and in vivo. Bioeng. Transl. Med. 2022, 7, e10239. [Google Scholar] [CrossRef]
- Demirci, S.; Dalmış, R.; Dikici, T.; Tünçay, M.M.; Kaya, N.; Güllüoğlu, A.N. Effect of surface modifications of additively manufactured Ti-6Al-4V alloys on apatite formation ability for biomedical applications. J. Alloy. Compd. 2021, 887, 161445. [Google Scholar] [CrossRef]
- Calignano, F.; Mercurio, V.; Rizza, G.; Galati, M. Investigation of surface shot blasting of AlSi10Mg and Ti6Al4V components produced by powder bed fusion technologies. Precis. Eng. 2022, 78, 79–89. [Google Scholar] [CrossRef]
- Demirci, S.; Dikici, T.; Güllüoğlu, A.N. Micro/Nanoscale Surface Modification of Ti6Al4V Alloy for Implant Applications. J. Mater. Eng. Perform. 2022, 31, 1503–1511. [Google Scholar] [CrossRef]
- Kim, Y.H.; Koak, J.Y.; Chang, I.T.; Wennerberg, A.; Heo, S.J. A histomorphometric analysis of the effects of various surface treatment methods on osseointegration. Int. J. Oral Maxillofac. Implant. 2003, 18, 349–356. [Google Scholar]
- Garcıa-Alonso, M.C.; Saldana, L.; Valles, G.; González-Carrasco, J.L.; Gonzalez-Cabrero, J.; Martınez, M.E.; Munuera, L. In vitro corrosion behaviour and osteoblast response of thermally oxidised Ti6Al4V alloy. Biomaterials 2003, 24, 19–26. [Google Scholar] [CrossRef]
- Saldaña, L.; Barranco, V.; García-Alonso, M.C.; Vallés, G.; Escudero, M.L.; Munuera, L.; Vilaboa, N. Concentration-dependent effects of titanium and aluminium ions released from thermally oxidized Ti6Al4V alloy on human osteoblasts. J. Biomed. Mater. Res. Part A Off. J. Soc. Biomater. Jpn. Soc. Biomater. Aust. Soc. Biomater. Korean Soc. Biomater. 2006, 77, 220–229. [Google Scholar] [CrossRef] [PubMed]
- Martin, J.Y.; Schwartz, Z.; Hummert, T.W.; Schraub, D.M.; Simpson, J.; Lankford, J., Jr.; Boyan, B. Effect of titanium surface roughness on proliferation, differentiation, and protein synthesis of human osteoblast-like cells (MG63). J. Biomed. Mater. Res. 1995, 29, 389–401. [Google Scholar] [CrossRef]
- Vitelaru, C.; Ghiban, N.; Parau, A.C.; Balaceanu, M.; Miculescu, F.; Vladescu, A. Corrosion behaviour of Ti6Al4V alloy in artificial saliva solution with fluoride content and low pH value: Korrosionsverhalten der Legierung Ti6Al4V in künstlicher Speichelflüssigkeit mit Fluoridanteilen und geringem pH-Wert. Mater. Und Werkst. 2014, 45, 91–98. [Google Scholar] [CrossRef]
- Bocchetta, P.; Chen, L.-Y.; Tardelli, J.D.C.; Reis, A.C.d.; Almeraya-Calderón, F.; Leo, P. Passive Layers and Corrosion Resistance of Biomedical Ti-6Al-4V and β-Ti Alloys. Coatings 2021, 11, 487. [Google Scholar] [CrossRef]
- Fojt, J.; Hybášek, V.; Kačenka, Z.; Průchová, E. Influence of surface finishing on corrosion behaviour of 3d printed TiAlV alloy. Metals 2020, 10, 1547. [Google Scholar] [CrossRef]
- Wang, G.; Wan, Y.; Wang, T.; Liu, Z. Corrosion behavior of titanium implant with different surface morphologies. Procedia Manuf. 2017, 10, 363–370. [Google Scholar] [CrossRef]
