Experimental and Computational Studies on Bio-Inspired Flavylium Salts as Sensitizers for Dye-Sensitized Solar Cells
Abstract
1. Introduction
- the ability to bind strongly to the semiconductor through anchoring groups, typically carboxylic or hydroxyl groups;
 - wide and intense absorption in the visible or near-IR region;
 - excited-state energy level of the dye higher than the conduction band edge of the semiconductor placed in the photoanode;
 - the HOMO energy must be lower than the redox potential of the electrolyte;
 - good thermal, photochemical, and chemical stability in both ground and excited states.
 
2. Materials and Methods
2.1. Materials and Methods
2.1.1. Synthesis of Flavylium Salts
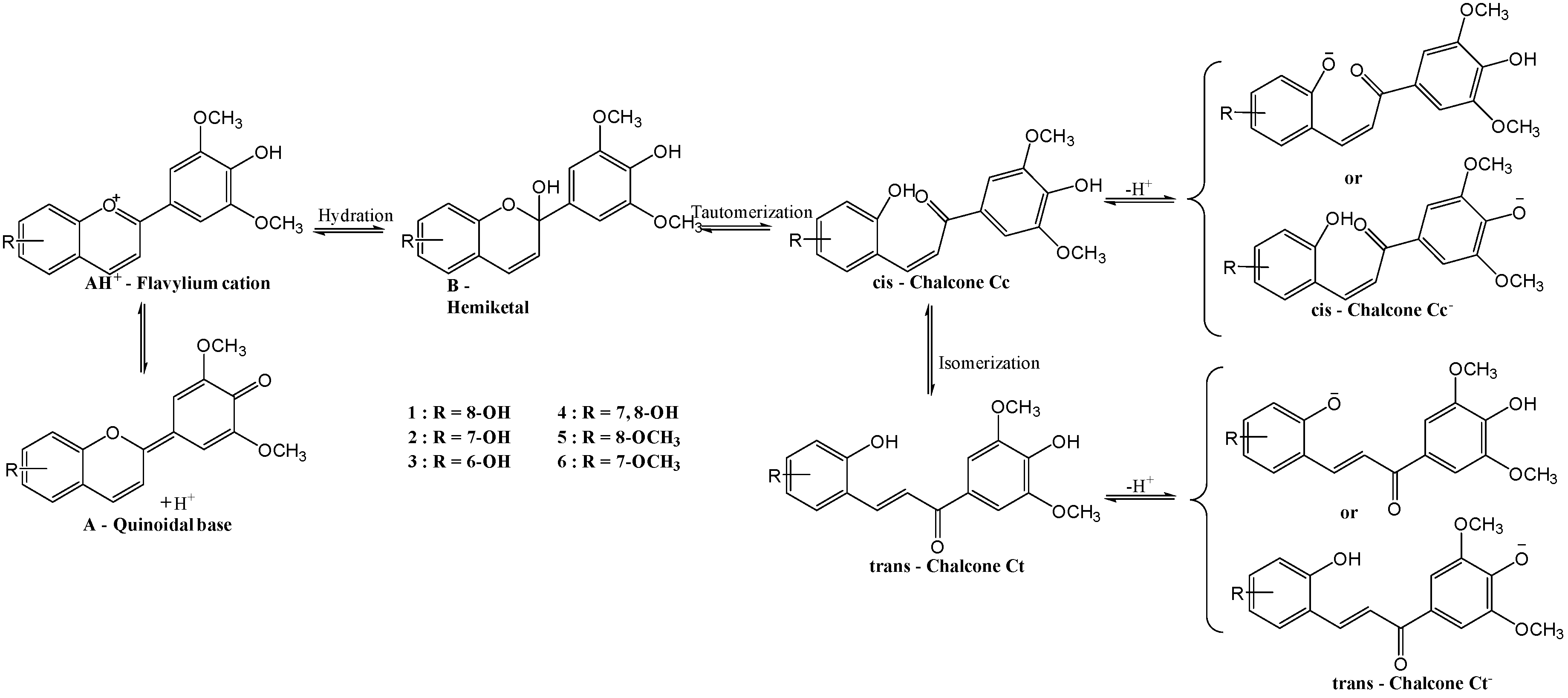
2.1.2. Halochromic Studies
DSSC Photovoltaic Parameters
2.2. Characterization of the Synthesized Flavylium Dyes
2.3. Computational Studies
3. Results and Discussions
3.1. Computational Studies
3.1.1. Geometry Optimization and Frequency Calculations
3.1.2. Energetic Parameters and Density Functional Theory-Based Reactivity Descriptors
3.1.3. Computed Electronic Absorption Spectra
3.1.4. Computed Photovoltaic Parameters
3.1.5. Dipole Moment Analysis
3.2. Synthesis and Characterization of The Flavylium Salts
3.3. Halochromic Properties Evaluation
3.4. Photovoltaic Performances of DSSCs
4. Conclusions
Supplementary Materials
Author Contributions
Funding
Institutional Review Board Statement
Informed Consent Statement
Data Availability Statement
Acknowledgments
Conflicts of Interest
References
- Desilvestro, J.; Gratzel, M.; Kavan, L.; Moser, J.; Augustynski, J. Highly efficient sensitization of titanium dioxide. J. Am. Chem. Soc. 1985, 107, 2988–2990. [Google Scholar] [CrossRef]
 - Nazeeruddin, M.K.; Liska, P.; Moser, J.; Vlachopoulos, N.; Gratzel, M. Conversion of Light into Electricity with Trinuclear Ruthenium Complexes Adsorbed on Textured TiO2 Films. Helv. Chim. Acta 1990, 73, 1788–1803. [Google Scholar] [CrossRef]
 - Calogero, G.; Sinopoli, A.; Citro, I.; Di Marco, G.; Petrov, V.; Diniz, A.M.; Parola, A.J.; Pina, F. Synthetic analogues of anthocyanins as sensitizers for dye-sensitized solar cells. Photochem. Photobiol. Sci. 2013, 12, 883–894. [Google Scholar] [CrossRef] [PubMed]
 - O’Regan, B.; Grätzel, M. A low-cost, high-efficiency solar cell based on dye-sensitized colloidal TiO2 films. Nature 1991, 353, 737–740. [Google Scholar] [CrossRef]
 - Lytle, W.O.; Junge, A.E. Electroconductive Products and Production Thereof. U.S. Patent No. 2,566,346, 4 September 1951. [Google Scholar]
 - Thorsmølle, V.K.; Wenger, B.; Teuscher, J.; Bauer, C.; Moser, J.-E. Dynamics of Photoinduced Interfacial Electron Transfer and Charge Transport in Dye-Sensitized Mesoscopic Semiconductors. Photochem. Chim. 2007, 61, 631–634. [Google Scholar] [CrossRef][Green Version]
