Hybrid Interfacial Transition Zone between Wet—On—Wet Casted Concrete—Microstructure and Mechanical Properties
Abstract
1. Introduction
2. Methods
2.1. Materials
2.2. Sample Preparation
2.3. Testing Methodology
3. Test Results and Discussions
3.1. Fresh Concrete Properties
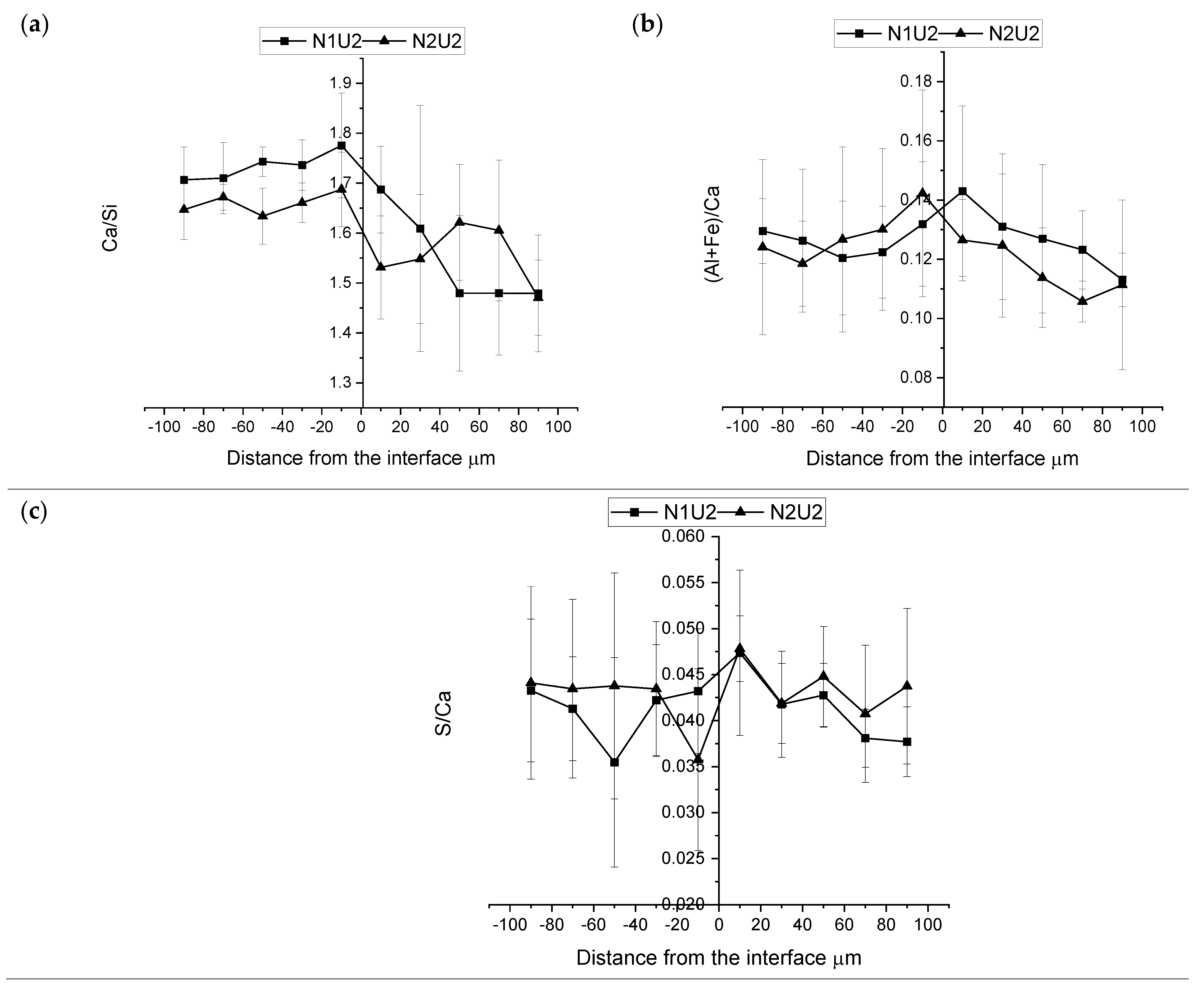
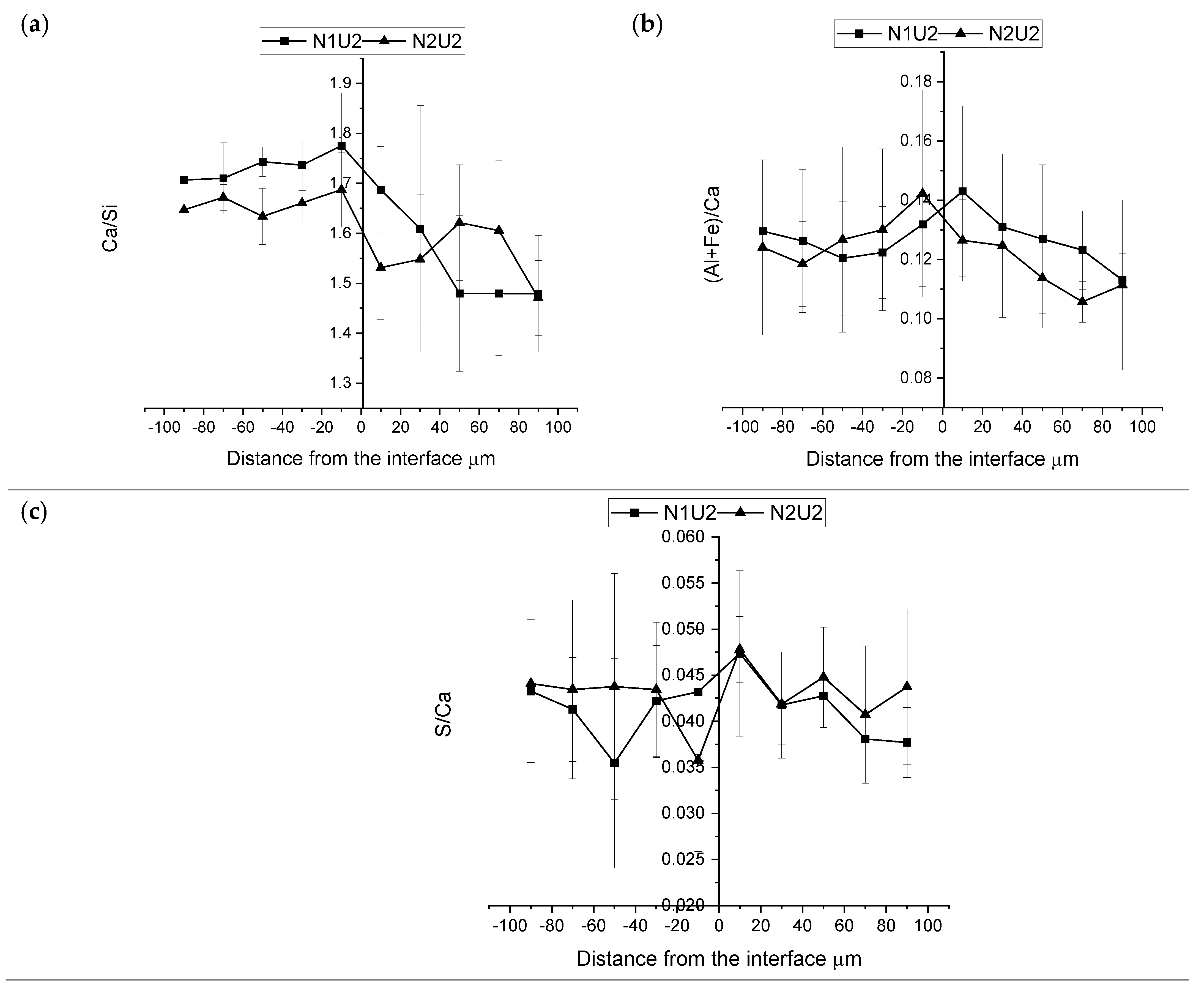
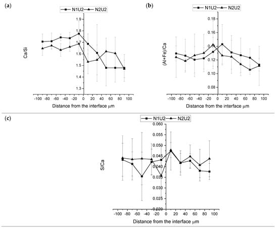
3.2. Microstructure and Phase Composition
3.3. Mechanical Properties
3.4. A Framework of ITZ and Mechanical Properties
4. Conclusions
- ○
- Different workability of combined concretes can result in an uneven interface leading to a lower mechanical strength, especially in the case of horizontally cast layers.
