Numerical Study of the Mechanical Behaviour of Wedge-Shaped Defect Filling Materials
Abstract
1. Introduction
1.1. Problem Context
1.2. Problem Description
1.3. Research Objectives
- The creation of parameterised tooth models with and without a consideration of the wedge-shaped defect, including models with the defect deepening of the pulp;
- The implementation of a series of numerical experiments on the deformation of the tooth-fillings system at different loading levels;
- An analysis of the influence of the restorative materials on the deformation of the biomechanical system in a wide range of loading conditions from the antagonist tooth.
2. Materials and Methods
2.1. Design of the Experiment
2.2. Mechanical Properties of the Materials
2.3. Loading and Boundary Conditions
2.4. Numerical Finite Element (FE) Solution and Convergence
3. Results
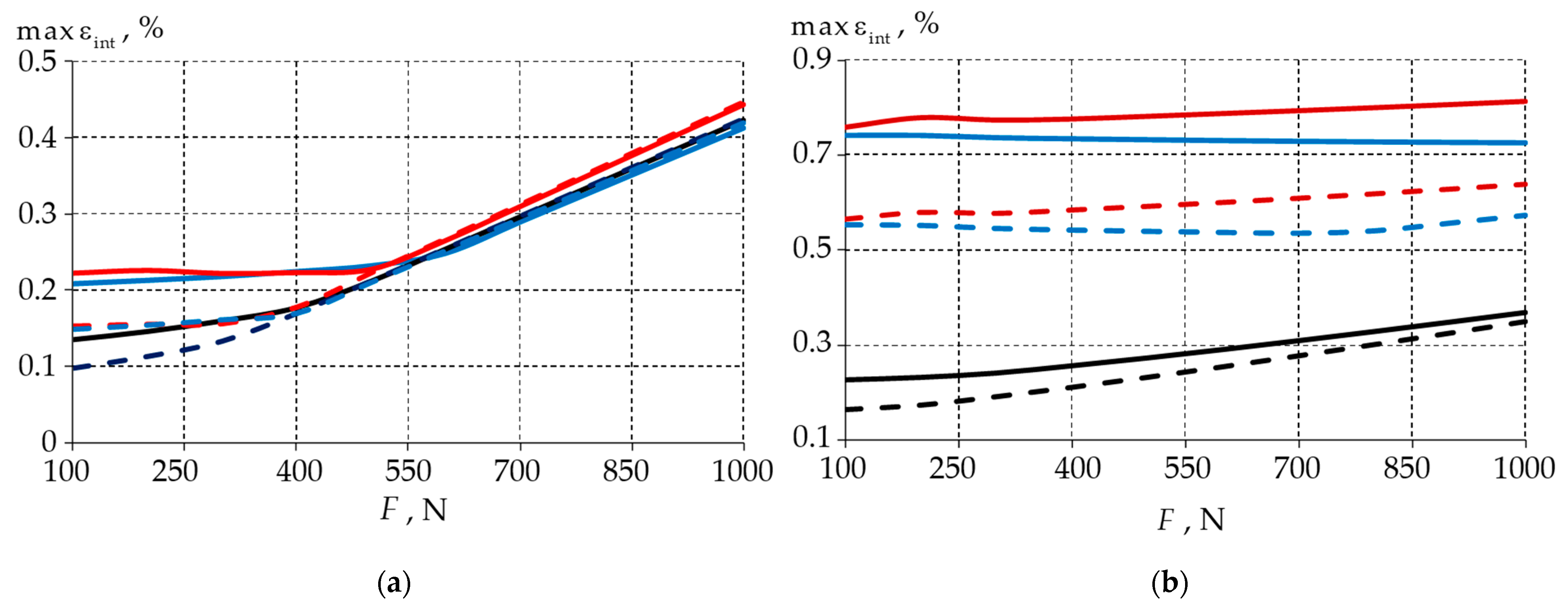
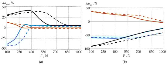
3.1. Stress–Strain Analysis of the Biomechanical Unit for a Shallow Wedge-Shaped Defect
3.2. Comparison of the Stress–Strain State of the Biomechanical Unit for a Shallow and Deep Wedge-Shaped Defect
4. Discussion
- The root system of the tooth in the model was replaced by kinematic boundary conditions;
- The influence of the gingiva was not taken into account;
- Enamel and dentin are deformed together;
- The contact interaction was modelled as a complete bonding of the mating surfaces.