 - Rowley, J.G.; Farnum, B.H.; Ardo, S.; Meyer, G.J. Iodide Chemistry in Dye-Sensitized Solar Cells: Making and Breaking I−I Bonds for Solar Energy Conversion. J. Phys. Chem. Lett. 2010, 1, 3132–3140. [Google Scholar] [CrossRef]
 - Gratzel, M. Solar Energy Conversion by Dye-Sensitized Photovoltaic Cells. Inorg. Chem. 2005, 44, 6841–6851. [Google Scholar] [CrossRef] [PubMed]
 - Ardo, S.; Meyer, G.J. Photodriven heterogeneous charge transfer with transition-metal compounds anchored to TiO2 semiconductor surfaces. Chem. Soc. Rev. 2009, 38, 115–164. [Google Scholar] [CrossRef] [PubMed]
 - Devadiga, D.; Selvakumar, M.; Shetty, P.; Santosh, M.S. Recent progress in dye sensitized solar cell materials and photo-supercapacitors: A review. J. Power Sources 2021, 493, 229698. [Google Scholar] [CrossRef]
 - Mariotti, N.; Bonomo, M.; Fagiolari, L.; Barbero, N.; Gerbaldi, C.; Bella, F.; Barolo, C. Recent advances in eco-friendly and cost-effective materials towards sustainable dye-sensitized solar cells. Green Chem. 2020, 22, 7168–7218. [Google Scholar] [CrossRef]
 - Calogero, G.; Bartolotta, A.; Di Marco, G.; Di Cardo, A.; Bonaccorso, F. Vegetable-based dye-sensitized solar cells. Chem. Soc. Rev. 2015, 44, 3244–3294. [Google Scholar] [CrossRef] [PubMed]
 - Castillo-Robles, J.A.; Rocha-Rangel, E.; Ramírez-de-León, J.A.; Caballero-Rico, F.C.; Armendáriz-Mireles, E.N. Advances on Dye-Sensitized Solar Cells (DSSCs) Nanostructures and Natural Colorants: A Review. J. Compos. Sci. 2021, 5, 288. [Google Scholar] [CrossRef]
 - Mejica, G.F.C.; Unpaprom, Y.; Balakrishnan, D.; Dussadee, N.; Buochareon, S.; Ramaraj, R. Anthocyanin pigment-based dye-sensitized solar cells with improved pH-dependent photovoltaic properties. Sustain. Energy Technol. Assess. 2022, 51, 101971. [Google Scholar] [CrossRef]
 - Yuan, Y.; Wan, C. Dual Application of Waste Grape Skin for Photosensitizers and Counter Electrodes of Dye-Sensitized Solar Cells. Nanomaterials 2022, 12, 563. [Google Scholar] [CrossRef]
 - Konczak, I.; Zhang, W. Anthocyanins—More Than Nature’s Colours. J. Biomed. Biotechnol. 2004, 5, 239–240. [Google Scholar] [CrossRef] [PubMed]
 - Takeoka, G.R.; Dao, L.T. Anthocyanins. In Methods of Analysis for Functional Food and Nutraceuticals; Hurst, W.J., Ed.; CRC Press Inc.: Boca Raton, FL, USA, 2002; pp. 219–241. [Google Scholar]
 - Melo, M.J.; Parola, A.J.; Lima, J.C.; Pina, F. Chromogenic materials based on 2-phenyl-1-benzopyrylium: From Anthocyanins to synthetic Flavylium compounds. In Chromic Materials and Their Applications; Somani, P.R., Ed.; Applied Science Innovations Private Limited: Maharashtra, India, 2010. [Google Scholar]
 - Kong, J.M.; Chia, L.S.; Goh, N.K.; Chia, T.F.; Brouillard, R. Analysis and biological activities of anthocyanins. Phytochemistry 2003, 64, 923–933. [Google Scholar] [CrossRef]
