New BODIPY Dyes Based on Benzoxazole as Photosensitizers in Radical Polymerization of Acrylate Monomers
Abstract
:1. Introduction
2. Materials and Methods
2.1. Materials
2.2. Synthesis
2.3. Spectroscopic Studies
2.4. Polymerization Measurements
3. Results and Discussion
3.1. Synthesis and Photophysical Properties
3.2. Photoinduced Radical Polymerization
3.2.1. Effect of Photosensitizer and Photoinitiating System Structure on the Kinetics of Photopolymerization
3.2.2. Effect of Photosensitizer and Photoinitiating System Concentration on the Kinetics of Photopolymerization
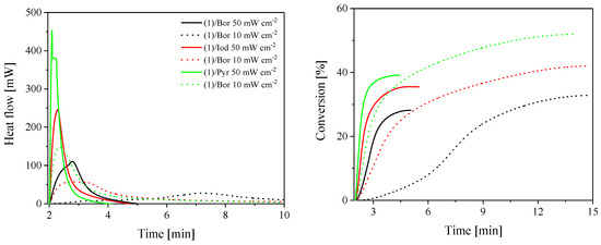
3.2.3. Effect of the Light Intensity on the Kinetics of Photopolymerization
4. Conclusions
Author Contributions
Funding
Institutional Review Board Statement
Informed Consent Statement
Data Availability Statement
Conflicts of Interest
References
- Murano, T.; Murata, N. Properties of UV-curable, durable precision adhesive. J. Adhes. Sci. Technol. 1995, 9, 1343–1355. [Google Scholar] [CrossRef]
- Aguado, B.A.; Grim, J.C.; Rosales, M.A.; Watson-Capps, J.J.; Anseth, K.S. Engineering precision biomaterials for personalized medicine. Sci. Transl. Med. 2018, 10, 8645. [Google Scholar] [CrossRef]
- Camposeo, A.; Persano, L.; Farsari, M.; Pisignano, D. Additive manufacturing applications and directions in photonics and optoelectronics. Adv. Opt. Mater. 2019, 7, 1800419. [Google Scholar] [CrossRef] [Green Version]
- Lee, J.-Y.; An, J.; Chua, C.K. Fundamentals and applications of 3D printing for novel materials. Appl. Mater. Today 2017, 7, 120–133. [Google Scholar] [CrossRef]
- Garcia, O.; Costela, A.; Garcia-Moreno, I.; Sastre, R. Pyrromethene 567 dye as a visible light photoinitiator for free radical polymerization. Macromol. Chem. Phys. 2003, 204, 2233–2239. [Google Scholar] [CrossRef]
- Hancock, A.; Lin, L. Challenges of UV curable ink-jet printing inks-a formulator’s perspective. Pigm. Resin Technol. 2004, 33, 280–286. [Google Scholar] [CrossRef]
- Lara, L.; Rocha, M.; Menezes, L.; Correr, A.B.; Sinhoreti, M.A.C.; Oliveira, D. Effect of combining photoinitiators on cure efficiency of dental resin-based composites. J. Appl. Oral Sci. 2021, 29. [Google Scholar] [CrossRef]
- Matyjaszewski, K.; Davis, T.P. Handbook of Radical Polymerization; Wiley: Hoboken, NJ, USA, 2002. [Google Scholar]
- Zhang, F.; Zhu, L.; Li, Z.; Wang, S.; Shi, J.; Tang, W.; Li, N.; Yang, J. The recent development of vat photopolymerization: A review. Addit. Manuf. 2021, 48(Part B), 102423. [Google Scholar] [CrossRef]
- Yang, J.; Xu, C.; Liao, W.; Xiong, Y.; Wang, X.; Tang, H. Visible macrophotoinitiators with Si-H: High efficient anti-oxygen inhibition and modified cured polymer materials. Prog. Org. Coat. 2020, 138, 105410. [Google Scholar] [CrossRef]
- Bonardi, A.; Bonardi, F.; Noirbent, G.; Dumur, F.; Dietlin, C.; Gigmes, D.; Fouassier, J.-P.; Lalevée, J. Different NIR dye scaffolds for polymerization reactions under NIR light. Polym. Chem. 2019, 10, 6505–6514. [Google Scholar] [CrossRef]