- Chi, G.; Yi, D.; Liu, H. Effect of roughness on electrochemical and pitting corrosion of Ti-6Al-4V alloy in 12 wt.% HCl solution at 35 °C. J. Mater. Res. Technol. 2020, 9, 1162–1174. [Google Scholar] [CrossRef]
- Podulka, P. Improved Procedures for Feature-Based Suppression of Surface Texture High-Frequency Measurement Errors in the Wear Analysis of Cylinder Liner Topographies. Metals 2021, 11, 143. [Google Scholar] [CrossRef]
- He, B.; Zheng, H.; Ding, S.; Yang, R.; Shi, Z. A review of digital filtering in evaluation of surface roughness. Metrol. Meas. Syst. 2021, 28, 136606. [Google Scholar] [CrossRef]
- Senturk Parreidt, T.; Schmid, M.; Hauser, C. Validation of a novel technique and evaluation of the surface free energy of food. Foods 2017, 6, 31. [Google Scholar] [CrossRef] [PubMed]
- Zhong, Z.; Yin, S.; Liu, C.; Zhong, Y.; Zhang, W.; Shi, D.; Wang, C.A. Surface energy for electroluminescent polymers and indium-tin-oxide. Appl. Surf. Sci. 2003, 207, 183–189. [Google Scholar] [CrossRef]
- Lu, X.; Zhao, Z.; Leng, Y. Biomimetic calcium phosphate coatings on nitric-acid-treated titanium surfaces. Mater. Sci. Eng. C 2007, 27, 700–708. [Google Scholar] [CrossRef]
- Guleryuz, H.; Cimenoglu, H. Oxidation of Ti–6Al–4V alloy. J. Alloy. Compd. 2009, 472, 241–246. [Google Scholar] [CrossRef]
- Kitsugi, T.; Nakamura, T.; Oka, M.; Yan, W.Q.; Goto, T.; Shibuya, T.; Miyaji, S. Bone bonding behavior of titanium and its alloys when coated with titanium oxide (TiO2) and titanium silicate (Ti5Si3). J. Biomed. Mater. Res. Off. J. Soc. Biomater. Jpn. Soc. Biomater. 1996, 32, 149–156. [Google Scholar] [CrossRef]
- Bodelón, O.G.; Clemente, C.; Alobera, M.A.; Aguado-Henche, S.; Escudero, M.L.; Alonso, M.C.G. Osseointegration of TI6Al4V dental implants modified by thermal oxidation in osteoporotic rabbits. Int. J. Implant. Dent. 2016, 2, 1–9. [Google Scholar] [CrossRef]
- Teghil, R.; Curcio, M.; De Bonis, A. Substituted hydroxyapatite, glass, and glass-ceramic thin films deposited by nanosecond pulsed laser deposition (PLD) for biomedical applications: A systematic review. Coatings 2021, 11, 811. [Google Scholar] [CrossRef]
- Deligianni, D.D.; Katsala, N.; Ladas, S.; Sotiropoulou, D.; Amedee, J.; Missirlis, Y.F. Effect of surface roughness of the titanium alloy Ti–6Al–4V on human bone marrow cell response and on protein adsorption. Biomaterials 2001, 22, 1241–1251. [Google Scholar] [CrossRef]
- Geng, Y.; McCarthy, É.; Brabazon, D.; Harrison, N. Ti6Al4V functionally graded material via high power and high speed laser surface modification. Surf. Coat. Technol. 2020, 398, 126085. [Google Scholar] [CrossRef]
- Eriksson, C.; Lausmaa, J.; Nygren, H. Interactions between human whole blood and modified TiO2-surfaces: Influence of surface topography and oxide thickness on leukocyte adhesion and activation. Biomaterials 2001, 22, 1987–1996. [Google Scholar] [CrossRef]