 - Pina, F.; Maestri, M.; Balzani, V. Multistate/Multifunctional Molecular Level Systems-Photochromic Flavylium Compounds. In Molecular Switches; Feringa, B.L., Ed.; Wiley-VCH: Weinheim, Germany, 2001; pp. 310–339. [Google Scholar]
 - Pina, F.; Melo, M.J.; Laia, C.A.T.; Parola, A.J.; Lima, J.C. Chemistry and applications of flavylium compounds: A handful of colours. Chem. Soc. Rev. 2012, 41, 869–908. [Google Scholar] [CrossRef]
 - Hug, H.; Bader, M.; Mair, P.; Glatzal, T. Biophotovoltaics: Natural pigments in dye sensitized solar cells. Appl. Energy 2014, 115, 216–225. [Google Scholar] [CrossRef]
 - Shalini, S.; Balasundara Prabhu, R.; Prasanna, S.; Mallick, T.K.; Senthilarasu, S. Review on natural dye sensitized solar cells: Operation, materials and methods. Renew. Sustain. Energy Rev. 2015, 51, 1306–1325. [Google Scholar] [CrossRef]
 - Richhariya, G.; Kumara, A.; Tekasakul, P.; Gupta, B. Natural dyes for dye sensitized solar cell: A review. Renew. Sustain. Energy Rev. 2017, 69, 705–718. [Google Scholar] [CrossRef]
 - Kumara, N.T.R.N.; Lim, A.; Lim, C.M.; Petra, M.I.; Ekanayake, P. Recent progress and utilization of natural pigments in dye sensitized solar cells: A review. Renew. Sustain. Energy Rev. 2017, 78, 301–317. [Google Scholar] [CrossRef]
 - Jalali, T.; Arkian, P.; Golshan, M.; Jalali, M.; Osfouri, S. Performance evaluation of natural native dyes as photosensitizer in dye-sensitized solar cells. Opt. Mater. 2020, 110, 110441. [Google Scholar] [CrossRef]
 - Huizhi, Z.; Wu, L.; Gao, Y.; Ma, T. Dye-sensitized solar cells using 20 natural dyes as sensitizers. J. Photochem. Photobiol. A Chem. 2011, 219, 188–194. [Google Scholar]
 - Suhaimi, S.; Shahimin, M.M.; Alahmed, Z.A.; Chysky, J.; Reshak, A.H. Materials for enhanced dye-sensitized solar cell performance: Electrochemical application. Int. J. Electrochem. Sci. 2015, 10, 2859–2871. [Google Scholar]
 - Sinopoli, A.; Citro, I.; Calogero, G.; Bartolotta, A. Combined experimental and DFT-TDDFT investigation on anthocyanidins for application in dye-sensitised solar cells. Dyes Pigm. 2017, 143, 291–300. [Google Scholar] [CrossRef]
 - Patrocínio, A.O.T.; Mizoguchi, S.K.; Paterno, L.G.; Garcia, C.G.; Murakami Iha, N.Y. Efficient and low-cost devices for solar energy conversion: Efficiency and stability of some natural-dye-sensitized solar cells. Synth. Met. 2009, 159, 2342–2344. [Google Scholar] [CrossRef]
 - Kabir, F.; Manir, S.; Bhuiyan, M.M.H.; Aftab, S.; Ghanbari, H.; Hasani, A.; Fawzy, M.; De Silva, G.L.T.; Mohammadzadeh, M.R.; Ahmadi, R.; et al. Instability of dye-sensitized solar cells using natural dyes and approaches to improving stability—An overview. Sustain. Energy Technol. Assess. 2022, 52, 102196. [Google Scholar] [CrossRef]
