Abstract
MnOx-CeO2, MnOx-ZrO2, MnOx-ZrO2-CeO2 oxides with the Mn/(Zr + Ce + Mn) molar ratio of 0.3 were synthesized by coprecipitation method followed by calcination in the temperature range of 400–800 °C and characterized by XRD, N2 adsorption, TPR, TEM, and EPR. The catalytic activity was tested in the CO oxidation reaction. It was found that MnOx-CeO2, MnOx-ZrO2-CeO2, MnOx-ZrO2 catalysts, calcined at 400–500 °C, 650–700 °C and 500–650 °C, respectively, show the highest catalytic activity in the reaction of CO oxidation. According to XRD and TEM results, thermal stability of catalysts is determined by the temperature of decomposition of the solid solution Mnx(Ce,Zr)1−xO2. The TPR-H2 and EPR methods showed that the high activity in CO oxidation correlates with the content of easily reduced fine MnOx particles in the samples and the presence of paramagnetic defects in the form of oxygen vacancies. The maximum activity for each series of catalysts is associated with the start of solid solution decomposition. Formation of active phase shifts to the high-temperature region with the addition of zirconium to the MnOx-CeO2 catalyst.
1. Introduction
Catalytic CO oxidation is one of the most effective techniques for removing this pollutant, which is formed during the incomplete combustion of hydrocarbon fuels [1]. Materials based on noble metals are often used as a catalyst for CO oxidation, but the price of such samples and restricted availability of the noble metals makes their use economically unreasonable, helping to prevent their wider application. Thus, development of more economical, cheaper and affordable catalysts is of great importance [1,2]. An example of such non-noble systems can be manganese-containing compounds in the form of pristine or mixed oxides, which are widely studied as effective catalysts for the CO oxidation [3,4], as well as systems for soot oxidation [5], combustion of volatile organic compounds [6,7,8,9,10] and NOx removal [11,12,13]. The catalytic properties of Mn-containing systems are due to the ability of manganese to exist in the form of various stoichiometric (MnO2, Mn5O8, Mn2O3, Mn3O4, MnO and their polymorphs) and nonstoichiometric oxides, which are characterized by a variable oxidation state of manganese between +4 and +2 [14].
The calcination temperature is an important parameter that determines the properties of manganese catalysts. In the case of manganese oxides, it has a significant effect on the surface area of the samples, the states of manganese ions, and ethe nature and content of reactive oxygen species, including adsorbed oxygen, oxygen vacancies, and mobile oxygen. These factors determine the catalytic activity of MnOx [15]. The effects of high-temperature treatment on mixed manganese-containing oxides can lead to phase transformations associated with the formation and subsequent decomposition of joint phases, which should also affect the catalytic activity. Thus, a significant increase in activity was found for MnOx-Al2O3 catalysts calcined at 950–1000 °C in the reaction of CO and hydrocarbons (butane, benzene, and cumene) oxidation [16]. It was established earlier [17] that the Mn3−xAlxO4 (x~1.5) mixed oxide is formed during high-temperature treatment. Subsequent cooling in air leads to the addition of oxygen to the Mn3−xAlxO4 phase and its partial decomposition with the formation of highly dispersed β-Mn3O4 particles, which increases the amount of weakly bound oxygen, causing an increase in catalytic activity.
MnOx-CeO2 are the most catalytically active manganese-containing oxides [18]. The incorporation of manganese cations into the ceria lattice with the formation of solid solution causes a decrease in crystallinity, creating more lattice defects and oxygen vacancies, which significantly improves the ability of CeO2 to accumulate oxygen, and also increases the mobility of oxygen on its surface [19]. However, MnOx-CeO2 has low thermal stability. Calcination above 500 °C leads to its deactivation, due to the decomposition of solid solution and a sharp decrease in the surface area [7,20,21]. One of the ways to improve the thermal stability of MnOx-CeO2 is by the addition of zirconium, which inhibits the agglomeration of oxide particles, forming a joint phase with CeO2 [22,23,24]. Zirconium also has a similar effect on manganese oxide [25]. According to Zeng et al. [26], the significant activity improvement in propane oxidation after zirconium addition to MnOx (after calcination at 500 °C) was attributed to the formation of solid solution, the superior redox ability, a higher oxygen mobility and a more abundant oxygen vacancy. Previously, we found [27] that Mn0.12Zr0.88Ox samples calcined at 650–700 °C exhibit the highest catalytic activity in CO oxidation compared to catalysts calcined at other temperatures, which is explained by the partial decomposition of solid solution and formation of highly dispersed MnOx particles on its surface.
Based on the properties of MnOx-CeO2 and MnOx-ZrO2, it can be assumed that the MnOx-ZrO2-CeO2 oxide should combine high activity and thermal stability. Long et al. [28] showed that MnOx-ZrO2-CeO2 oxides, compared to MnOx-ZrO2 and MnOx-CeO2 samples calcined at the same temperature of 500 °C, have the highest catalytic activity in the oxidation of chlorobenzene due to the high content of Mn4+ and surface oxygen, and higher mobility of oxygen in the solid solution. A similar comparison of supported catalysts calcined at 500 °C in the process of NO removal [29] showed the advantage of MnOx/CeO2 and MnOx/CeO2-ZrO2 compared to MnOx/ZrO2; according to the authors, this is associated with a higher dispersion of manganese oxide and a higher content of weakly bound oxygen in MnOx/CeO2 and MnOx/CeO2-ZrO2 catalysts. These comparative studies demonstrate the high activity of the MnOx-ZrO2-CeO2 system; however, the calcination temperature of such catalysts usually does not exceed 550 °C [30,31]. Moreover, information about the thermal stability of MnOx-ZrO2-CeO2 is limited to the studies of its properties at two or three calcination temperatures (500–550 °C, 800–900 °C). Such studies are carried out to estimate the resistance of the sample to possible overheating [24] or to simulate the "aging" of the catalyst [22]. To the best of our knowledge, no such studies of changes in the structural and catalytic properties of MnOx-ZrO2-CeO2 under the influence of calcination temperature in comparison with the properties of MnOx-CeO2 and MnOx-ZrO2 oxides have been reported. These kinds of studies are important in developing a fundamental understanding of the thermal stability of the Mn-containing catalyst.
In current work we study the effect of a calcination temperature in the range of 400–800 °C on the catalytic activity and structural properties of MnOx-ZrO2-CeO2, MnOx-CeO2, and MnOx-ZrO2 catalysts for CO oxidation. Comparison of three series of catalysts would help to determine the structure—activity relationship, including the role of the cationic composition in formation of solid solution, the temperature of decomposition, and the change in the catalytically active states.
2. Materials and Methods
2.1. Catalytic Synthesis
The samples were prepared by the precipitation method. A joint solution of ZrO(NO3)2, Ce(NO3)3, and Mn(NO3)2 salts was obtained, and the NH4OH solution was gradually added into the mixture with continual stirring until the pH reached 10. The precipitation process was carried out at 80 °C. Stirring of the suspension was continued for 1 hour, then H2O2 was added dropwise to ensure the completeness of precipitation. The amount of H2O2 corresponded to the molar ratio of H2O2:(Mn + Zr + Ce). The suspension was finally kept without stirring for 2 hours. The obtained precipitate was filtered off and washed with distilled water on the filter to pH = 6–7. The samples were dried at 120 °C (2 h) and calcined in a muffle furnace at 400–800 °C for 4 h. The molar ratio of Mn:Zr:Ce in the prepared samples was 0.3:0.35:0.35.
Mn-Zr and Mn-Ce binary samples with the molar ratio Mn:Zr(Ce) 0.3:0.7 were prepared by a similar way.
The samples were designated as Mn-Zr-Ce-T, Mn-Ce-T and Mn-Zr-T, where T is the calcination temperature (in °C).
2.2. Catalytic Characterization
The specific surface area of the catalysts (SBET) was determined by the Brunauer–Emmett–Teller method using nitrogen adsorption isotherms measured at liquid nitrogen temperature. The studies were carried out using an ASAP 2400 automated system (Micromeritics Instrument Corp., Norcross, GA, USA).