- The behaviour was described as being isotropically elastic;
- The polymerisation shrinkage of the materials was not considered.
5. Conclusions
Author Contributions
Funding
Institutional Review Board Statement
Informed Consent Statement
Data Availability Statement
Conflicts of Interest
References
- Teixeira, D.; Thomas, R.; Soares, P.; Cune, M.; Gresnigt, M.; Slot, D. Prevalence of noncarious cervical lesions among adults: A systematic review. J. Dent. 2020, 95, 103285. [Google Scholar] [CrossRef] [PubMed]
- Soares, A.; Chalub, L.; Barbosa, R.; Campos, D.; Moreira, A.; Ferreira, R. Prevalence and severity of non-carious cervical lesions and dentin hypersensitivity: Association with oral-health related quality of life among Brazilian adults. Heliyon 2021, 7, e06492. [Google Scholar] [CrossRef] [PubMed]
- Warreth, A.; Ab-uhijleh, E.; Almaghribi, M.; Mahwal, G.; Ashawish, A. Tooth surface loss: A review of literature. Saudi Dent. J. 2020, 32, 53–60. [Google Scholar] [CrossRef]
- Sawlani, K.; Lawson, N.C.; Burgess, L.O.; Lemons, J.E.; Kinderknecht, K.E.; Givan, D.A.; Ramp, L. Factors influencing the progression of noncarious cervical lesions: A 5-year prospective clinical evaluation. J. Prosthet. Dent. 2016, 115, 571–577. [Google Scholar] [CrossRef] [PubMed]
- Favetti, M.; Montagner, A.; Fontes, S.; Martins, T.; Masotti, A.; Jardim, P.; Corrêa, F.; Cenci, M.; Muniz, F. Effects of cervical restorations on the periodontal tissues: 5-year follow-up results of a randomized clinical trial. J. Dent. 2021, 106, 103571. [Google Scholar] [CrossRef] [PubMed]
- Takehara, J.; Takano, T.; Akhter, R.; Morita, M. Correlations of noncarious cervical lesions and occlusal factors determined by using pressure-detecting sheet. J. Dent. 2008, 36, 774–779. [Google Scholar] [CrossRef]
- Kishen, A.; Tan, K.B.C.; Asundi, A. Digital moiré interferometric investigations on the deformation gradients of enamel and dentine: An insight into non-carious cervical lesions. J. Dent. 2006, 34, 12–18. [Google Scholar] [CrossRef]
- Jakupović, S.; Anić, I.; Ajanović, M.; Korać, S.; Konjhodžić, A.; Džanković, A.; Vuković, A. Biomechanics of cervical tooth region and noncarious cervical lesions of different morphology; three-dimensional finite element analysis. Eur. J. Dent. 2016, 10, 413–418. [Google Scholar] [CrossRef] [PubMed]
- Guimarães, J.C.; Soella, G.G.; Durand, L.B.; Horn, F.; Baratieri, L.N.; Monteiro, S., Jr.; Belli, R. Stress amplifications in dental non-carious cervical lesions. J. Biomech. 2014, 47, 410–416. [Google Scholar] [CrossRef]
- Scholz, K.J.; Tabenski, I.M.; Vogl, V.; Cieplik, F.; Schmalz, G.; Buchalla, W.; Hiller, K.-A.; Federlin, M. Randomized clinical split-mouth study on the performance of CAD/CAM-partial ceramic crowns luted with a self-adhesive resin cement or a universal adhesive and a conventional resin cement after 39 months. J. Dent. 2021, 115, 103837. [Google Scholar] [CrossRef] [PubMed]
- Schlichting, L.H.; Resende, T.H.; Reis, K.R.; Santos, A.R.; Correa, I.C.; Magne, P. Ultrathin CAD-CAM glass ceramic and composite resin occlusal veneers for the treatment of severe dental erosion: An up to 3-year randomized clinical trial. J. Prosthet. Dent. 2022, 128, 158.e1–158.e12. [Google Scholar] [CrossRef] [PubMed]