 - Calogero, G.; Citro, I.; Di Marco, G.; Caramori, S.; Casarin, L.; Bignozzi, C.A.; Avo, J.; Parola, A.J.; Pina, F. Electronic and charge transfer properties of bio-inspired flavylium ions for applications in TiO2-based dye-sensitized solar cells. Photochem. Photobiol. 2017, 16, 1400–1414. [Google Scholar] [CrossRef] [PubMed]
 - Prima, E.C.; Hidayat, N.N.; Yuliarto, B.; Suyatman; Dipojono, H.K. A combined spectroscopic and TDDFT study of natural dyes extracted from fruit peels of Citrus reticulata and Musa acuminata for dye-sensitized solar cells. Spectrochim. Acta A 2017, 171, 112–125. [Google Scholar] [CrossRef]
 - Shi, X.; Li, Y.; Wang, L. Two novel mono-hydroxyl pyranoanthocyanidins bearing dimethylamino substituent(s) for dye-sensitized solar cell. J. Mol. Struct. 2022, 1252, 132055. [Google Scholar] [CrossRef]
 - Carmody, W.R. Easily prepared wide range buffer series. J. Chem. Educ. 1961, 38, 559–560. [Google Scholar] [CrossRef]
 - Ursu, D.; Vajda, M.; Miclau, M. Investigation of the p-type dye-sensitized solar cell based on full Cu2O electrodes. J. Alloys Compd. 2019, 802, 86–92. [Google Scholar] [CrossRef]
 - Zhou, W.; Yang, H.; Fang, Z. A novel model for photovoltaic array performance prediction. Appl. Energy 2007, 84, 1187–1198. [Google Scholar] [CrossRef]
 - Frisch, M.J.; Trucks, G.W.; Schlegel, H.B.; Scuseria, G.E.; Robb, M.A.; Cheeseman, J.R.; Scalmani, G.; Barone, V.; Mennucci, B.; Petersson, G.A.; et al. Gaussian 09, Gaussian, Inc.: Wallingford, CT, USA, 2010.
 - Becke, A.D. Density-functional thermochemistry. III. The role of exact exchange. J. Chem. Phys. 1993, 98, 5648–5652. [Google Scholar] [CrossRef]
 - Miertuš, S.; Scrocco, E.; Tomasi, J. Electrostatic interaction of a solute with a continuum. A direct utilizaion of AB initio molecular potentials for the prevision of solvent effects. Chem. Phys. 1981, 55, 117–129. [Google Scholar] [CrossRef]
 - Miertuš, S.; Tomasi, J. Approximate evaluations of the electrostatic free energy and internal energy changes in solution processes. Chem. Phys. 1982, 65, 239–245. [Google Scholar] [CrossRef]
 - Pascual-Ahuir, J.L.; Silla, E.; Tuñón, I. GEPOL: An improved description of molecular surfaces. III. A new algorithm for the computation of a solvent-excluding surface. J. Comp. Chem. 1994, 15, 1127–1138. [Google Scholar] [CrossRef]
 - De Proft, F.; Geerlings, P. Conceptual and Computational DFT in the Study of Aromaticity. Chem. Rev. 2001, 101, 1451–1464. [Google Scholar] [CrossRef] [PubMed]
 - Soto-Rojo, R.; Baldenebro-Lopez, J.; Glossman-Mitnik, D. Study of chemical reactivity in relation to experimental parameters of efficiency in coumarin derivatives for dye sensitized solar cells using DFT. Phys. Chem. Chem. Phys. 2015, 17, 14122–14129. [Google Scholar] [CrossRef] [PubMed]
 - Sun, C.; Li, Y.; Song, P.; Ma, F. An experimental and theoretical investigation of the electronic structures and photoelectrical properties of ethyl red and carminic acid for DSSC application. Materials 2016, 9, 813. [Google Scholar] [CrossRef]