- ○
- The ITZ formed between two different concretes cast as wet-on-wet differed substantially from the regular ITZ known to form around coarse aggregate particles where the porosity in this area shows a gradual variation. According to the porosity variation, the width of this area is approximately 35 µm.
- ○
- The binder matrix microstructure and the phase composition tend to transition gradually within the hybrid ITZ.
- ○
- The observed gradual transition presumably prevented the formation of microcracks due to differential absolute shrinkage values.
- ○
- The very dense, homogenous, crack-free hybrid ITZ led to the development of excellent mechanical properties. Since the C-S-H gel is mainly responsible for stiffness and strength, the interface of the hybrid concrete has a higher bonding property. None of the observed failures occurred in the hybrid ITZ during flexural strength.
Author Contributions
Funding
Conflicts of Interest
References
- World Business Council for Sustainable Development. The Cement Sustainability Initiative: Executive Brief; World Business Council for Sustainable Development: Geneva, Switzerland, 2012; p. 42. [Google Scholar]
- Gartner, E. Industrially interesting approaches to “low-CO2” cements. Cem. Concr. Res. 2004, 34, 1489–1498. [Google Scholar] [CrossRef]
- Wei, J.; Cen, K. Empirical assessing cement CO 2 emissions based on China’s economic and social development during 2001–2030. Sci. Total Environ. 2019, 653, 200–211. [Google Scholar] [CrossRef] [PubMed]
- Kubissa, W.; Jaskulski, R.; Reiterman, P. Ecological concrete based on blast-furnace cement with incorporated coarse recycled concrete aggregate and fly ash addition. J. Renew. Mater. 2017, 5, 53–61. [Google Scholar] [CrossRef]
- Scrivener, K.; Martirena, F.; Bishnoi, S.; Maity, S. Calcined clay limestone cements (LC3). Cem. Concr. Res. 2018, 114, 49–56. [Google Scholar] [CrossRef]
- Jaskulski, R.; Jóźwiak-Niedźwiedzka, D.; Yakymechko, Y. Calcined clay as supplementary cementitious material. Materials 2020, 13, 4734. [Google Scholar] [CrossRef]
- Fehling, E. Ultra-High Performance Concrete UHPC; Wiley: Hoboken, NJ, USA, 2014; ISBN 9783433030004. [Google Scholar]
- Zhang, J.; Zhao, Y.; Li, H. Experimental Investigation and Prediction of Compressive Strength of Ultra-High Performance Concrete Containing Supplementary Cementitious Materials. Adv. Mater. Sci. Eng. 2017, 2017, 4563164. [Google Scholar] [CrossRef]
- Cwirzen, A.; Penttala, V.; Vornanen, C. Reactive powder based concretes: Mechanical properties, durability and hybrid use with OPC. Cem. Concr. Res. 2008, 38, 1217–1226. [Google Scholar] [CrossRef]
- Pratama, M.M.A.; Vertian, T.; Umniati, B.S.; Yoh, W.H. Flexural behaviour of the functionally graded concrete beams using two-layers and three-layers configuration. In Proceedings of the 2nd International Conference on Green Civil and Environmental Engineering, Malang, Indonesia, 4–6 September 2019; IOP Publishing: Bristol, UK, 2019; Volume 669, p. 012054. [Google Scholar] [CrossRef]
- Brühwiler, E.; Denarié, E. Rehabilitation of concrete structures using ultra-high performance fibre reinforced concrete. In Proceedings of the Second International Symposium on Ultra High Performance Concrete, Kassel, Germany, 5–7 March 2008; pp. 895–902. [Google Scholar]
- Almansour, H.; Lounis, Z. Structural Performance of Precast Prestressed Bridge Girders Built with Ultra High Performance Concrete. In Proceedings of the Second International Symposium on UHPC, Albany, NY, USA, 2–5 June 2008; pp. 823–830. [Google Scholar]
- Torelli, G.; Fernández, M.G.; Lees, J.M. Functionally graded concrete: Design objectives, production techniques and analysis methods for layered and continuously graded elements. Constr. Build. Mater. 2020, 242, 118040. [Google Scholar] [CrossRef]