- Rauch, A.; Schrock, A.; Schierz, O.; Hahnel, S. Material preferences for tooth-supported 3-unit fixed dental prostheses: A survey of German dentists. J. Prosthet. Dent. 2021, 126, 91.e1–91.e6. [Google Scholar] [CrossRef] [PubMed]
- Wierichs, R.J.; Kramer, E.J.; Meyer-Lueckel, H. Risk factors for failure of class V restorations of carious cervical lesions in general dental practices. J. Dent. 2018, 77, 87–92. [Google Scholar] [CrossRef] [PubMed]
- Ordóñez-Aguilera, J.F.; Landmayer, K.; Shimokawa, C.; Liberatti, G.A.; Zanardi de Freitas, A.; Turbino, M.A.; Honório, H.M.; Francisconi-dos-Rios, L.F. Role of non-carious cervical lesions multicausality in the behavior of respective restorations. J. Mech. Behav. Biomed. Mater. 2022, 131, 105232. [Google Scholar] [CrossRef] [PubMed]
- Correia, A.; Tribst, J.; Matos, F.; Platt, J.; Caneppele, T.; Borges, A. Polymerization shrinkage stresses in different restorative techniques for non-carious cervical lesions. J. Dent. 2018, 76, 68–74. [Google Scholar] [CrossRef] [PubMed]
- Follak, A.; Ilha, B.; Oling, J.; Savian, T.; Rocha, R.; Soares, F. Clinical behavior of universal adhesives in non-carious cervical lesions: A randomized clinical trial. J. Dent. 2021, 113, 103747. [Google Scholar] [CrossRef]
- Costa de Souza, L.; Rodrigues, N.; Cunha, D.; Feitosa, V.; Santiago, S.; Reis, A.; Loguercio, A.; Perdigão, J.; Saboia, V. Two-year clinical evaluation of a proanthocyanidins-based primer in non-carious cervical lesions: A double-blind randomized clinical trial. J. Dent. 2020, 96, 103325. [Google Scholar] [CrossRef]
- Krithi, B.; Vidhya, S.; Mahalaxmi, S. Microshear bond strength of composite resin to demineralized dentin after remineralization with sodium fluoride, CPP-ACP and NovaMin containing dentifrices. J. Oral Biol. Craniofacial Res. 2020, 10, 122–127. [Google Scholar] [CrossRef] [PubMed]
- Nejad, R.M.; Moghadam, D.G.; Moghadam, M.R.; Aslani, M.; Moghaddam, H.A.; Mir, M. Fracture behavior of restored teeth and cavity shape optimization: Numerical and experimental investigation. J. Mech. Behav. Biomed. Mater. 2021, 124, 104829. [Google Scholar] [CrossRef] [PubMed]
- Ichim, I.P.; Schmidlin, P.R.; Li, Q.; Kieser, J.A.; Swain, M.V. Restoration of non-carious cervical lesions: Part II. Restorative material selection to minimise fracture. Dent. Mater. 2007, 23, 1562–1569. [Google Scholar] [CrossRef]
- Babaei, B.; Cella, S.; Farrar, P.; Prentice, L.; Prusty, G.B. The influence of dental restoration depth, internal cavity angle, and material properties on biomechanical resistance of a treated molar tooth. J. Mech. Behav. Biomed. Mater. 2022, 133, 105305. [Google Scholar] [CrossRef] [PubMed]
- Huang, L.; Nemoto, R.; Okada, D.; Shin, C.; Saleh, O.; Oishi, Y.; Takita, M.; Nozaki, K.; Komada, W.; Miura, K. Investigation of stress distribution within an endodontically treated tooth restored with different restorations. J. Dent. Sci. 2022, 17, 1115–1124. [Google Scholar] [CrossRef] [PubMed]
- Abtahi, S.; Alikhasi, M.; Siadat, H. Biomechanical behavior of endocrown restorations with different cavity design and CAD-CAM materials under a static and vertical load: A finite element analysis. J. Prosthet. Dent. 2022, 127, 600.e1–600.e8. [Google Scholar] [CrossRef] [PubMed]