 - Asbury, J.B.; Wang, Y.-Q.; Hao, E.; Ghosh, H.N.; Lian, T. Evidences of hot excited state electron injection from sensitizer molecules to TiO2 nanocrystalline thin films. Res. Chem. Intermed. 2001, 27, 393–406. [Google Scholar] [CrossRef]
 - Bentley, C.L.; Bond, A.M.; Hollenkamp, A.F.; Mahon, P.J.; Zhang, J. Voltammetric Determination of the Iodide/Iodine Formal Potential and Triiodide Stability Constant in Conventional and Ionic Liquid Media. J. Phys. Chem. C 2015, 119, 22392–22403. [Google Scholar] [CrossRef]
 - Zhang, J.; Kan, Y.H.; Li, H.B.; Geng, Y.; Wu, Y.; Su, Z.M. How to design proper π-spacer order of the D-π-A dyes for DSSCs? A density functional response. Dyes Pigm. 2012, 95, 313–321. [Google Scholar] [CrossRef]
 - Megala, M.; Beulah, J.; Rajkumar, M. Theoretical study of anthoxanthin dyes for dye sensitized solar cells (DSSCs). J. Comput. Electron. 2016, 15, 557–568. [Google Scholar] [CrossRef]
 - Qin, C.; Clark, A.E. DFT characterization of the optical and redox properties of natural pigments relevant to dye-sensitized solar cells. Chem. Phys. Lett. 2007, 438, 26–30. [Google Scholar] [CrossRef]
 - Chaitanya, K.; Ju, X.-H.; Heron, B.M. Theoretical study on the light harvesting efficiency of zinc porphyrin sensitizers for DSSCs. RSC Adv. 2014, 4, 26621–26634. [Google Scholar] [CrossRef]
 - Li, M.; Kou, L.; Diao, L.; Zhang, Q.; Li, Z.; Wu, Q.; Lu, W.; Pan, D.; Wei, Z. Theoretical study of WS-9-Based organic sensitizers for unusual vis/NIR absorption and highly efficient dye-sensitized solar cells. J. Phys. Chem. C 2015, 119, 9782–9790. [Google Scholar] [CrossRef]
 - Calogero, G.; Yum, J.-H.; Sinopoli, A.; Di Marco, G.; Grätzel, M.; Nazeeruddin, M.K. Anthocyanins and betalains as light-harvesting pigments for dye-sensitized solar cells. Sol. Energy 2012, 86, 1563–1575. [Google Scholar] [CrossRef]
 - Tang, Y.; Gao, H.; Parrish, D.A.; Shreeve, J.M. 1,2,4-Triazole Links and N-Azo Bridges Yield Energetic Compounds. Chem. Eur. J. 2015, 21, 11401–11407. [Google Scholar] [CrossRef]
 - Zhang, Z.L.; Zou, L.Y.; Ren, A.M.; Liu, Y.F.; Feng, J.K.; Sun, C.C. Theoretical studies on the electronic structures and optical properties of star-shaped triazatruxene/heterofluorene co-polymers. Dyes Pigm. 2013, 96, 349–363. [Google Scholar] [CrossRef]
 - Pounraj, P.; Mohankumar, V.; Pandian, M.S.; Ramasamy, P. The effect of different π-bridge configuration on bi-anchored triphenylamine and phenyl modified triphenylamine based dyes for dye sensitized solar cell (DSSC) application: A theoretical approach. J. Mol. Graph. Model. 2018, 79, 235–253. [Google Scholar] [CrossRef] [PubMed]
 - Smolyar, A.E.; Boldyrev, A.I.; Charkin, O.P.; Klimenko, N.M.; Avdeev, V.I. Koopman’s theorem and allowance for the relaxation of MO’s in ab initi calculations of polyhalogenides. J. Struct. Chem. 1976, 17, 188–193. [Google Scholar] [CrossRef]