- Gadri, K.; Guettala, A. Evaluation of bond strength between sand concrete as new repair material and ordinary concrete substrate (The surface roughness effect). Constr. Build. Mater. 2017, 157, 1133–1144. [Google Scholar] [CrossRef]
- Courard, L.; Piotrowski, T.; Garbacz, A. Near-to-surface properties affecting bond strength in concrete repair. Cem. Concr. Compos. 2014, 46, 73–80. [Google Scholar] [CrossRef]
- Liu, J.; Chen, Z.; Guan, D.; Lin, Z.; Guo, Z. Experimental study on interfacial shear behaviour between ultra-high performance concrete and normal strength concrete in precast composite members. Constr. Build. Mater. 2020, 261, 120008. [Google Scholar] [CrossRef]
- Zhang, Y.; Zhu, P.; Liao, Z.; Wang, L. Interfacial bond properties between normal strength concrete substrate and ultra-high performance concrete as a repair material. Constr. Build. Mater. 2020, 235, 117431. [Google Scholar] [CrossRef]
- Varga, I.D.; Muñoz, J.F.; Bentz, D.P.; Spragg, R.P.; Stutzman, P.E.; Graybeal, B.A. Grout-concrete interface bond performance: Effect of interface moisture on the tensile bond strength and grout microstructure. Constr. Build. Mater. 2018, 170, 747–756. [Google Scholar] [CrossRef] [PubMed]
- Kothari, A.; Rajczakowska, M.; Buasiri, T.; Habermehl-cwirzen, K. Eco-UHPC as Repair Material—Bond Strength, Interfacial Transition Zone and E ff ects of Formwork Type. Materials 2020, 13, 5778. [Google Scholar] [CrossRef] [PubMed]
- Tayeh, B.A.; Bakar, B.H.A.; Johari, M.A.M. Characterization of the interfacial bond between old concrete substrate and ultra high performance fiber concrete repair composite. Mater. Struct. 2013, 46, 743–753. [Google Scholar] [CrossRef]
- Tanarslan, H.M. Flexural strengthening of RC beams with prefabricated ultra high performance fibre reinforced concrete laminates. Eng. Struct. 2017, 151, 337–348. [Google Scholar] [CrossRef]
- Roesler, J.; Paulino, G.; Gaedicke, C.; Bordelon, A.; Park, K. Fracture behavior of functionally graded concrete materials for rigid pavements. Transp. Res. Rec. 2007, 2037, 40–49. [Google Scholar] [CrossRef]
- Rydval, M.; Čítek, D.; Kolísko, J.; Nenadálová, Š.; Bittner, T. Functionally layered thin slabs made from UHPC and ECC composites. Solid State Phenom. 2017, 259 SSP, 90–96. [Google Scholar] [CrossRef]
- Yalçınkaya, Ç. A preliminary study on the development of the normal concrete-UHPC composite beam via wet casting. J. Struct. Eng. Appl. Mech. 2021, 4, 46–56. [Google Scholar] [CrossRef]
- Hussein, L.; Amleh, L. Structural behavior of ultra-high performance fiber reinforced concrete-normal strength concrete or high strength concrete composite members. Constr. Build. Mater. 2015, 93, 1105–1116. [Google Scholar] [CrossRef]
- Hussein, L.; Amleh, L.; Siad, H.; Lachemi, M. Effect of very severe sulfate environment on bonded composite concrete system. Constr. Build. Mater. 2018, 191, 752–763. [Google Scholar] [CrossRef]
- Hussein, L.; Amleh, L.; Amleh, L.; Siad, H.; Lachemi, M. Effect of severe chloride environment on the flexural behaviour of hybrid concrete systems. Mag. Concr. Res. 2020, 72, 757–767. [Google Scholar] [CrossRef]
- Chu, S.H. Effect of paste volume on fresh and hardened properties of concrete. Constr. Build. Mater. 2019, 218, 284–294. [Google Scholar] [CrossRef]
- Abbas, S.; Nehdi, M.L.; Saleem, M.A. Ultra-High Performance Concrete: Mechanical Performance, Durability, Sustainability and Implementation Challenges. Int. J. Concr. Struct. Mater. 2016, 10, 271–295. [Google Scholar] [CrossRef]
- ICS. Svensk Standard SS-EN 12350-8:2019; Testing Fresh Concrete—Part 8: Self-Compacting Concrete–Slump-Flow Test. Swedish Standards Institute: Stockholm, Sweden, 2021.