- Borgioli, F.; Galvanetto, E.; Galliano, F.P.; Bacci, T. Air treatment of pure titanium by furnace and glow-discharge processes. Surf. Coat. Technol. 2001, 141, 103–107. [Google Scholar] [CrossRef]
- Yan, W.; Wang, X.X. Surface hardening of titanium by thermal oxidation. J. Mater. Sci. 2004, 39, 5583–5585. [Google Scholar] [CrossRef]
- Kumar, A.M.; Hussein, M.A.; Adesina, A.Y.; Ramakrishna, S.; Al-Aqeeli, N. Influence of surface treatment on PEDOT coatings: Surface and electrochemical corrosion aspects of newly developed Ti alloy. RSC Adv. 2018, 8, 19181–19195. [Google Scholar] [CrossRef]
- Günay-Bulutsuz, A.; Berrak, Ö.; Yeprem, H.A.; Arisan, E.D.; Yurci, M.E. Biological responses of ultrafine grained pure titanium and their sand blasted surfaces. Mater. Sci. Eng. C 2018, 91, 382–388. [Google Scholar] [CrossRef]
- Le Guéhennec, L.; Soueidan, A.; Layrolle, P.; Amouriq, Y. Surface treatments of titanium dental implants for rapid osseointegration. Dent. Mater. 2007, 23, 844–854. [Google Scholar] [CrossRef]
- Zhao, M.H.; Chen, X.P.; Wang, Q. Wetting failure of hydrophilic surfaces promoted by surface roughness. Sci. Rep. 2014, 4, 1–5. [Google Scholar] [CrossRef]
- Kumari, S.; Tiyyagura, H.R.; Pottathara, Y.B.; Sadasivuni, K.K.; Ponnamma, D.; Douglas, T.E.; Mohan, M.K. Surface functionalization of chitosan as a coating material for orthopaedic applications: A comprehensive review. Carbohydr. Polym. 2021, 255, 117487. [Google Scholar] [CrossRef]
- Rikhari, B.; Mani, S.P.; Rajendran, N. Polypyrrole/graphene oxide composite coating on Ti implants: A promising material for biomedical applications. J. Mater. Sci. 2020, 55, 5211–5229. [Google Scholar] [CrossRef]
- Vega, J.; Scheerer, H.; Andersohn, G.; Oechsner, M. Experimental studies of the effect of Ti interlayers on the corrosion resistance of TiN PVD coatings by using electrochemical methods. Corros. Sci. 2018, 133, 240–250. [Google Scholar] [CrossRef]
- Wan, Q.; Ding, H.; Yousaf, M.I.; Chen, Y.M.; Liu, H.D.; Hu, L.; Yang, B. Corrosion behaviors of TiN and Ti-Si-N (with 2.9 at.% and 5.0 at.% Si) coatings by electrochemical impedance spectroscopy. Thin Solid Film. 2016, 616, 601–607. [Google Scholar] [CrossRef]
- Hussein, M.A.; Suryanarayana, C.; Arumugam, M.K.; Al-Aqeeli, N. Effect of sintering parameters on microstructure, mechanical properties and electrochemical behavior of Nb–Zr alloy for biomedical applications. Mater. Des. 2015, 83, 344–351. [Google Scholar] [CrossRef]
- Guo, Y.Y.; Cheng, M.Q.; Chen, D.S.; Xue, X.B.; Zhang, X.L. In vitro corrosion resistance and cytotoxicity of novel TiNbTaZr alloy. Trans. Nonferrous Met. Soc. China 2012, 22, s175–s180. [Google Scholar] [CrossRef]









| Symbol/Abbreviations | Description |
|---|---|
| Ti64 | Ti6Al4V |
| M | the surface-like mirror |
| SB | sandblasting |
| MT | thermally treated surface-like mirror |
| SBT | thermally treated sandblasting |
| XRD | X-ray diffraction |
| SEM | scanning electron microscope |