 - Manzoor, T.; Niaz, S.; Pandith, A.H. Exploring the effect of different coumarin donors on the optical and photovoltaic properties of azo-bridged push-pull systems: A theoretical approach. Int. J. Quantum Chem. 2019, 119, e25979. [Google Scholar] [CrossRef]
 - Mohankumar, V.; Pounraj, P.; Pandian, M.S. Theoretical Investigation on Flavones and Isoflavones-Added Triphenylamine-Based Sensitizers for DSSC Application. Braz. J. Phys. 2019, 49, 103–112. [Google Scholar] [CrossRef]
 - Sinopoli, A.; Calogero, G.; Bartolotta, A. Computational aspects of anthocyanidins and anthocyanins: A review. Food Chem. 2019, 297, 124898. [Google Scholar] [CrossRef]
 - Madugula, S.S.; Yarasi, S. Molecular design of porphyrin dyes for dye sensitized solar cells: A quantitative structure property relationship study. Int. J. Quantum Chem. 2017, 117, e25385. [Google Scholar] [CrossRef]
 - Hajizadeh, F.; Reisi-Vanani, A.; Azar, Y.T. Theoretical design of Zn-dithiaporphyrins as sensitizer for dye-sensitized solar cells. Curr. Appl. Phys. 2018, 18, 1122–1133. [Google Scholar] [CrossRef]
 - Lu, L.; Yu, L. Understanding Low Bandgap Polymer PTB7 and Optimizing Polymer Solar Cells Based on It. Adv. Mater. 2014, 26, 4413–4430. [Google Scholar] [CrossRef]
 - Kranthiraja, K.; Kim, S.; Lee, C.; Gunasekar, K.; Sree, V.G.; Gautam, B.; Gundogdu, K.; Jin, S.-H.; Kim, B.J. The Impact of Sequential Fluorination of Conjugated Polymers on Charge Generation in All-Polymer Solar Cells. Adv. Funct. Mater. 2017, 27, 1701256–1701263. [Google Scholar] [CrossRef]
 - Terenti, N.; Giurgi, G.-I.; Szolga, L.; Stroia, I.; Terec, A.; Grosu, I.; Crisan, A.P. Effect of the Terminal Acceptor Unit on the Performance of Non-Fullerene Indacenodithiophene Acceptors in Organic Solar Cells. Molecules 2022, 27, 1229. [Google Scholar] [CrossRef]
 











| Compound | E (a.u.)  | EHOMO (ev)  | ELUMO (ev)  | ΔELUMO-HOMO (eV)  | η (eV)  | µ (eV)  | ω (eV)  | 
|---|---|---|---|---|---|---|---|
| 1_AH+ | −1032.540 | −6.562 | −3.760 | 2.802 | 1.401 | −5.161 | 9.504 | 
| 1_A | −1032.098 | −5.668 | −2.992 | 2.675 | 1.338 | −4.330 | 7.008 | 
| 2_AH+ | −1032.546 | −6.570 | −3.603 | 2.967 | 1.484 | −5.087 | 8.720 | 
| 2_A | −1032.107 | −5.405 | −2.803 | 2.602 | 1.301 | −4.104 | 6.473 | 
| 3_AH+ | −1032.542 | −6.602 | −3.702 | 2.900 | 1.450 | −5.152 | 9.153 | 
| 3_A | −1032.075 | −5.558 | −2.942 | 2.616 | 1.308 | −4.250 | 6.904 | 
| 4__AH+ | −1107.764 | −6.600 | −3.673 | 2.927 | 1.463 | −5.136 | 9.014 | 
| 4_A | −1107.324 | −5.586 | −2.923 | 2.663 | 1.331 | −4.255 | 6.797 | 
| 5_AH+ | −1071.815 | −6.509 | −3.663 | 2.845 | 1.423 | −5.086 | 9.090 | 
| 5_A | −1071.370 | −5.463 | −2.843 | 2.620 | 1.310 | −4.153 | 6.582 | 
| 6_AH+ | −1071.819 | −6.548 | −3.600 | 2.948 | 1.474 | −5.074 | 8.731 | 