- Dejak, B.; Młotkowski, A. A comparison of stresses in molar teeth restored with inlays and direct restorations, including polymerization shrinkage of composite resin and tooth loading during mastication. Dent. Mater. 2015, 31, e77–e87. [Google Scholar] [CrossRef]
- Sadyrin, E.V.; Yogina, D.V.; Swain, M.V.; Maksyukov, S.Y.; Vasiliev, A.S. Efficacy of dental materials in terms of apparent mineral density restoration: Composite resin, glass ionomer cement and infiltrant. Compos. Part C Open Access 2021, 6, 100192. [Google Scholar] [CrossRef]
- May, S.; Cieplik, F.; Hiller, K.-A.; Buchalla, W.; Federlin, M.; Schmalz, G. Flowable composites for restoration of non-carious cervical lesions: Three-year results. Dent. Mater. 2017, 33, e136–e145. [Google Scholar] [CrossRef] [PubMed]
- Szesz, A.; Parreiras, S.; Martini, E.; Reis, A.; Loguercio, A. Effect of flowable composites on the clinical performance of non-carious cervical lesions: A systematic review and meta-analysis. J. Dent. 2017, 65, 11–21. [Google Scholar] [CrossRef]
- Schwendicke, F.; Müller, A.; Seifert, T.; Jeggle-Engbert, L.-M.; Paris, S.; Göstemeyer, G. Glass hybrid versus composite for non-carious cervical lesions: Survival, restoration quality and costs in randomized controlled trial after 3 years. J. Dent. 2021, 110, 103689. [Google Scholar] [CrossRef] [PubMed]
- Ritter, A.V.; Walter, R.; Boushell, L.W.; Ahmed, S.N. 8—Clinical technique for direct composite resin and glass ionomer restorations. Sturdevant Art Sci. Oper. Dent. 2019, 219–263. [Google Scholar] [CrossRef]
- Goyal, M.; Sharma, K. Novel multi-walled carbon nanotube reinforced glass-ionomer cements for dental restorations. Mater. Today Proc. 2021, 37, 3035–3037. [Google Scholar] [CrossRef]
- Olegário, I.C.; Ladewig, N.M.; Hesse, D.; Bonifácio, C.C.; Braga, M.M.; Imparato, J.C.P.; Mendes, F.M.; Raggio, D.P. Is it worth using low-cost glass ionomer cements for occlusal ART restorations in primary molars? 2-year survival and cost analysis of a Randomized clinical trial. J. Dent. 2020, 101, 103446. [Google Scholar] [CrossRef] [PubMed]
- Attik, N.; Colon, P.; Gauthier, R.; Chevalier, R.; Grosgogeat, B.; Abouelleil, H. Comparison of physical and biological properties of a flowable fiber reinforced and bulk filling composites. Dent. Mater. 2022, 38, e19–e30. [Google Scholar] [CrossRef] [PubMed]
- Oginni, A.O.; Adeleke, A.A. Comparison of pattern of failure of resin composite restorations in non-carious cervical lesions with and without occlusal wear facets. J. Dent. 2014, 42, 824–830. [Google Scholar] [CrossRef] [PubMed]
- Zhou, X.; Zhang, M.; Xu, M.; Geng, S.; Wang, Q.; Wang, F. Microstructural evolution, corrosion behavior and cytotoxicity of Ti-6Al-4V/ZrO2 composite fabricated by directed energy deposition for implant biomaterial. J. Alloys Compd. 2022, 892, 161820. [Google Scholar] [CrossRef]
- Tangsripongkul, P.; Jearanaiphaisarn, T. Resin composite core and fiber post improved the fracture parameters of endodontically treated maxillary premolars with wedge-shaped cervical lesions. J. Endod. 2020, 46, 1733–1737. [Google Scholar] [CrossRef]