X-ray diffraction analysis (XRD) of Mn-Zr, Mn-Ce and Mn-Zr-Ce catalysts was performed on a Bruker D8 Advance diffractometer using Cu-Kα radiation (λ = 1.5418 Å) in the 2θ angle range of 15–90° at scan step 0.05°. The accumulation time was 4 s.
Transmission electron microscope (TEM) analysis was performed by ThemisZ electron microscope (Thermo Fisher Scientific, Waltham, MA, USA) equipped with a corrector of spherical aberrations, with the accelerating voltage of 200 kV. Images were recorded using Ceta 16 CCD sensor (Thermo Fisher Scientific, Waltham, MA, USA). Elemental maps were obtained using energy dispersive spectrometer SuperX (Thermo Fisher Scientific, Waltham, MA, USA).
Thermally programmed reduction (TPR-H2) was carried out in a quartz reactor using a flow unit equipped with a thermal conductivity detector. A gas mixture (10 vol.% H2 in Ar) was fed to the reactor at a rate of 40 mL/min. The heating rate was 10 °C/min from room temperature to 900 °C.
Electron paramagnetic resonance (EPR) spectroscopy was performed at 25 °C on X-band (~9.7 GHz) EMXplus spectrometer (Bruker, Karlsruhe, Germany) with an ER 4105 DR resonator at a microwave power of 2.0 mW, a modulation frequency of 100 kHz and an amplitude of modulation of 1.0 G. The spectrometer was controlled by a personal computer and the Bruker WinEPR Acquisition program. The results were processed using the Bruker WinEPR Processing software. The EPR spectra were simulated by means of the Bruker WinEPR SimFonia (v.1.2). The spectra were recorded for ~20 mg of each catalyst placed in a quartz tube with an outer diameter of 5 mm.
Catalytic tests of the samples in the CO oxidation reaction were carried out in a glass flow reactor (170 mm × Ø 10 mm). The initial gas mixture included 1 vol.% of CO and 99 vol.% of air. The flow rate of the gas mixture through the reactor during the catalytic tests was changed in the range of 253–487 mL/min to vary the contact time. The reaction temperature was 150 °C. The CO conversion for each sample was determined at 3 different contact times (τ). A catalyst fraction of 0.4–0.8 mm was used. The catalyst weight varied from 0.2 to 1.5 g. To avoid overheating during the exothermic reaction of CO oxidation, the catalyst was mixed with quartz granules of the same fractional composition. The temperature in the catalyst bed was controlled and regulated using a chromel-alumel thermocouple connected to a heat controller.
The reaction mixture was analyzed by gas chromatography. The mixture was separated on a packed column filled with CaA zeolite (3 m). The unreacted amount of CO was determined using a thermal conductivity detector. The reaction rate (activity) R (cm3(CO)/(g*s)) was calculated from the CO conversion determined at different flow rates of the reaction mixture and taking into account the weight of the catalyst:
where C = Co × (1 − ((Po − P/Po)), mcat is the catalyst weight (g), V is the flow rate of the reaction mixture (mL/min), Co is the initial CO concentration in the gas mixture (vol.%), C is the CO concentration in the outlet flow (vol.%), Po is the peak area on the chromatogram corresponding to the CO concentration in the initial reaction mixture, and P is the peak area on the chromatogram corresponding to the CO concentration in the outlet flow.
R = [Co − C] × V/(60 × mcat),
3. Results
3.1. Catalytic Properties
Figure 1 shows data on the catalytic activity of Mn-Ce, Mn-Zr and Mn-Zr-Ce samples calcined at 400–800 °C in the CO oxidation reaction. It can be noted that the form of the observed dependence is individual for each series of samples.
Figure 1.
Catalytic activity of Mn-Ce, Mn-Zr and Mn-Zr-Ce samples, calcined at different temperatures, in CO oxidation at 150 °C.
In the case of Mn-Ce system, the highest value of catalytic activity is typical for catalysts calcined at 400–500 °C and is 5.4–5.8 × 10−2 cm3(CO)/g*s. A further increase in the calcination temperature causes a sharp decrease in catalytic activity: the activity decreases to 3.2 × 10−2, 1.3 × 10−2 and 0.3 × 10−2 cm3(CO)/g*s for Mn-Ce samples calcined at 600, 700 and 800 °C, respectively.
The effect of the calcination temperature of Mn-Zr catalysts on their activity in the CO oxidation reaction differs from that observed for the Mn-Ce system. The catalytic activity of Mn-Zr catalysts calcined at 400–500 °C remains approximately at a constant level of 2.0–2.1 × 10−2 cm3(CO)/g*s. Raising the calcination temperature to 600 °C leads to an increase in activity up to 3.4 × 10−2 cm3(CO)/g*s. A further increase in the calcination temperature to 650 °C causes an almost twofold increase in the catalytic activity, so that the parameter reaches the value of 6.3 × 10−2 cm3(CO)/g*s. At the same time, the activity of the catalysts calcined at 700 °C slightly decreases to 5.5 × 10−2 cm3(CO)/g*s. A higher temperature treatment at 800 °C causes a sharp loss of activity to a value of 2.1 × 10−2 cm3(CO)/g*s, which coincides with the activity of the samples treated at 400 and 500 °C. Thus, the dependence of the catalytic activity of Mn-Zr catalysts on the calcination temperature has the form of an extremum; the highest activity is achieved for samples calcined at 650–700 °C.
In the case of Mn-Zr-Ce catalysts, an increase in the calcination temperature from 400 to 500 °C leads to an increase in activity from 3.0 to 5.4 × 10−2 cm3(CO)/g*s. A further increase in the treatment temperature up to 650 °C has no significant effect on the catalytic activity, while the Mn-Zr-Ce catalysts treated at 700 °C lose their activity, so that R does not exceed 4.4 × 10−2 cm3(CO)/g*s. Calcination at 800 °C leads to a further sharp drop in activity to 0.1 × 10−2 cm3(CO)/g*s. Thus, the temperature range required for the formation of the most catalytically active states in Mn-Zr-Ce samples is 500–650 °C.
Comparison of the kinetic data obtained for Mn-Ce, Mn-Zr and Mn-Zr-Ce oxides indicates that each of the studied systems is characterized by the calcination temperature range, where its samples demonstrate the highest catalytic activity relative to the samples of the other two systems. Such an optimal calcination temperature range for Mn-Ce catalysts is 400–500 °C. Mn-Zr catalysts are preferably calcined at 650–700 °C, while Mn-Zr-Ce triple oxide catalysts are in an intermediate position between Mn-Zr and Mn-Ce systems and exhibit high catalytic activity only in the calcination temperature range of 500–650 °C.
In order to explain the observed changes in the catalytic activity of Mn-Ce, Mn-Zr and Mn-Zr-Ce oxides depending on the calcination temperature, the changes in the structural properties of these systems were considered and compared.
3.2. Structural and Microstructural Properties
Figure 2a shows X-ray diffraction patterns of Mn-Ce catalysts. Peaks with maxima at 2θ = 28.6, 33.1, 47.5, 56.5, 59.2, 69.5, 76.9, 79.10, and 88.6°, corresponding to 111, 002, 022, 113, 222, 004, 133, 024, and 224 reflections of CeO2 fluorite structure (space group Fm-3m, PDF № 431002), are observed in the XRD patterns of all samples. An increase in the calcination temperature leads to a narrowing of the diffraction peaks and their shift towards smaller angles. As the temperature increases to 800 °C, additional peaks appear at 2θ = 23.2, 38.5, 55.2 and 65.9°, corresponding to 112, 004, 444, and 226 reflections of Mn2O3 (space group Ia-3, PDF № 41-1442), and 2θ = 36.1, corresponding to the most intense 121 reflection of Mn3O4 oxide (space group I41/amd, PDF № 41-1442).
Figure 2.
XRD data for (a) Mn-Ce, (b) Mn-Zr-Ce and (c) Mn-Zr catalysts activated at different temperatures.