| 6_A | −1071.377 | −5.531 | −2.872 | 2.659 | 1.329 | −4.201 | 6.639 | 
| Compound | Calculated Absorption Wavelength λ (nm)  | Excitation Energies E (eV)  | Oscillator Strengths (f)  | Light-Harvesting Efficiency LHE  | Excited State LIFETIME (τ) (ns)  | 
|---|---|---|---|---|---|
| 1_AH+ | 482.1 (HOMO → LUMO) | 2.571 | 0.336 | 0.539 | 10.375 | 
| 1_A | 472.5 (HOMO → LUMO) | 2.624 | 0.858 | 0.861 | 3.900 | 
| 2_AH+ | 456.6 (HOMO → LUMO) | 2.715 | 0.731 | 0.814 | 4.276 | 
| 2_A | 482.1 (HOMO → LUMO) | 2.572 | 0.995 | 0.899 | 3.501 | 
| 3_AH+ | 465.1 (HOMO → LUMO) | 2.666 | 0.627 | 0.764 | 5.170 | 
| 3_A | 487.9 (HOMO → LUMO) | 2.541 | 0.841 | 0.856 | 4.243 | 
| 4_AH+ | 476.3 (HOMO → LUMO) | 2.603 | 0.547 | 0.716 | 6.217 | 
| 4_A | 476.1 (HOMO → LUMO) | 2.604 | 1.005 | 0.901 | 3.381 | 
| 5_AH+ | 474.7 (HOMO → LUMO) | 2.612 | 0.203 | 0.373 | 16.637 | 
| 5_A | 480.7 (HOMO → LUMO) | 2.579 | 0.818 | 0.848 | 4.235 | 
| 6_AH+ | 462.4 (HOMO → LUMO) | 2.681 | 0.791 | 0.838 | 4.053 | 
| 6_A | 478.3 (HOMO → LUMO) | 2.592 | 1.067 | 0.914 | 3.214 | 
| Compound | E (eV) | ΔGinject (eV) | VOC (eV) | |||
|---|---|---|---|---|---|---|
| 1_AH+ | 6.562 | 2.571 | 3.991 | −0.009 | 1.762 | 0.240 | 
| 1_A | 5.668 | 2.624 | 3.044 | −0.956 | 0.868 | 1.008 | 
| 2_AH+ | 6.570 | 2.715 | 3.855 | −0.145 | 1.770 | 0.397 | 
| 2_A | 5.405 | 2.572 | 2.833 | −1.167 | 0.605 | 1.197 | 
| 3_AH+ | 6.602 | 2.666 | 3.936 | −0.064 | 1.802 | 0.298 | 
| 3_A | 5.558 | 2.541 | 3.017 | −0.983 | 0.758 | 1.058 | 
| 4_AH+ | 6.600 | 2.603 | 3.997 | −0.003 | 1.800 | 0.327 | 
| 4_A | 5.586 | 2.604 | 2.982 | −1.018 | 0.786 | 1.077 | 
| 5_AH+ | 6.509 | 2.612 | 3.897 | −0.103 | 1.709 | 0.337 | 
| 5_A | 5.463 | 2.579 | 2.884 | −1.116 | 0.663 | 1.157 | 
| 6_AH+ | 6.548 | 2.681 | 3.867 | −0.133 | 1.748 | 0.400 | 
| 6_A | 5.531 | 2.592 | 2.939 | −1.061 | 0.731 | 1.128 | 
| Compound | Dipole Moment Ground State (µg) (Debye)  | Dipole Moment Excited State (µe) (Debye)  | Dipole Moment Change (∆µge) (Debye)  | 
|---|---|---|---|
| 1_AH+ | 6.316 | 6.392 | 0.076 | 
| 1_A | 13.229 | 13.430 | 0.201 | 
| 2_AH+ | 7.130 | 7.191 | 0.062 | 
| 2_A | 15.541 | 15.789 | 0.249 | 
| 3_AH+ | 7.511 | 7.577 | 0.067 | 
| 3_A | 15.271 | 15.472 | 0.205 | 
| 4_AH+ | 7.556 | 7.632 | 0.076 | 
| 4_A | 12.641 | 12.842 | 0.201 | 
| 5_AH+ | 8.591 | 8.694 | 0.103 | 
| 5_A | 17.265 | 17.514 | 0.254 | 
| 6_AH+ | 8.990 | 9.067 | 0.080 | 
| 6_A | 18.401 | 18.647 | 0.247 | 
| Compound | Absorption Wavelength λ (nm)  | Absorption Energy (eV)  | 
|---|---|---|
| 1 | 471 | 2.633 | 
| 2 | 482 | 2.573 | 
| 3 | 490 | 2.531 | 
| 4 | 497 | 2.495 | 
| 5 | 472 | 2.627 | 
| 6 | 480 | 2.583 | 
| Compound | Absorption Wavelength λ (nm) | |||
|---|---|---|---|---|
| AH+ [pH Range] | A [pH Range] | Cc, Ct [pH Range] | Ctn− [pH Range] | |
| 1 | 471 [≤3] | 549 [4–10] | 361, 396 [4–9, 10–11] | 418 [≥12] | 