- Chen, S.; Pan, H.; Wan, D.; Jin, M. High-performance LED induces cationic photopolymerization using novel 1,3,5-triaryl-2-pyrazoline as photosensitizer. Prog. Org. Coartings 2021, 161, 106460. [Google Scholar] [CrossRef]
- Delgado, A.J.; Castellanos, E.M.; Sinhoreti, M.A.C.; Oliveira, D.C.; Abdulhameed, N.; Geraldeli, S.; Sulaiman, T.A.; Roulet, J.-F. The use of different photoinitiator systems in photopolymerizing resin cements through ceramic veneers. Oper. Dent. 2018, 44, 396–404. [Google Scholar] [CrossRef]
- Fouassier, J.-P.; Allonas, X. Basics of Photopolymerization Reactions; Research Signpost: Trivandrum, India, 2010. [Google Scholar]
- Yilmaz, H.; Küçüköz, B.; Sevinç, G.; Tekin, S.; Yaglioglu, H.G.; Hayvali, M.; Elmali, A. The effect of charge transfer on the ultrafast and two-photon absorption properties of newly synthesized boron-dipyrromethene compounds. Dye. Pigment. 2013, 99, 979–985. [Google Scholar] [CrossRef]
- Zakrzewska, A.; Zaleśny, R.; Kolehmainen, E.; Ośmiałowski, B.; Jędrzejewska, B.; Ågren, H.; Pietrzak, M. Substituents effects on the photophysical properties of fluorescent 2-benzoylmethylene quinoline difluoroboranes: A combined experimental and quantum chemical study. Dye. Pigment. 2013, 99, 957–965. [Google Scholar] [CrossRef]
- Wang, D.; Fan, J.; Gao, X.; Wang, B.; Sun, S.; Peng, X. Carboxyl BODIPY dyes from bicarboxylic anhydrides: One-pot preparation, spectral properties, photostability, and biolabeling. J. Org. Chem. 2009, 74, 7675–7683. [Google Scholar] [CrossRef]
- Boens, N.; Leen, V.; Dehaen, W. Fluorescent indicators based on BODIPY. Chem. Soc. Rev. 2012, 41, 1130–1172. [Google Scholar] [CrossRef]
- Duret, G.; Quinian, R.; Bisseret, P.; Blanchard, N. Boron chemistry in a new light. Chem. Sci. 2015, 6, 5366–5382. [Google Scholar] [CrossRef] [Green Version]
- Dumur, F. Recent advances on carbazole-based photoinitiators of polymerization. Eur. Polym. J. 2020, 125, 109503. [Google Scholar] [CrossRef]
- Napomnyashchii, A.B.; Bard, A. Electrochemistry and electrogenerated chemiluminescence of BODIPY dyes. J. Acc. Chem. Res. 2012, 45, 1844–1853. [Google Scholar] [CrossRef] [PubMed]
- Zhang, Y.; Song, K.-H.; Tang, S.; Ravelo, L.; Cusido, J.; Sun, C.H.; Zhang, H.F.; Raymo, F.M. Far-red photoactivatable BODIPYs for the super-resolution imaging of live cells. J. Am. Chem. Soc. 2018, 140, 12741–12745. [Google Scholar] [CrossRef]
- Xu, S.; Evans, R.E.; Liu, T.; Zhang, G.; Demas, J.N.; Trindle, C.O.; Fraser, C.L. Aromatic difluoroboron β-ketonate complexes: Effects of π-conjugation on optical properties. Inorg. Chem. 2013, 52, 3597–3610. [Google Scholar] [CrossRef] [Green Version]
- Radunz, S.; Andresen, E.; Wurth, C.; Koerdt, A.; Tschiche, H.R.; Resch-Genger, U. Simple self-referenced luminescent pH sensors based on upconversion nanocrystals and pH-sensitive fluorescent BODIPY dyes. Anal. Chem. 2019, 91, 7756–7764. [Google Scholar] [CrossRef] [PubMed]
- Sameiro, M.; Gonçalves, T. Fluorescent labeling of biomolecules with organic probes. Chem. Rev. 2009, 109, 190–212. [Google Scholar]