Diffraction patterns of Mn-Zr-Ce catalysts are shown in Figure 2b. It can be seen that catalysts calcined at 400–700 °C have similar X-ray patterns: broad peaks with maxima at 2θ = 28.9, 33.5, 48.2, 57.2, 60.0, 70.5, 78.0, 80.4, and 89.3°, corresponding to 111, 002, 022, 113, 222, 004, 133, 024, and 224 reflections of CeO2 fluorite structure, are observed. A low-intensity Mn3O4 reflection appears at 2θ = 36.3°, and its intensity increases with an increase in the calcination temperature. Significant changes occur in the diffraction patterns of Mn-Zr-Ce-800: the reflections of Mn3O4 appear and the fluorite reflections split. The latter may be related to decomposition of the initial oxide.
Figure 2c contains X-ray diffraction patterns of the Mn-Zr catalysts. The calcination of the samples at 400–500 °C leads to the appearance of a wide halo at 2θ = 25–40°, which indicates the formation of an X-ray amorphous state. The amorphous phase partially remains and induces an appearance of a background in the diffraction pattern of the sample calcined at 600 °C. The diffraction pattern of this sample also contains peaks at 2θ = 30.5, 35.4, 50.9, 60.6, 63.6, 74.9, 83.0, and 85.7°, which correspond to the ZrO2 oxide. Since the broadening of diffraction peaks, from XRD data it is not possible to correctly distinguish the cubic and tetragonal modification of zirconia. Diffraction signals of Mn2O3 oxide also appear at 2θ = 32.9, 38.2, 55.1, and 65.7°, corresponding to 222, 004, 444 and 226 reflections. These phases are present in the XRD patterns of Mn-Zr-650 and Mn-Zr-700 samples. High-temperature treatment at 800 °C causes the appearance of additional peaks at 2θ = 30.2, 34.6, 35.8, 50.2, 50.7, 59.3, 60.2, 62.9, 72.9, and 74.6°, corresponding to 011, 002, 110, 112, 020, 013, 121, 022, 004, and 220 reflections of the tetragonal modification of t-ZrO2 oxide (space group P42/nmc, PDF № 54-1089). The monoclinic modification of m-ZrO2 also forms, as evidenced by the presence of a peak at 2θ = 28.2°, corresponding to the 111 reflection (space group P 21/c, PDF № 37-1484).
The structural characteristics of the catalysts calculated by the Rietveld method are given in Table 1. For Mn-Zr-600 and Mn-Zr-700, the observed lattice parameter of ZrO2 catalysts is 5.059–5.061 Å, which is much less than the literature parameter for pristine zirconium oxide (5.110 Å). The difference in the lattice parameters may indicate the formation of the MnyZr1−yO2−δ solid solution, since the ionic radii of Zr4+ and Mn3+ are 0.84 Å and 0.66 Å, respectively [32]. The lattice parameter increases with an increase in the calcination temperature and becomes close to the value characteristic of pristine ZrO2 at 800 °C. Simultaneously, an increase in the content of the Mn2O3 phase to 9 wt.% is observed. These three factors indicate the decomposition of the MnyZr1−yO2−δ solid solution, accompanied by the diffusion of Mn ions from the volume of oxide and the Mn2O3 phase formation: a decrease in the manganese content in the mixed oxide, a decrease in symmetry of zirconia, and the extrication of m-ZrO2.
Table 1.
Structural and microstructural characteristics of Mn-Ce, Mn-Zr and Mn-Zr-Ce samples.
Similar trends have been established for the Mn-Ce and Mn-Zr-Ce series. In the case of Mn-Ce-400, the lattice parameter of the oxide is 5.360(1) Å, which is noticeably lower than that of pristine cerium oxide CeO2 (PDF № 431002, a = 5.411 Å) and indicates the formation of MnyCe1−yO2−δ solid solution. An increase in the synthesis temperature causes an increase in the oxide lattice parameter to 5.406 Å. The gradual increase in the lattice constant to the value of pristine CeO2 phase indicates the diffusion of manganese cations from the solid solution structure to its surface. At 800 °C, Mn cations form crystalline manganese oxides Mn2O3 and Mn3O4, which are detected by XRD. In the case of the Mn-Zr-Ce series, the lattice parameters vary from 5.182(1) to 5.371(1) Å, indicating the formation of a MnyZrxCe1−yO2−δ solid solution. An increase in the calcination temperature from 400 to 600 °C leads to a decrease in the lattice constant from 5.337(1) to 5.316(1) Å and a simultaneous increase in the content of manganese oxide. The observed effect is associated with the decomposition of solid solution by diffusion of Mn cations from the initial oxide and the appearance of a “new” Mny2Zrx2Ce1−y2O2−δ2 solid solution. Catalysts treated at 700–800 °C contain phases with lattice parameters of 5.345(1)–5.371(1) and 5.182(3)–5.214(1) Å, which tend to the values for pristine CeO2 and ZrO2 oxides. In this case, two mixed oxides are formed; the first one is based on ceria and the second one is based on zirconia. In addition, some heterogeneity in composition cannot be excluded for catalysts synthesized at lower temperatures. The average sizes of coherent scattering regions (CSR) grow with an increase in the calcination temperature from 50–110 Å at 400–600 °C to 130–240 Å at 800 °C. The introduction of Zr reduces the average CSR size of the solid solution formed at 700–800 °C as compared to the Mn-Ce catalysts.
Thus, it can be concluded that all three series are characterized by similar changes in the phase composition, depending on the synthesis temperature: an increase in temperature leads to decomposition of MnyZrxCe1−yO2−δ solid solutions with the formation of Mn2O3 and Mn3O4 crystalline oxides and cerium/zirconium oxides. Based on the lattice parameters’ change, it can be assumed that there is a temperature range, one lower than the temperature of crystalline manganese oxides formation, at which the decomposition of the initial solid solutions has already begun and manganese cations are on the oxide surface in the form of amorphous MnOx particles (Table 1, Figure 2). It should be noted that an increase in the calcination temperature leads to a sharper change in the lattice parameters of the solid solutions formed in the Mn-Ce-Zr and Mn-Zr samples (at 700 °C) compared to the solid solution existing in the Mn-Ce system, which is characterized by a linear change in the lattice constant.
As expected, the specific surface area of the catalysts decreases with increasing the calcination temperature for all series (Table 1). The SBET of X-ray amorphous Mn-Zr samples obtained at 400–500 °C is 304–306 m2×g−1. A further increase in the calcination temperature to 600 °C causes phase crystallization and a decrease in specific surface area to 176 m2×g−1. The decomposition of a solid solution at 800 °C leads to a decrease in SBET down to 24 m2×g−1. The dependence of the specific surface area on the synthesis temperature of Mn-Ce catalysts is close to linear: the SBET value is 72 m2×g−1 for the sample calcined at 400 °C and decreases to 9 m2×g−1 for the catalyst calcined at 800 °C. The specific surface area of the Mn-Zr-Ce triple oxide system calcined at 400 °C is 146 m2×g−1. Further, it decreases linearly with an increase in the calcination temperature within the temperature range of a solid solution existence up to 700 °C (63 m2×g−1). Raising the temperature to 800 °C leads to a sharp drop in SBET to 12 m2×g−1. Accordingly, the observed changes in the specific surface area correlate with the phase transformations occurring in mixed oxides during an increase in the calcination temperature, and the thermal stability of each of the studied oxides is determined by the decomposition temperature of the corresponding solid solution.
The most active catalysts in each series (Mn-Ce-500, Mn-Zr-Ce-600, Mn-Zr-700) were studied by high-resolution transmission electron microscopy coupled with EDS mapping (Figure 3a–c). EDS mapping shows that for all cases there are areas enriched by Mn cations and a mixed Mn-Ce-Zr region. The latter is associated with formation of solid solution. In the case of Mn-Ce-500 and Mn-Zr-700 catalysts, the content of Mn (x) in mixed oxide Mnx(Ce,Zr)1−xO2 is 0.25–0.35. For Mn-Zr-Ce-600, several Mn-Zr-Ce regions can be distinguished in the region of the solid solution enriched in Ce and Zr cations. These results correlate well with XRD analysis (Table 1). In addition to areas containing three cations, one can distinguish regions enriched in manganese. Figure 3d–f illustrates the formation of various manganese oxides: Mn3O4, Mn2O3 and Mn5O8 for Mn-Ce-500, Mn-Zr-700, and Mn-Zr-Ce-600 catalysts, respectively. For Mn-Zr-Ce-600 catalyst, Mn5O8 was not detected by XRD (Table 1); the Mn oxide is probably in an XRD amorphous state. The binary catalysts are characterized by the presence of manganese oxides in the form of nanorods with particle sizes of 10–30 nm in diameter and 100–200 nm in length. For a ternary Mn-Zr-Ce-600 catalyst, manganese oxide has a rounded particle shape 20–30 nm in size.