| EDX | energy dispersive X-ray |
| HV | Vickers hardness |
| SCE | saturated calomel electrode |
| OCP | open circuit potential |
| EIS | electrochemical impedance spectroscopy |
| PDP | potentiodynamic polarization measurement |
| (α + β) | (Alpha + beta) |
| Ra | surface’s roughness |
| CA | contact angle |
| W | water |
| G | glycerol |
| FWHM | full width at half maximum |
| polar component for the surface energy | |
| dispersive component for the surface energy | |
| total surface energy | |
| Ecorr | corrosion potential |
| ip | passive current density |
| icorr | corrosion current dentistry |
| Rs | solution resistance |
| Rct | charge transfer resistance |
| CPE | constant phase element |
| Components | Concentration (g/L) |
|---|---|
| CaCl2 (anhydrous) | 0.14 |
| MgSO4 (anhydrous) | 0.10 |
| KCl | 0.40 |
| KH2PO4 | 0.06 |
| NaCl | 8.00 |
| Na2HPO4 (anhydrous) | 0.048 |
| NaHCO3 | 0.35 |
| D-Glucose (Dextrose) | 1.0 |
| Sample | |||
|---|---|---|---|
| M | 35.6 | 2.6 | 38.2 |
| SB | 81 | 0.07 | 81.0 |
| MT | 46.5 | 1.73 | 48.2 |
| SBT | 50.4 | 0.26 | 50.6 |
| Specimen | Ecorr V | Icorr A cm2 × 10−7 | ip A cm2 × 10−7 | Rs Ω cm2 | Rct kΩ cm2 | CPEdl | |
|---|---|---|---|---|---|---|---|
| Y0 Ω−1 cm−2sn × 10−6 | ndl | ||||||
| M | −0.244 | 0.173 | 96.354 | 125.56 | 952.25 | 1.894 | 0.99 |
| SB | −0.293 | 0.223 | 119.525 | 142.52 | 654.86 | 15.548 | 0.94 |
| MT | −0.201 | 0.0912 | 6.705 | 135.26 | 3491.25 | 0.154 | 0.98 |
| SBT | −0.112 | 0.0609 | 1.102 | 141.86 | 4820.89 | 0.075 | 0.98 |
Publisher’s Note: MDPI stays neutral with regard to jurisdictional claims in published maps and institutional affiliations. |
© 2022 by the authors. Licensee MDPI, Basel, Switzerland. This article is an open access article distributed under the terms and conditions of the Creative Commons Attribution (CC BY) license (https://creativecommons.org/licenses/by/4.0/).
Share and Cite
Hussein, M.A.; Demir, B.Y.; Kumar, A.M.; Abdelaal, A.F. Surface Properties and In Vitro Corrosion Studies of Blasted and Thermally Treated Ti6Al4V Alloy for Bioimplant Applications. Materials 2022, 15, 7615. https://doi.org/10.3390/ma15217615
Hussein MA, Demir BY, Kumar AM, Abdelaal AF. Surface Properties and In Vitro Corrosion Studies of Blasted and Thermally Treated Ti6Al4V Alloy for Bioimplant Applications. Materials. 2022; 15(21):7615. https://doi.org/10.3390/ma15217615
Chicago/Turabian StyleHussein, Mohamed A., Baha Y. Demir, Arumugam Madhan Kumar, and Ahmed F. Abdelaal. 2022. "Surface Properties and In Vitro Corrosion Studies of Blasted and Thermally Treated Ti6Al4V Alloy for Bioimplant Applications" Materials 15, no. 21: 7615. https://doi.org/10.3390/ma15217615
APA StyleHussein, M. A., Demir, B. Y., Kumar, A. M., & Abdelaal, A. F. (2022). Surface Properties and In Vitro Corrosion Studies of Blasted and Thermally Treated Ti6Al4V Alloy for Bioimplant Applications. Materials, 15(21), 7615. https://doi.org/10.3390/ma15217615