| 2 | 482 [≤3] | 575 [7–11] | 380, 390 [4–6, 10–11] | 497 [≥12] | 
| 3 | 490 [≤3] | 559 [4–10] | 356, 398 [5–9, 10–11] | 427 [≥11] | 
| 4 | 497 [≤2] | 593 [7–11] | 379, 392 [3–6, 10–11] | 502 [≥12] | 
| 5 | 472 [≤3] | 514 [4–10] | 380, 393 [4–8, 9–10] | 448 [≥11] | 
| 6 | 480 [≤3] | 553 [7–10] | 378, 440 [4–6, 9–10] | 458 [≥11] | 
| Compound | Jsc (mA∙cm−2)  | Voc (mV)  | Jmax (mA∙cm−2)  | Vmax (mV)  | ff | H (%)  | 
|---|---|---|---|---|---|---|
| 1_AH+ | 0.127 | 326 | 0.096 | 193 | 0.449 | 0.052 | 
| 1_A | 0.375 | 488 | 0.276 | 365 | 0.550 | 0.279 | 
| 2_AH+ | 0.184 | 302 | 0.135 | 226 | 0.550 | 0.085 | 
| 2_A | 0.214 | 478 | 0.155 | 348 | 0.529 | 0.150 | 
| 3_AH+ | 0.175 | 339 | 0.049 | 301 | 0.251 | 0.041 | 
| 3_A | 0.093 | 391 | 0.063 | 256 | 0.442 | 0.045 | 
| 4__AH+ | 0.083 | 274 | 0.045 | 176 | 0.350 | 0.022 | 
| 4_A | 0.143 | 352 | 0.094 | 242 | 0.453 | 0.063 | 
| 5_AH+ | 0.121 | 295 | 0.114 | 223 | 0.713 | 0.071 | 
| 5_A | 0.073 | 468 | 0.051 | 324 | 0.483 | 0.046 | 
| 6_AH+ | 0.197 | 295 | 0.164 | 211 | 0.596 | 0.096 | 
| 6_A | 0.104 | 430 | 0.070 | 277 | 0.437 | 0.054 | 
Publisher’s Note: MDPI stays neutral with regard to jurisdictional claims in published maps and institutional affiliations.  | 
© 2022 by the authors. Licensee MDPI, Basel, Switzerland. This article is an open access article distributed under the terms and conditions of the Creative Commons Attribution (CC BY) license (https://creativecommons.org/licenses/by/4.0/).
Share and Cite
Păușescu, I.; Todea, A.; Dreavă, D.-M.; Boboescu, T.; Pațcan, B.; Pațcan, L.; Albulescu, D.; Badea, V.; Peter, F.; Tőtős, R.; et al. Experimental and Computational Studies on Bio-Inspired Flavylium Salts as Sensitizers for Dye-Sensitized Solar Cells. Materials 2022, 15, 6985. https://doi.org/10.3390/ma15196985
Păușescu I, Todea A, Dreavă D-M, Boboescu T, Pațcan B, Pațcan L, Albulescu D, Badea V, Peter F, Tőtős R, et al. Experimental and Computational Studies on Bio-Inspired Flavylium Salts as Sensitizers for Dye-Sensitized Solar Cells. Materials. 2022; 15(19):6985. https://doi.org/10.3390/ma15196985
Chicago/Turabian StylePăușescu, Iulia, Anamaria Todea, Diana-Maria Dreavă, Tania Boboescu, Bianca Pațcan, Larisa Pațcan, Daiana Albulescu, Valentin Badea, Francisc Peter, Róbert Tőtős, and et al. 2022. "Experimental and Computational Studies on Bio-Inspired Flavylium Salts as Sensitizers for Dye-Sensitized Solar Cells" Materials 15, no. 19: 6985. https://doi.org/10.3390/ma15196985
APA StylePăușescu, I., Todea, A., Dreavă, D.-M., Boboescu, T., Pațcan, B., Pațcan, L., Albulescu, D., Badea, V., Peter, F., Tőtős, R., Ursu, D., Szolga, L., & Medeleanu, M. (2022). Experimental and Computational Studies on Bio-Inspired Flavylium Salts as Sensitizers for Dye-Sensitized Solar Cells. Materials, 15(19), 6985. https://doi.org/10.3390/ma15196985
        