Figure 3.
(a–c) TEM image; (d–f) EDS mapping pattern for (a,d) Mn-Ce-500, (d,e) Mn-Zr-700 and (c,f) Mn-Zr-Ce-600 catalysts.
3.3. Temperature-Programmed Reduction
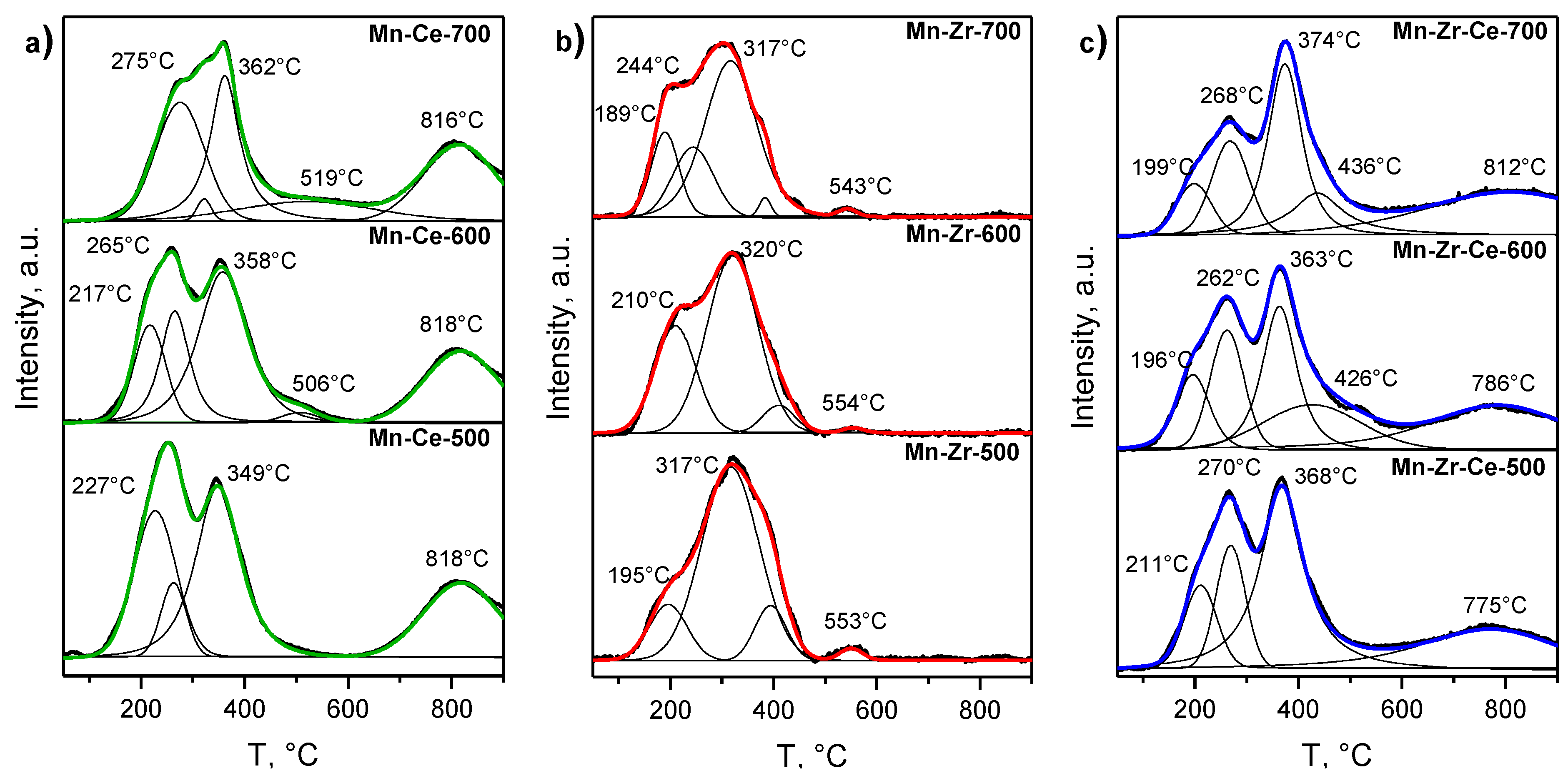
Mn-Ce, Mn-Zr, and Mn-Zr-Ce catalysts synthesized at 500, 600 and 700 °C were studied by TPR-H2 in order to evaluate the differences in their redox properties. The choice of these calcination temperatures is due to the fact that each of the temperatures is optimal for achieving the highest catalytic activity for one of the three studied systems. The TPR-H2 profiles are shown in Figure 4.
Figure 4.
TPR-H2 curves for (a) Mn-Ce, (b) Mn-Zr and (c) Mn-Zr-Ce catalysts, calcined at 500, 600 and 700 °C. Diferent colours corresponds to different series.
The TPR curves of Mn-Ce catalysts show an intensive signal at high temperatures of ~600–900 °C with a maximum at 818 °C, which is explained by the reduction of Ce4+ ions in ceria [33,34,35,36,37]. In the range from 100 to 500 °C, the TPR profiles contain a broad signal of partially unseparated peaks with the main maxima at ~260–270 °C and 350–360 °C. These signals are associated with the consumption of hydrogen due to the sequential partial reduction of manganese cations present in the CeO2-based solid solution. The appearance of a signal at ~260–270 °C corresponds to the reduction of Mn4+/Mn3+ ions to Mn3+/Mn2+, while the peak at ~350–360 °C is due to the Mn3+/Mn2+ → Mn2+ transition [34]. In the case of Mn-Ce catalysts calcined at 500 and 600 °C, the first signal with a maximum at 260–270 °C has a shoulder at low temperatures (~220 °C). The consumption of hydrogen in this region can be explained by the reduction of finely dispersed MnOx particles, which are probably formed on the surface of the solid solution during its decomposition. It should be noted that this signal does not appear on the TPR curve of the sample calcined at 700 °C, which may be due to the formation of Mn3O4 crystalline phase. The TPR profiles of Mn-Ce samples calcined at 600 and 700 °C also contain an additional low-intensity signal at ~500–520 °C, which can be explained by the reduction of Ce4+ ions located on the ceria surface or in the subsurface layer of the samples [33,34].
The TPR-H2 curves of Mn-Zr series are characterized by the presence of a complex, wide, intense signal in the reduction temperature range from ~100 to 500 °C, one associated with the occurrence of parallel processes of manganese reduction. Manganese can exist both in the composition of a solid solution based on ZrO2 and in nonstoichiometric highly-dispersive MnOx particles [38,39], which can be formed during the decomposition of a solid solution at T ≥ 500 °C [40]. Similar to the Mn-Ce catalysts, sequential reduction processes of manganese ions Mn4+/Mn3+ → Mn3+/Mn2+ → Mn2+ also occur in the system [39]. It is most likely that the intense consumption of hydrogen at ~320 °C is a consequence of the Mn3+/Mn2+ phase transformation. It should be noted that the TPR-H2 curves of all Mn-Zr samples contain a low-intensity signal at ~550 °C, which can be associated with the partial reduction of zirconium oxide [40,41].