- Cwirzen, A.; Penttala, V. Aggregate-cement paste transition zone properties affecting the salt-frost damage of high-performance concretes. Cem. Concr. Res. 2005, 35, 671–679. [Google Scholar] [CrossRef]
- Rossen, J.E.; Lothenbach, B.; Scrivener, K.L. Composition of C-S-H in pastes with increasing levels of silica fume addition. Cem. Concr. Res. 2015, 75, 14–22. [Google Scholar] [CrossRef]
- Scrivener, K.L. Backscattered electron imaging of cementitious microstructures: Understanding and quantification. Cem. Concr. Compos. 2004, 26, 935–945. [Google Scholar] [CrossRef]
- Diamond, S.; Huang, J. The ITZ in concrete—A different view based on image analysis and SEM observations. Cem. Concr. Compos. 2001, 23, 179–188. [Google Scholar] [CrossRef]
- ICS. Svensk Standard SS-EN 12390-3:2019; Testing Hardened Concrete– Part 3: Compressive Strength of Test Specimens. Swedish Standards Institute: Stockholm, Sweden, 2020.
- ICS. Svensk Standard SS-EN 12390-5:2019; Testing Hardened Concrete Flexural Strength of Test Specimens. Swedish Standards Institute: Stockholm, Sweden, 2020.
- Bonen, D.; Shah, S.P. Fresh and hardened properties of self-consolidating concrete. Prog. Struct. Eng. Mater. 2005, 7, 14–26. [Google Scholar] [CrossRef]
- Martinie, L.; Rossi, P.; Roussel, N. Rheology of fiber reinforced cementitious materials: Classification and prediction. Cem. Concr. Res. 2010, 40, 226–234. [Google Scholar] [CrossRef]
- Brault, A.; Lees, J.M. Wet casting of multiple mix horizontally layered concrete elements. Constr. Build. Mater. 2020, 247, 118514. [Google Scholar] [CrossRef]
- Torelli, G.; Lees, J.M. Fresh state stability of vertical layers of concrete. Cem. Concr. Res. 2019, 120, 227–243. [Google Scholar] [CrossRef]
- Zhang, Y.; Zhu, Y.; Yeseta, M.; Meng, D.; Shao, X.; Dang, Q.; Chen, G. Flexural behaviors and capacity prediction on damaged reinforcement concrete (RC) bridge deck strengthened by ultra-high performance concrete (UHPC) layer. Constr. Build. Mater. 2019, 215, 347–359. [Google Scholar] [CrossRef]
- Zhu, Y.; Zhang, Y.; Hussein, H.H.; Chen, G. Flexural strengthening of reinforced concrete beams or slabs using ultra-high performance concrete (UHPC): A state of the art review. Eng. Struct. 2020, 205, 110035. [Google Scholar] [CrossRef]
- Maalej, M.; Ahmed, S.F.U.; Paramasivam, P. Corrosion durability and structural response of functionally-graded concrete beams. J. Adv. Concr. Technol. 2003, 1, 307–316. [Google Scholar] [CrossRef]
- Maalej, M.; Li, V.C. Introduction of Strain-Hardening Engineered Cementitious Composites in Design of Reinforced Concrete Flexural Members for Improved Durability. ACI Struct. J. 1995, 92, 167–176. [Google Scholar] [CrossRef]
- Cwirzen, A. Effects of the Transition Zone and Ageing on the Frost Damage of High Strength Concretes; Helsinki University of Technology: Espoo, Finland, 2004. [Google Scholar]
- Hu, X.; Shi, Z.; Shi, C.; Wu, Z.; Tong, B.; Ou, Z.; de Schutter, G. Drying shrinkage and cracking resistance of concrete made with ternary cementitious components. Constr. Build. Mater. 2017, 149, 406–415. [Google Scholar] [CrossRef]