- Teknikel, E.; Unaleroglu, C. 2,3,5,6-Tetrabromo-8-phenyl BODIPY as a fluorometric and colorimetric probe for amines. J. Photochem. Photobiol. A Chem. 2022, 422, 113549. [Google Scholar] [CrossRef]
- Klfout, H.; Stewart, A.; Elkhalifa, M.; He, H. BODIPYs for dye-sensitized solar cells. ACS Appl. Mater. Interfaces 2017, 9, 39873–39889. [Google Scholar] [CrossRef]
- Yagci, Y.; Jockusch, S.; Turro, J.N. Photoinitiated polymerization: Advances, challenges, and opportunities. Macromolecules 2010, 43, 6245–6260. [Google Scholar] [CrossRef]
- Fouassier, J.-P.; Morlet-Savary, F.; Lalevee, J.; Allonas, X.; Ley, C.H. Dyes as photoinitiators or photosensitizers of polymerization reaction. Materials 2010, 3, 5130–5142. [Google Scholar] [CrossRef]
- Kowalska, A.; Sokołowski, J.; Bociong, K. The photoinitiators used in resin based dental composite—A review and future perspectives. Polymers 2021, 13, 470. [Google Scholar] [CrossRef] [PubMed]
- Liu, S.; Brunel, D.; Sun, K.; Xu, Y.; Morlet-Savary, F.; Graff, B.; Xiao, P.; Dumur, F.; Lalevée, J. A monocomponent bifunctional benzophenone-carbazole type II photoinitiator for LED photoinitiating systems. Polym. Chem. 2021, 11, 3551–3556. [Google Scholar] [CrossRef]
- Zou, X.; Zhu, J.; Hu, P.; Liu, R. Methods to evaluate near-infrared photoinitiating systems for photopolymerisation reactions assisted by upconversion materials. ChemPhotoChem 2021, 5, 915–919. [Google Scholar] [CrossRef]
- Sun, K.; Xiao, P.; Dumur, F.; Lalevée, J. Organic dye-based photoinitiating systems for visible-light-induced photopolymerization. J Polym. Sci. 2021, 59, 1338–1389. [Google Scholar] [CrossRef]
- Fouassier, J.-P.; Lalevée, J. Three-component photoinitiating systems: Towards innovative tailor made high performance combinations. RSC Adv. 2012, 2, 2621–2629. [Google Scholar] [CrossRef]
- Tehfe, M.A.; Louradour, F.; Lalevée, J.; Fouassier, J.-P. Photopolymerization reactions: On the way to a green and sustainable chemistry. Appl. Sci. 2013, 3, 490–514. [Google Scholar] [CrossRef]
- Telitel, S.; Blanchchard, N.; Schweizer, S.; Morlet-Savary, F.; Graff, B.; Fouassier, J.-P.; Lalevée, J. BODIPY derivatives and boranyl as new photoinitiating systems of cationic polymerization exhibiting a tunable absorption in the 400–600 nm spectral range. Polymer 2013, 54, 2071–2076. [Google Scholar] [CrossRef]
- Jędrzejewska, B.; Ośmiałowski, B. Difluoroboranyl derivatives as efficient panchromatic photoinitiators in radical polymerization reactions. Polym. Bull. 2018, 75, 3267–3281. [Google Scholar] [CrossRef] [Green Version]
- Stafford, A.; Ahn, D.; Raulerson, E.K.; Chung, K.-Y.; Sun, K.; Cadena, D.M.; Forrister, E.M.; Yost, S.R.; Roberts, S.T.; Page, Z.A. Catalyst halogenation enables rapid and efficient polymerizations with visible to far-red light. J. Am. Chem. Soc. 2020, 142, 14733–14742. [Google Scholar] [CrossRef]
- Damico, R.J. Preparation, characterization and reactions of lithium and sodium tetraalkylboron compounds. Org. Chem. 1964, 29, 1971. [Google Scholar] [CrossRef]