The reduction curves of Mn-Zr-Ce triple systems are shown in Figure 4c. A characteristic feature of the TPR profiles of Mn-Zr-Ce catalysts is the appearance of a broad low-intensity signal of the partial reduction of Ce4+ in the temperature range of 600–900 °C (Tmax~770–810 °C) [33,34]. The TPR profiles of the Mn-Zr-Ce systems, similarly to the TPR curves recorded for the Mn-Ce and Mn-Zr binary systems, also contain a wide signal of partially unseparated peaks in the temperature range of 100–500 °C, which are associated with the sequential phase transformations of manganese oxides: MnO2/Mn2O3 → Mn3O4 (the maximum at 260–270 °C) and Mn3O4 → MnO (the maximum at 360–370 °C) [42,43], as well as a gradual change in the oxidation state of manganese cations in the MnyZrxCe1−yO2−δ structure of solid solution. All Mn-Zr-Ce samples are also characterized by hydrogen consumption at low temperatures of 150–300 °C, which is expressed in the appearance of a shoulder on the TPR curves. We assume that this feature is explained by the reduction of highly dispersed MnOx particles, which are formed during the decomposition of the MnyZrxCe1−yO2−δ solid solution and exist in a highly dispersed state on its surface. An increase in the calcination temperature of Mn-Zr-Ce catalysts to 600 °C leads to the appearance of an additional signal of hydrogen absorption with a maximum at ~430 °C. This signal may appear due to the peaks overlap for the reduction of manganese and Ce4+ ions located in the surface layer of the catalyst [44].
By fitting the TPR profiles with individual components, it was possible to calculate the fraction of the low-temperature signal at T~200 °C for each series of the samples (Table 2). In the case of Mn-Ce-500, the content of weakly bound oxygen is ~27% toward the total hydrogen uptake. Its amount decreases to ~18% with an increase in the calcination temperature to 600 °C, and a further increase in the calcination temperature causes the complete disappearance of the low-temperature signal. In the case of Mn-Zr catalysts, an increase in the synthesis temperature from 500 to 600 °C leads to an increase in the amount of weakly bound oxygen in the system from ~17 to ~29%, which can occur due to an increase in the amount of fine MnOx particles. The total content of low-temperature signals observed in the TPR profile of Mn-Zr-700 is ~37%. An analysis of the TPR curves of the Mn-Zr-Ce triple oxide catalysts showed that the content of weakly bound oxygen in the samples calcined at 500 and 600 °C is ~12%, which corresponds to the states of solid solutions before their decomposition and may indicate the formation of dispersed amorphous MnOx particles. A further increase in the calcination temperature to 700 °C leads to a decrease in the amount of the low-temperature signal to ~4%.
Table 2.
TPR data for Mn-Ce, Mn-Zr and Mn-Zr-Ce catalysts, calcined at 500, 600 and 700 °C.
3.4. Electron Paramagnetic Resonance Spectroscopy
EPR spectra obtained for Mn-Ce, Mn-Zr and Mn-Zr-Ce samples (Figure 5) are similar for each series, but differ depending on the chemical composition of the catalyst. Mn-Ce and Mn-Zr-Ce samples have signals of sextet in EPR spectra, characteristic for Mn2+ cations [22,33], while in Mn-Zr samples there are no signals with a width less than 500 G, including Zr3+ [45] from the monoclinic phase of zirconium oxide.
Figure 5.
EPR spectra of Mn-Ce, Mn-Zr and Mn-Zr-Ce catalysts, calcined at 500 °C, 600 °C and 700 °C.
A more thorough analysis and simulation of the EPR spectra made it possible to establish detailed differences in the spectra for the samples of the same composition activated at different temperatures. In particular, it was able to identify the components of the spectra associated with the signals of Mn2+, Mn4+ ions and paramagnetic defects (oxygen vacancies), as well as to evaluate their contribution to the overall spectrum. Mn3+ cations are EPR-silent under the conditions of the current experiment. It is necessary to use high-frequency EPR spectrometers for their registration [46].
The experimental and simulated EPR spectra of Mn-Ce catalysts are shown in Figure 6. The spectra are represented as a superposition of three types of signals with the following calculated parameters: g = 2.08–2.10, ∆Hpp = 600 G (paramagnetic defects/oxygen vacancies [45,47]); g = 1.998, ∆Hpp = 2000 G (Mn4+ cations [48]), as well as two Mn2+ cation signals [22,33] with g = 2.00, A = 92 G and different line widths of ∆Hpp = 240 G and ∆Hpp = 80 G (Mn-Ce-500), ∆Hpp = 65 G (Mn-Ce-600), ∆Hpp = 55 G. The narrowing of Mn2+ EPR-line in the spectra is usually associated with an increase in the interaction between Mn and Ce cations, namely, with a more active incorporation of manganese ions into the structure of cerium oxide [29]. The narrowing of Mn2+ signal lines with an increase in the calcination temperature for the Mn-Ce series can also be explained by a decrease in the dipole-dipole interaction of the nearest Mn2+ cations as a result of a decrease in their concentration in the two-component phase due to the diffusion of paramagnetic cations from the structure of the solid solution [49] and/or their partial transition to the EPR-inactive Mn3+ form. This phenomenon is also confirmed by some decrease in the total concentration of paramagnetic species in the sample upon calcination above 600 °C (Table 3). Another reason for the decrease in the linewidth of Mn2+ ions can be related to the decrease in the sizes of manganese(II)-containing clusters [49,50]. In the case of Mn-Ce catalysts, an increase in the calcination temperature leads to the increase of Mn2+ signal contribution to the total spectrum with a simultaneous decrease in the fraction of Mn4+ signal, which represents manganese (IV) ions in a solid solution and/or in the dispersed phase of MnOx [48]. The decrease in the intensity of the manganese (IV) signal can presumably be explained by the agglomeration of MnOx particles formed as a result of the solid solution decomposition and/or partial sintering of more dispersed particles of manganese oxides. All that leads to a strong broadening of Mn4+ EPR line up to the complete disappearance of the recorded signal of such particles. Similarly, the proportion of paramagnetic defects (oxygen vacancies, VO) signal in the series decreases from 17 to 4% (Table 3). These defects can act as precursors for active oxidation sites, since they are able to adsorb oxygen with the formation of its active forms [47]. Typically, such sites are characterized by lower values of the g-factor and linewidth [47], however, at high concentrations of paramagnetic defects or other sites, an EPR-signal can be broadened with a shift of the peak to a weaker field, since the spin system begins to exhibit ferromagnetic properties [45]. It should be noted that the decrease in the fraction of VO signal with an increase in the calcination temperature of the Mn-Ce catalysts is in good agreement with the decrease in the amount of weakly bound oxygen in these samples, which was determined by TPR-H2.
Figure 6.
Experimental and simulated EPR spectra of Mn-Ce catalysts, calcined at (a) 500 °C, (b) 600 °C and (c) 700 °C. Different components of the spectra are presented above each simulated curve.
Table 3.
The components of simulated EPR spectra and their contribution to overall spectrum.
The Mn-Zr samples demonstrate a significant difference compared to the Mn-Ce systems: in particular, there are no signals of Mn2+ ions in the spectra (Figure 7). In this case, signals of Mn4+ and paramagnetic defects/oxygen vacancies are observed. The proportion of paramagnetic oxygen vacancies in VO/Mn4+ ratio increases with an increase in the calcination temperature of the samples (Table 3), which also correlates well with the patterns established by TPR-H2 of Mn-Zr catalysts.
Figure 7.
Experimental and simulated EPR spectra of Mn-Zr catalysts, calcined at (a) 500 °C, (b) 600 °C and (c) 700 °C. Different components of the spectra are presented above each simulated curve.
The EPR spectra of the Mn-Zr-Ce triple oxide system (Figure 8) are similar to the spectra of Mn-Ce binary catalysts. However, the ratio of narrow signals of divalent and broad signals of tetravalent manganese ions differs (Table 3). The proportion of EPR-detected Mn4+ in these samples compared to other signals is significantly higher compared to the double Mn-Ce system. In general, for a triple oxide catalyst, no significant differences are observed depending on the calcination temperature up to 600 °C. At calcination temperature of 700 °C the contribution of manganese (II) signal slightly increases with a simultaneous decrease in the contribution of signals from paramagnetic defects and Mn4+ cations.
Figure 8.