- Barbosa Kasuya, A.V.; Favarão, I.N.; Machado, A.C.; Rezende Spini, P.H.; Soares, P.V.; Fonseca, R.B. Development of a fiber-reinforced material for fiber posts: Evaluation of stress distribution, fracture load, and failure mode of restored roots. J. Prosthet. Dent. 2020, 123, 829–838. [Google Scholar] [CrossRef]
- Tajima, K.; Chen, K.K.; Takahashi, N.; Noda, N.; Nagamatsu, Y.; Kakigawa, H. Three-dimensional finite element modeling from CT images of tooth and its validation. Dent. Mater. J. 2009, 28, 219–226. [Google Scholar] [CrossRef]
- Kamenskikh, A.; Kuchumov, A.G.; Baradina, I. Modeling the contact interaction of a pair of antagonist teeth through individual protective mouthguards of different geometric configuration. Materials 2021, 14, 7331. [Google Scholar] [CrossRef] [PubMed]
- Varghese, J.T.; Babaei, B.; Farrar, P.; Prentice, L.; Prusty, B.G. Influence of thermal and thermomechanical stimuli on a molar tooth treated with resin-based restorative dental composites. Dent. Mater. 2022, 38, 811–823. [Google Scholar] [CrossRef] [PubMed]
- Ural, Ç.; Çağlayan, E. A 3-dimensional finite element and in vitro analysis of endocrown restorations fabricated with different preparation designs and various restorative materials. J. Prosthet. Dent. 2021, 126, 586.e1–586.e9. [Google Scholar] [CrossRef] [PubMed]
- Babaei, B.; Shouha, P.; Birman, V.; Farrar, P.; Prentice, L.; Prusty, G. The effect of dental restoration geometry and material properties on biomechanical behaviour of a treated molar tooth: A 3D finite element analysis. J. Mech. Behav. Biomed. Mater. 2022, 125, 104892. [Google Scholar] [CrossRef] [PubMed]
- Hua, L.C.; Wang, W.Y.; Swain, M.V.; Zhu, C.L.; Huang, H.B.; Du, J.K.; Zhou, Z.R. The dehydration effect on mechanical properties of tooth enamel. J. Mech. Behav. Biomed. Mater. 2019, 95, 210–214. [Google Scholar] [CrossRef] [PubMed]
- Nalla, R.K.; Balooch, M.; Ager, J.W.; Kruzic, J.J.; Kinney, J.H.; Ritchie, R.O. Effects of polar solvents on the fracture resistance of dentin: Role of water hydration. Acta Biomater. 2005, 1, 31–43. [Google Scholar] [CrossRef] [PubMed]
- Wang, Z.; Wang, K.; Xu, W.; Gong, X.; Zhang, F. Mapping the mechanical gradient of human dentin-enamel-junction at different intratooth locations. Dent. Mater. 2018, 34, 376–388. [Google Scholar] [CrossRef] [PubMed]
- Elbahie, E.; Beitzel, D.; Mutluay, M.M.; Majd, H.; Yahyazadehfar, M.; Arola, D. Durability of adhesive bonds to tooth structure involving the DEJ. J. Mech. Behav. Biomed. Mater. 2018, 77, 557–565. [Google Scholar] [CrossRef] [PubMed]
- Vennat, E.; Wang, W.; Genthial, R.; David, B.; Dursun, E.; Gourrier, A. Mesoscale porosity at the dentin-enamel junction could affect the biomechanical properties of teeth. Acta Biomater. 2017, 51, 418–432. [Google Scholar] [CrossRef] [PubMed]
- Tamam, E.; Güngör, M.B.; Nemli, S.K.; Bilecenoğlu, B.; Ocak, M. Effect of different preparation finishing procedures on the marginal and internal fit of CAD-CAM-produced restorations: A microcomputed tomography evaluation. J. Prosthet. Dent. 2021, in press. [Google Scholar] [CrossRef] [PubMed]