- Mizuno, H.; Iyoda, T. Shrinkage characteristics of ground granulated blast furnace slag high content cement. In Proceedings of the Life-Cycle Analysis and Assessment in Civil Engineering: Towards an Integrated Vision. In Proceedings of the 6th International Symposium on Life-Cycle Civil Engineering, IALCCE, Lake Como, Italy, 11–14 June 2018. [Google Scholar]
- Yuan, J.; Lindquist, W.; Darwin, D.; Browning, J.A. Effect of slag cement on drying shrinkage of concrete. ACI Mater. J. 2015, 112, 267–276. [Google Scholar] [CrossRef]
- Berodier, E.; Scrivener, K. Evolution of pore structure in blended systems. Cem. Concr. Res. 2015, 73, 25–35. [Google Scholar] [CrossRef]
- Herrmann, M.; Sobek, W. Functionally graded concrete: Numerical design methods and experimental tests of mass-optimized structural components. Struct. Concr. 2017, 18, 54–66. [Google Scholar] [CrossRef]
- Scheydt, J.; Müller, H. Microstructure of ultra high performance concrete (UHPC) and its impact on durability. In Proceedings of the 3rd International Symposium on on Ultra High Performance Concrete, Kassel, Germany, 7–9 March 2012. [Google Scholar]
- Liu, S.; He, Z.; Hu, L. Interfacial microstructure between ultrahigh-performance concrete–normal concrete in fresh-on-fresh casting. Constr. Build. Mater. 2022, 322, 126476. [Google Scholar] [CrossRef]
- Bentur, A.; Cohen, M.D. Effect of Condensed Silica Fume on the Microstructure of the Interfacial Zone in Portland Cement Mortars. J. Am. Ceram. Soc. 1987, 70, 738–743. [Google Scholar] [CrossRef]
- Vivekanandam, K.; Patnaikuni, I. Transition zone in high performance concrete during hydration. Cem. Concr. Res. 1997, 27, 817–823. [Google Scholar] [CrossRef]
- Bougara, A.; Lynsdale, C.; Milestone, N.B. The influence of slag properties, mix parameters and curing temperature on hydration and strength development of slag/cement blends. Constr. Build. Mater. 2018, 187, 339–347. [Google Scholar] [CrossRef]
- Escalante-García, J.I.; Sharp, J.H. Effect of temperature on the hydration of the main clinker phasesin Portland cements: Part II, blended cements. Cem. Concr. Res. 1998, 28, 1259–1274. [Google Scholar] [CrossRef]
- Kocaba, V. Development and Evaluation of Methods to Follow Microstructural Development of Cementitious Systems Including Slags; EPFL: Lausanne, Switzerland, 2009. [Google Scholar]
- Luke, K.; Glasser, F.P. Internal chemical evolution of the constitution of blended cements. Cem. Concr. Res. 1988, 18, 495–502. [Google Scholar] [CrossRef]
- Richardson, I.G.; Groves, G.W. Microstructure and microanalysis of hardened cement pastes involving ground granulated blast-furnace slag. J. Mater. Sci. 1992, 27, 6204–6212. [Google Scholar] [CrossRef]
- Wang, K.S.; Lin, K.L.; Tzeng, B.Y. Latent Hydraulic Reactivity of Blended Cement Incorporating Slag Made from Municipal Solid Waste Incinerator Fly Ash. J. Air Waste Manag. Assoc. 2003, 53, 1340–1346. [Google Scholar] [CrossRef][Green Version]
- Ghasemzadeh Mosavinejad, S.H.; Langaroudi, M.A.M.; Barandoust, J.; Ghanizadeh, A. Electrical and microstructural analysis of UHPC containing short PVA fibers. Constr. Build. Mater. 2020, 235, 117448. [Google Scholar] [CrossRef]