Experimental and simulated EPR spectra of Mn-Ce-Zr catalysts, calcined at (a) 500 °C, (b) 600 °C and (c) 700 °C. Different components of the spectra are presented above each simulated curve.
4. Discussion
A comparative study of the calcination temperature effect on the catalytic activity of MnOx-CeO2, MnOx-ZrO2 and MnOx-ZrO2-CeO2 oxides in CO oxidation reaction showed that the activities of the MnOx-CeO2 and MnOx-ZrO2-CeO2 catalysts calcined at 500 °C are close and significantly exceed the activity of the MnOx-ZrO2 sample, which is in accordance with the literature data [29]. At the same time, an increase in the synthesis temperature of the MnOx-CeO2 catalyst from 400 to 500 °C affects the lattice parameter of the CeO2-based solid solution, in that it indicates the diffusion of manganese from its structure. The revealed changes in structural properties contribute to the increase in catalytic activity. The deactivation of MnOx-CeO2, observed with a further increase in the calcination temperature, is caused by the intensification of solid solution decomposition, which leads to a significant decrease in the specific surface area and the amount of weakly bound oxygen. On the contrary, the X-ray amorphous state with a high specific surface area in the MnOx-ZrO2 samples prepared at 400–500 °C has a low catalytic activity. Crystallization of the solid solution phase based on ZrO2 and its subsequent decomposition at 650–700 °C cause a sharp increase in activity. Based on the TPR-H2 data, it can be argued that such behavior of MnOx-ZrO2 corresponds to the appearance of fine MnOx particles on the solid solution surface, that increases the content of easily reduced weakly bound oxygen. The decrease in the activity of MnOx-ZrO2 after calcination at 800 °C is due to the completion of the solid solution decomposition and transformation of the cubic modification of ZrO2 into the monoclinic one.
The thermal stability of the MnOx-ZrO2-CeO2 system is in intermediate position between the thermal stability of the binary MnOx-CeO2 and MnOx-ZrO2 oxides. The high activity of MnOx-ZrO2-CeO2 observed after calcination at 500 °C is retained up to 650 °C in contrast to MnOx-CeO2. As in the case of binary oxides, the MnyZrxCe1−yO2−δ solid solution gradually decomposes with the diffusion of manganese cations from its structure and the formation of fine MnOx particles. The shift of the catalytic activity profile towards higher synthesis temperatures is caused by the presence of zirconium, since zirconium ions stabilize the fluorite structure by replacing cerium ions and prevent particle agglomeration, as was mentioned above [22,23]. Indeed, the average CSR size is 50 Å in the temperature range from 400 to 600 °C, while it has a value of 70 Å for MnOx-CeO2.
An analysis of the structural properties of MnOx-CeO2, MnOx-ZrO2 and MnOx-ZrO2-CeO2 catalysts shows that all three series are characterized by similar changes in the phase composition, depending on the synthesis temperature: an increase in temperature leads to the decomposition of MnyZrxCe1−yO2−δ solid solutions with the formation of Mn2O3 or Mn3O4 crystalline oxides and cerium/zirconium oxides. Changes in the lattice parameter of mixed oxide (Figure 2) indicate release of Mn ions from the volume of solid solutions and formations of highly dispersed MnOx. The maximum activity for each series is associated with the beginning of solid-solution decomposition. The formation of active phase shifts to the high-temperature region with the addition of Zr to the MnOx-CeO2 catalyst due to growth of the temperature of solid solution decomposition. On the other hand, an introduction of Ce into catalyst leads to the formation of crystalline mixed oxide based on the fluorite structure at lower temperature than in the case of MnOx-ZrO2 system. The latter effect enhances activity of the MnOx-ZrO2-CeO2 catalysts prepared at 400–500 °C.
The correlation of the catalytic activity of the MnOx-CeO2, MnOx-ZrO2 and MnOx-ZrO2-CeO2 catalysts with the content of weakly bound oxygen and paramagnetic oxygen vacancies in the sample, as well as the ambiguous interrelation between the catalytic activity and the specific surface area, allow us to claim that the dependences of the activity on the calcination temperature are primarily determined by phase transformations occurring in the studied systems. It can be concluded that the highest value of catalytic activity for each of the considered Mn-containing systems is achieved for the samples containing manganese both in the form of ions in the structure of the corresponding substitutional solid solution and in the form of highly dispersed MnOx particles, formed as a result of manganese segregation on the surface of solid solution during its decomposition. This combination of catalytically active states of manganese in the samples of all studied oxides causes the presence of the highest content of easily reduced reactive oxygen, which was established by TPR-H2. In accordance with the EPR data, changes in the catalytic activity of the studied oxides correlate with the content of paramagnetic defects, presumably in the form of oxygen vacancies, which can be located both in the composition of the solid solution and the3 MnOx clusters. In the case of a solid solution, the formation of vacancies can occur due to the diffusion of manganese cations from its structure.
A comparison of MnOx-CeO2, MnOx-ZrO2 and MnOx-ZrO2-CeO2 showed that MnOx-ZrO2-CeO2 triple oxide system combines the properties of binary oxides, where the presence of zirconium makes it possible to increase the thermal stability of MnOx-CeO2 from 500 °C up to 650 °C without significant loss of catalytic activity.
5. Conclusions
The influence of the calcination temperature of MnOx-CeO2, MnOx-ZrO2 and MnOx-ZrO2-CeO2 catalysts on their structural properties and catalytic activity in the CO oxidation reaction has been studied and compared. The highest catalytic activity of MnOx-CeO2 is observed for the samples activated at 400–500 °C. In the case of MnOx-ZrO2, the optimal calcination temperature range is 650–700 °C, and for the Mn-Zr-Ce triple oxide system this interval corresponds to 500–650 °C. It has been established by XRD that the thermal stability of the studied oxides is limited by the onset temperature of decomposition of the corresponding solid solution, where manganese ions diffuse from its structure to the surface in the form of fine MnOx particles. Comparison of the oxides calcined at 500, 600, and 700 °C by TPR-H2 and EPR methods showed that the high activity of each of the three studied systems at a specific calcination temperature correlates with the content of easily reduced fine MnOx particles and the presence of paramagnetic oxygen vacancies. The MnOx-ZrO2-CeO2 catalyst showed thermal stability up to 650 °C without significant loss of catalytic activity due to the presence of zirconium in its composition.
Author Contributions
Conceptualization, O.A.B.; formal analysis, T.N.A., D.V.G., V.L.Y. and V.A.R.; investigation, O.A.B., T.N.A., D.V.G., V.L.Y., V.A.R., V.P.K. and E.Y.G.; writing—original draft preparation, T.N.A. and D.V.G.; writing—review and editing, O.A.B.; visualization, O.A.B. All authors have read and agreed to the published version of the manuscript.
Funding
This work was supported by the Russian Science Foundation, grant 21-73-10218.
Institutional Review Board Statement
Not applicable.
Informed Consent Statement
Not applicable.
Acknowledgments
The X-ray structural studies were carried out using facilities of the shared research center “National Center of Investigation of Catalysts” at Boreskov Institute of Catalysis. The EPR experiments were performed using equipment of the Omsk Regional Center of Collective Usage SB RAS.
Conflicts of Interest
The authors declare no conflict of interest.