- Skotnicka, A.; Kolehmainen, E.; Czeleń, P.; Valkonen, A.; Gawinecki, R. Synthesis and structural characterization of substituted 2-phenacylbenzoxazoles. Int. J. Mol. Sci. 2013, 14, 4444–4460. [Google Scholar] [CrossRef]
- Skotnicka, A.; Czeleń, P. Substituted 2-phenacylbenzoxazole difluoroboranes: Synthesis, structure and properties. Molecules 2020, 25, 5420. [Google Scholar] [CrossRef]
- Brouwer, A.M. Standards for photoluminescence quantum yield measurements in solution (IUPAC Technical Report). Pure Appl. Chem. 2011, 83, 2213–2228. [Google Scholar] [CrossRef] [Green Version]
- Jones, G.; Jackson, W.R.; Choi, C.Y.; Bergmark, W.R. Solvent effect on emission yield and lifetime for coumarin laser dyes. Requirements for a rotatory decay mechanism. J. Phys. Chem. 1985, 89, 294–300. [Google Scholar] [CrossRef]












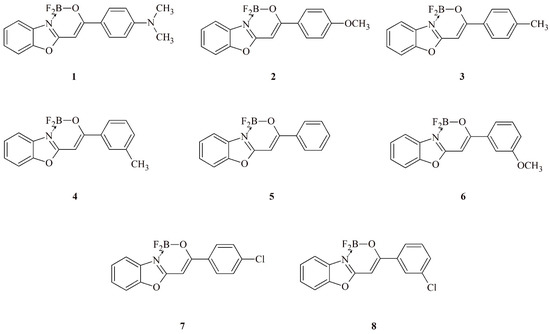
| Dye | Substituent | λabs [nm] | λfl [nm] | Stokes Shift [cm−1] | Φfl [× 10−2] * |
|---|---|---|---|---|---|
| 1 | 4-NMe2 | 415 | 475 | 3040 | 98.2 |
| 2 | 4-OMe | 359 | 463 | 6260 | 1.8 |
| 3 | 4-Me | 351 | 455 | 6500 | 0.66 |
| 4 | 3-Me | 350 | 448 | 6300 | 0.48 |
| 5 | H | 349 | 447 | 6300 | 0.54 |
| 6 | 3-OMe | 351 | 434 | 5400 | 0.57 |
| 7 | 4-Cl | 352 | 455 | 6400 | 0.58 |
| 8 | 3-Cl | 350 | 452 | 6400 | 0.50 |
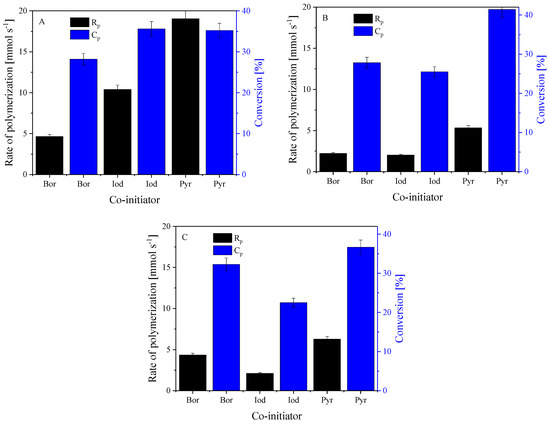
| Dyes | Bor | Iod | Pyr | |||
|---|---|---|---|---|---|---|
| Rp [mmol s−1] | C% [%] | Rp [mmol s−1] | C% [%] | Rp [mmol s−1] | C% [%] | |
| 1 | 4.65 | 28.2 | 10.37 | 35.6 | 19.04 | 39.2 |
| 2 | 4.60 | 34.4 | 2.12 | 25.9 | 10.45 | 47.7 |
| 3 | 3.60 | 38.2 | 1.75 | 23.3 | 5.78 | 47.1 |
| 4 | 2.80 | 38.3 | 1.61 | 24.5 | 4.73 | 47.4 |
| 5 | 2.22 | 27.8 | 2.02 | 25.5 | 5.34 | 41.4 |
| 6 | 3.42 | 35.2 | 1.81 | 22.6 | 5.68 | 45.1 |
| 7 | 4.35 | 32.3 | 2.11 | 22.5 | 6.28 | 36.7 |
| 8 | 4.01 | 37.1 | 1.62 | 21.3 | 6.34 | 39.2 |
Publisher’s Note: MDPI stays neutral with regard to jurisdictional claims in published maps and institutional affiliations. |
© 2022 by the authors. Licensee MDPI, Basel, Switzerland. This article is an open access article distributed under the terms and conditions of the Creative Commons Attribution (CC BY) license (https://creativecommons.org/licenses/by/4.0/).
Share and Cite
Skotnicka, A.; Kabatc, J. New BODIPY Dyes Based on Benzoxazole as Photosensitizers in Radical Polymerization of Acrylate Monomers. Materials 2022, 15, 662. https://doi.org/10.3390/ma15020662
Skotnicka A, Kabatc J. New BODIPY Dyes Based on Benzoxazole as Photosensitizers in Radical Polymerization of Acrylate Monomers. Materials. 2022; 15(2):662. https://doi.org/10.3390/ma15020662
Chicago/Turabian StyleSkotnicka, Agnieszka, and Janina Kabatc. 2022. "New BODIPY Dyes Based on Benzoxazole as Photosensitizers in Radical Polymerization of Acrylate Monomers" Materials 15, no. 2: 662. https://doi.org/10.3390/ma15020662
APA StyleSkotnicka, A., & Kabatc, J. (2022). New BODIPY Dyes Based on Benzoxazole as Photosensitizers in Radical Polymerization of Acrylate Monomers. Materials, 15(2), 662. https://doi.org/10.3390/ma15020662