- Xiao, T.; Peng, M.; Huang, C.; Liang, S. Use of ceramic veneers for improving esthetics and extending the service life of an existing cement-retained implant-supported ceramic restoration: A clinical report with a 3-year follow-up. J. Prosthet. Dent. 2021, in press. [Google Scholar] [CrossRef] [PubMed]
- Klink, A.; Groten, M.; Huettig, F. Complete rehabilitation of compromised full dentitions with adhesively bonded all-ceramic single-tooth restorations: Long-term outcome in patients with and without amelogenesis imperfecta. J. Dent. 2018, 70, 51–58. [Google Scholar] [CrossRef] [PubMed]
- Stewart, C.A.; Hong, J.H.; Hatton, B.D.; Finer, Y. Antimicrobial antidegradative dental adhesive preserves restoration-tooth bond. Dent. Mater. 2020, 36, 1666–1679. [Google Scholar] [CrossRef] [PubMed]
- Ramburrun, P.; Pringle, N.A.; Dube, A.; Adam, R.Z.; D’Souza, S.; Aucamp, M. Recent advances in the development of antimicrobial and antifouling biocompatible materials for dental applications. Materials 2021, 14, 3167. [Google Scholar] [CrossRef] [PubMed]
- Lai, Y.-J.; Takahashi, R.; Lin, P.-Y.; Kuo, L.; Zhou, Y.; Matin, K.; Chiang, Y.-C.; Shimada, Y.; Tagami, J. Anti-demineralization effects of dental adhesive-composites on enamel–root dentin junction. Polymers 2021, 13, 3327. [Google Scholar] [CrossRef] [PubMed]
- Zhao, X.; Han, J.; Song, Y.; Shen, X.; Xiao, J.; Feng, X. The use of nanocomposite resin in aesthetic restoration of anterior tooth defect in digital medical environment. Sustain. Comput. Inform. Syst. 2022, 35, 100762. [Google Scholar] [CrossRef]
- Kamenskikh, A.A.; Sakhabutdinova, L.; Astashina, N.; Petrachev, A.; Nosov, Y. Numerical modeling of a new type of prosthetic restoration for non-carious cervical lesions. Materials 2022, 15, 5102. [Google Scholar] [CrossRef] [PubMed]










| Parameter | Enamel | Dentin |
|---|---|---|
| , MPa | 72.7 103 | 18.6 103 |
| 0.33 | 0.31 |
| Parameter | Material 1 | Material 2 |
|---|---|---|
| E, MPa | 9.5 103 | 14.1 103 |
| 0.24 | 0.24 |
Publisher’s Note: MDPI stays neutral with regard to jurisdictional claims in published maps and institutional affiliations. |
© 2022 by the authors. Licensee MDPI, Basel, Switzerland. This article is an open access article distributed under the terms and conditions of the Creative Commons Attribution (CC BY) license (https://creativecommons.org/licenses/by/4.0/).
Share and Cite
Sakhabutdinova, L.; Kamenskikh, A.A.; Kuchumov, A.G.; Nosov, Y.; Baradina, I. Numerical Study of the Mechanical Behaviour of Wedge-Shaped Defect Filling Materials. Materials 2022, 15, 7387. https://doi.org/10.3390/ma15207387
Sakhabutdinova L, Kamenskikh AA, Kuchumov AG, Nosov Y, Baradina I. Numerical Study of the Mechanical Behaviour of Wedge-Shaped Defect Filling Materials. Materials. 2022; 15(20):7387. https://doi.org/10.3390/ma15207387
Chicago/Turabian StyleSakhabutdinova, Lyaysan, Anna A. Kamenskikh, Alex G. Kuchumov, Yuriy Nosov, and Inessa Baradina. 2022. "Numerical Study of the Mechanical Behaviour of Wedge-Shaped Defect Filling Materials" Materials 15, no. 20: 7387. https://doi.org/10.3390/ma15207387
APA StyleSakhabutdinova, L., Kamenskikh, A. A., Kuchumov, A. G., Nosov, Y., & Baradina, I. (2022). Numerical Study of the Mechanical Behaviour of Wedge-Shaped Defect Filling Materials. Materials, 15(20), 7387. https://doi.org/10.3390/ma15207387