References
- Soliman, N.K. Factors affecting CO oxidation reaction over nanosized materials: A review. J. Mater. Sci. Technol. 2019, 8, 2395–2407. [Google Scholar] [CrossRef]
- Kim, H.J.; Jang, M.G.; Shin, D.; Han, J.W. Design of Ceria Catalysts for Low-Temperature CO Oxidation. ChemCatChem 2020, 12, 11–26. [Google Scholar] [CrossRef] [Green Version]
- Liu, X.; Lu, J.; Qian, K.; Huang, W.; Luo, M. A comparative study of formaldehyde and carbon monoxide complete oxidation on MnOx-CeO2 catalysts. J. Rare Earths 2009, 27, 418–424. [Google Scholar] [CrossRef]
- Mobini, S.; Meshkani, F.; Rezaei, M. Supported Mn catalysts and the role of different supports in the catalytic oxidation of carbon monoxide. Chem. Eng. Sci. 2019, 197, 37–51. [Google Scholar] [CrossRef]
- Lin, X.; Li, S.; He, H.; Wu, Z.; Wu, J.; Chen, L.; Ye, D.; Fu, M. Evolution of oxygen vacancies in MnOx-CeO2 mixed oxides for soot oxidation. Appl. Catal. B Environ. 2018, 223, 91–102. [Google Scholar] [CrossRef]
- Yang, X.; Yu, X.; Jing, M.; Song, W.; Liu, J.; Ge, M. Defective MnxZr1−xO2 Solid Solution for the Catalytic Oxidation of Toluene: Insights into the Oxygen Vacancy Contribution. ACS Appl. Mater. Interfaces 2019, 11, 730–739. [Google Scholar] [CrossRef] [PubMed]
- Tang, X.; Li, Y.; Huang, X.; Xu, Y.; Zhu, H.; Wang, J.; Shen, W. MnOx-CeO2 mixed oxide catalysts for complete oxidation of formaldehyde: Effect of preparation method and calcination temperature. Appl. Catal. B Environ. 2006, 62, 265–273. [Google Scholar] [CrossRef]
- Lin, F.; Wang, Z.; Zhang, Z.; Xiang, L.; Yuan, D.; Yan, B.; Wang, Z.; Chen, G. Comparative investigation on chlorobenzene oxidation by oxygen and ozone over a MnOx/Al2O3 catalyst in the presence of SO2. Environ. Sci. Technol. 2021, 55, 3341–3351. [Google Scholar] [CrossRef]
- Yin, R.; Sun, P.; Cheng, L.; Liu, T.; Zhou, B.; Dong, X. A Three-dimensional melamine sponge modified with MnOx mixed graphitic carbon nitride for photothermal catalysis of formaldehyde. Molecules 2022, 27, 5216. [Google Scholar] [CrossRef]
- Kulchakovskaya, E.V.; Dotsenko, S.S.; Liotta, L.F.; La Parola, V.; Galanov, S.I.; Sidorova, O.I.; Vodyankina, O.V. Synergistic effect in Ag/Fe–MnO2 catalysts for ethanol oxidation. Catalysts 2022, 12, 872. [Google Scholar] [CrossRef]
- Qi, G.; Yang, R.T.; Chang, R. MnOx-CeO2 mixed oxides prepared by co-precipitation for selective catalytic reduction of NO with NH3 at low temperatures. Appl. Catal. B Environ. 2004, 51, 93–106. [Google Scholar] [CrossRef]
- Zhao, B.; Ran, R.; Wu, X.; Weng, D.; Wu, X.; Huang, C. Comparative study of Mn/TiO2 and Mn/ZrO2 catalysts for NO oxidation. Catal. Commun. 2014, 56, 36–40. [Google Scholar] [CrossRef]
- Li, S.; Zheng, Z.; Zhao, Z.; Wang, Y.; Yao, Y.; Liu, Y.; Zhang, J.; Zhang, Z. CeO2 nanoparticle-lLoaded MnO2 nanoflowers for selective catalytic reduction of NOx with NH3 at low temperatures. Molecules 2022, 27, 4863. [Google Scholar] [CrossRef]
- Frey, K.; Iablokov, V.; Sáfrán, G.; Osán, J.; Sajó, I.; Szukiewicz, R.; Chenakin, S.; Kruse, N. Nanostructured MnOx as highly active catalyst for CO oxidation. J. Catal. 2012, 287, 30–36. [Google Scholar] [CrossRef]
- Tang, W.; Wu, X.; Li, D.; Wang, Z.; Liu, G.; Liu, H.; Chen, Y. Oxalate route for promoting activity of manganese oxide catalysts in total VOCs’ oxidation: Effect of calcination temperature and preparation method. J. Mater. Chem. A 2014, 2, 2544–2554. [Google Scholar] [CrossRef]
- Tsyrul’nikov, P.G.; Sal’nikov, V.A.; Drozdov, V.A.; Stuken, S.A.; Bubnov, A.V.; Grigorov, E.I.; Kalinkin, A.V.; Zaikovskii, V.I. Investigation of thermal activation of aluminum-manganese total oxidation catalysts. Kinet. Catal. 1991, 32, 387–394. [Google Scholar]
- Bulavchenko, O.A.; Afonasenko, T.N.; Tsyrul’nikov, P.G.; Tsybulya, S.V. Effect of heat treatment conditions on the structure and catalytic properties of MnOx/Al2O3 in the reaction of CO oxidation. Appl. Catal. A Gen. 2013, 459, 73–80. [Google Scholar] [CrossRef]
- Silva, A.M.T.; Marquesy, R.R.N.; Quinta-Ferreira, R.M. Catalytic Wet Oxidation of Acrylic Acid: Studies with Manganese-based Oxides. Inter. J. Chem. Reactor Eng. 2003, 1, 1–8. [Google Scholar] [CrossRef]
- Bulavchenko, O.A.; Afonasenko, T.N.; Osipov, A.R.; Pochtar’, A.A.; Saraev, A.A.; Vinokurov, Z.S.; Gerasimov, E.Y.; Tsybulya, S.V. The formation of Mn-Ce oxide catalysts for co oxidation by oxalate route: The role of manganese content. Nanomaterials 2021, 11, 988. [Google Scholar] [CrossRef]
- Zhang, H.; Wang, J.; Cao, Y.; Wang, Y.; Gong, M.; Chen, Y. Effect of Y on improving the thermal stability of MnOx-CeO2 catalysts for diesel soot oxidation. Chin. J. Catal. 2015, 36, 1333–1341. [Google Scholar] [CrossRef]
- Wu, X.; Liu, S.; Weng, D.; Lin, F.; Ran, R. MnOx-CeO2-Al2O3 mixed oxides for soot oxidation: Activity and thermal stability. J. Hazard. Mater. 2011, 187, 283–290. [Google Scholar] [CrossRef] [PubMed]
- Rao, T.; Shen, M.; Jia, L.; Hao, J.; Wang, J. Oxidation of ethanol over Mn-Ce-O and Mn-Ce-Zr-O complex compounds synthesized by sol-gel method. Catal. Commun. 2007, 8, 1743–1747. [Google Scholar] [CrossRef]
- Jo, S.H.; Shin, B.; Shin, M.C.; Van Tyne, C.J.; Lee, H. Dispersion and valence state of MnO2/Ce(1−x)ZrxO2-TiO2 for low temperature NH3-SCR. Catal. Commun. 2014, 57, 134–137. [Google Scholar] [CrossRef]
- Liberman, E.Y.; Kleusov, B.S.; Naumkin, A.V.; Zagaynov, I.V.; Konkova, T.V.; Simakina, E.A.; Izotova, A.O. Thermal stability and catalytic activity of the MnOx–CeO2 and the MnOx–ZrO2–CeO2 highly dispersed materials in the carbon monoxide oxidation reaction. Inorg. Mater. Appl. Res. 2021, 12, 468–476. [Google Scholar] [CrossRef]
- Zhao, G.; Li, J.; Zhu, W.; Ma, X.; Guo, Y.; Liu, Z.; Yang, Y. Mn3O4 doped with highly dispersed Zr species: A new non-noble metal oxide with enhanced activity for three-way catalysis. New J. Chem. 2016, 40, 10108–10115. [Google Scholar] [CrossRef]
- Zeng, K.; Li, X.; Wang, C.; Wang, Z.; Guo, P.; Yu, J.; Zhang, C.; Zhao, X.S. Three-dimensionally macroporous MnZrOx catalysts for propane combustion: Synergistic structure and doping effects on physicochemical and catalytic properties. J. Colloid Interface Sci. 2020, 572, 281–296. [Google Scholar] [CrossRef]
- Afonasenko, T.N.; Bulavchenko, O.A.; Gulyaeva, T.I.; Tsybulya, S.V.; Tsyrul’nikov, P.G. Effect of the calcination temperature and composition of the MnOx–ZrO2 system on its structure and catalytic properties in a reaction of carbon monoxide oxidation. Kinet. Catal. 2018, 59, 104–111. [Google Scholar] [CrossRef]
- Long, G.; Chen, M.; Li, Y.; Ding, J.; Sun, R.; Zhou, Y.; Huang, X.; Han, G.; Zhao, W. One-pot synthesis of monolithic Mn-Ce-Zr ternary mixed oxides catalyst for the catalytic combustion of chlorobenzene. Chem. Eng. J. 2019, 360, 964–973. [Google Scholar] [CrossRef]
- Shen, B.; Zhang, X.; Ma, H.; Yao, Y.; Liu, T. A comparative study of Mn/CeO2, Mn/ZrO2 and Mn/Ce-ZrO2 for low temperature selective catalytic reduction of NO with NH3 in the presence of SO2 and H2O. J. Environ. Sci. 2013, 25, 791–800. [Google Scholar] [CrossRef]
- Cao, F.; Xiang, J.; Su, S.; Wang, P.; Sun, L.; Hu, S.; Lei, S. The activity and characterization of MnOx-CeO2-ZrO2/γ-Al2O3 catalysts for low temperature selective catalytic reduction of NO with NH3. Chem. Eng. J. 2014, 243, 347–354. [Google Scholar] [CrossRef]
- Hou, Z.; Feng, J.; Lin, T.; Zhang, H.; Zhou, X.; Chen, Y. The performance of manganese-based catalysts with Ce0.65Zr0.35O2 as support for catalytic oxidation of toluene. Appl. Surf. Sci. 2018, 434, 82–90. [Google Scholar] [CrossRef]
- Shannon, R.D. Revised Effective Ionic Radii and Systematic Studies of Interatomie Distances in Halides and Chaleogenides. Acta Cryst. 1976, A32, 751–767. [Google Scholar] [CrossRef]
- Kaplin, I.Y.; Lokteva, E.S.; Golubina, E.V.; Shishova, V.V.; Maslakov, K.I.; Fionov, A.V.; Isaikina, O.Y.; Lunin, V.V. Efficiency of manganese modified CTAB-templated ceria-zirconia catalysts in total CO oxidation. Appl. Surf. Sci. 2019, 485, 432–440. [Google Scholar] [CrossRef]
- Wang, Z.; Shen, G.; Li, J.; Liu, H.; Wang, Q.; Chen, Y. Catalytic removal of benzene over CeO2-MnOx composite oxides prepared by hydrothermal method. Appl. Catal. B Environ. 2013, 138–139, 253–259. [Google Scholar] [CrossRef]
- Aneggi, E.; Boaro, M.; De Leitenburg, C.; Dolcetti, G.; Trovarelli, A. Insights into the redox properties of ceria-based oxides and their implications in catalysis. J. Alloys Compd. 2006, 408–412, 1096–1102. [Google Scholar] [CrossRef]
- Venkataswamy, P.; Rao, K.N.; Jampaiah, D.; Reddy, B.M. Nanostructured manganese doped ceria solid solutions for CO oxidation at lower temperatures. Appl. Catal. B Environ. 2015, 162, 122–132. [Google Scholar] [CrossRef]
- Zhu, H.; Qin, Z.; Shan, W.; Shen, W.; Wang, J. Pd/CeO2-TiO2 catalyst for CO oxidation at low temperature: A TPR study with H2 and CO as reducing agents. J. Catal. 2004, 225, 267–277. [Google Scholar] [CrossRef]
- Gutiérrez-Ortiz, J.I.; de Rivas, B.; López-Fonseca, R.; Martín, S.; González-Velasco, J.R. Structure of Mn-Zr mixed oxides catalysts and their catalytic performance in the gas-phase oxidation of chlorocarbons. Chemosphere 2007, 68, 1004–1012. [Google Scholar] [CrossRef]
- Huang, X.; Li, L.; Liu, R.; Li, H.; Lan, L.; Zhou, W. Optimized synthesis routes of MnOx-ZrO2 hybrid catalysts for improved toluene combustion. Catalysts 2021, 11, 1037. [Google Scholar] [CrossRef]
- Bulavchenko, O.A.; Vinokurov, Z.S.; Afonasenko, T.N.; Tsyrul’nikov, P.G.; Tsybulya, S.V.; Saraev, A.A.; Kaichev, V.V. Reduction of mixed Mn-Zr oxides: In situ XPS and XRD studies. Dalt. Trans. 2015, 44, 15499–15507. [Google Scholar] [CrossRef] [Green Version]
- Li, W.B.; Chu, W.B.; Zhuang, M.; Hua, J. Catalytic oxidation of toluene on Mn-containing mixed oxides prepared in reverse microemulsions. Catal. Today 2004, 93–95, 205–209. [Google Scholar] [CrossRef]
- Sun, W.; Li, X.; Mu, J.; Fan, S.; Yin, Z.; Wang, X.; Qin, M.; Tadé, M.; Liu, S. Improvement of catalytic activity over Mn-modified CeZrOx catalysts for the selective catalytic reduction of NO with NH3. J. Colloid Interface Sci. 2018, 531, 91–97. [Google Scholar] [CrossRef] [PubMed]
- Azalim, S.; Franco, M.; Brahmi, R.; Giraudon, J.M.; Lamonier, J.F. Removal of oxygenated volatile organic compounds by catalytic oxidation over Zr-Ce-Mn catalysts. J. Hazard. Mater. 2011, 188, 422–427. [Google Scholar] [CrossRef] [PubMed]
- Zhong, L.; Fang, Q.; Li, X.; Li, Q.; Zhang, C.; Chen, G. Influence of preparation methods on the physicochemical properties and catalytic performance of Mn-Ce catalysts for lean methane combustion. Appl. Catal. A Gen. 2019, 579, 151–158. [Google Scholar] [CrossRef]
- del Silva-Calpa, L.R.; Zonetti, P.C.; Rodrigues, C.P.; Alves, O.C.; Appel, L.G.; de Avillez, R.R. The ZnxZr1−xO2−y solid solution on m-ZrO2: Creating O vacancies and improving the m-ZrO2 redox properties. J. Mol. Catal. A Chem. 2016, 425, 166–173. [Google Scholar] [CrossRef]
- Azamat, D.V.; Badalyan, A.G.; Dejneka, A.; Trepakov, V.A.; Jastrabik, L.; Frait, Z. High-frequency electron paramagnetic resonance investigation of Mn3+ centers in SrTiO3. J. Phys. Chem. Solids. 2012, 73, 822–826. [Google Scholar] [CrossRef]
- Liu, Y.; Xia, C.; Wang, Q.; Zhang, L.; Huang, A.; Ke, M.; Song, Z. Direct dehydrogenation of isobutane to isobutene over Zn-doped ZrO2 metal oxide heterogeneous catalysts. Catal. Sci. Technol. 2018, 8, 4916–4924. [Google Scholar] [CrossRef]
- Zhecheva, E.; Stoyanova, R.; Gorova, M. Microstructure of Li1+xMn2-xO4 cathode materials monitored by EPR of Mn4+. In Materials for Lithium-Ion Batteries; Springer: Dordrecht, The Netherlands, 2000; pp. 485–489. [Google Scholar] [CrossRef]
- AitMellal, O.; Oufni, L.; Messous, M.Y.; Matei, E.; Rostas, A.M.; Galca, A.C.; Secu, M. Temperature-induced phase transition and tunable luminescence properties of Ce3+-Mn2+-Zr4+ tri-doped LaPO4 phosphor. Opt. Mater. 2022, 129, 112567. [Google Scholar] [CrossRef]
- Saab, E.; Aouad, S.; Abi-Aad, E.; Zhilinskaya, E.; Aboukaïs, A. Carbon black oxidation in the presence of Al2O3, CeO2, and Mn oxide catalysts: An EPR study. Catal. Today 2007, 119, 286–290. [Google Scholar] [CrossRef]
Publisher’s Note: MDPI stays neutral with regard to jurisdictional claims in published maps and institutional affiliations. |
© 2022 by the authors. Licensee MDPI, Basel, Switzerland. This article is an open access article distributed under the terms and conditions of the Creative Commons Attribution (CC BY) license (https://creativecommons.org/licenses/by/4.0/).