- Cwirzen, A. Effects of increased aggregate size on the mechanical and rheological properties of RPC. In Proceedings of the Second International Symposium on Advances in Concrete through Science and Engineering, Quebec, QC, Canada, 11–13 September 2006. [Google Scholar] [CrossRef]
- Cwirzen, A. The effect of the heat-treatment regime on the properties of reactive powder concrete. Adv. Cem. Res. 2007. [Google Scholar] [CrossRef]
- Yun, C.M.; Rahman, M.R.; Phing, C.Y.W.; Chie, A.W.M.; Bakri, M.K. Bin The curing times effect on the strength of ground granulated blast furnace slag (GGBFS) mortar. Constr. Build. Mater. 2020, 260, 120622. [Google Scholar] [CrossRef]
- Desta, E.; Jun, Z. A Review on Ground Granulated Blast Slag GGBS in Concrete. In Proceedings of the Eighth International Conference on Advances in Civil and Structural Engineering, CSE, Kuala Lumpur, Malaysia, 3–4 February 2018. [Google Scholar]
- Samad, S.; Shah, A. Role of binary cement including Supplementary Cementitious Material (SCM), in production of environmentally sustainable concrete: A critical review. Int. J. Sustain. Built Environ. 2017, 6, 663–674. [Google Scholar] [CrossRef]
- Suresh, K.N.D. Ground Granulated Blast Slag (GGBS) In Concrete—A Review. In Proceedings of the Eighth International Conference On Advances in Civil and Structural Engineering, Christchurch, New Zealand, 3–5 February 2020; Volume 2. [Google Scholar]
- Ranjan, P.; Iyer, N.R. Influence of curing regimes on compressive strength of ultra high performance concrete. Sadhana 2013, 38, 1421–1431. [Google Scholar]
- Meng, W.; Khayat, K.H. Effect of Hybrid Fibers on Fresh Properties, Mechanical Properties, and Autogenous Shrinkage of Cost-Effective UHPC. J. Mater. Civ. Eng. 2018, 30, 04018030. [Google Scholar] [CrossRef]
- Yang, J.; Chen, B.; Su, J.; Xu, G.; Zhang, D.; Zhou, J. Effects of fibers on the mechanical properties of UHPC: A review. J. Traffic Transp. Eng. 2022, 9, 363–387. [Google Scholar] [CrossRef]
- Yazici, H.; Yardimci, M.Y.; Yiǧiter, H.; Aydin, S.; Türkel, S. Mechanical properties of reactive powder concrete containing high volumes of ground granulated blast furnace slag. Cem. Concr. Compos. 2010, 32, 639–648. [Google Scholar] [CrossRef]
- Teng, S.; Lim, T.Y.D.; Sabet Divsholi, B. Durability and mechanical properties of high strength concrete incorporating ultra fine Ground Granulated Blast-furnace Slag. Constr. Build. Mater. 2013, 40, 875–881. [Google Scholar] [CrossRef]
- Chatterji, S. Transportation of ions through cement based materials. Part 1 fundamental equations and basic measurement techniques. Cem. Concr. Res. 1994, 24, 907–912. [Google Scholar] [CrossRef]















| CaO | SiO2 | Al2O3 | Fe2O3 | MgO | Na2O | K2O | SO3 | Cl | LOI | |
|---|---|---|---|---|---|---|---|---|---|---|
| Cement I 42.5 N | 63.30 | 21.20 | 3.40 | 4.12 | 2.20 | 0.18 | 0.56 | 2.70 | <0.01 | 2.50 |
| BFS | 30.3 | 34 | 11.6 | 0.291 | 12.1 | 0.531 | 0.811 | - | - | −0.9 |
| Silica fume | 1 | ≥85 | 1 | 1 | 1 | 0.5 | 1.2 | 2 | 0.3 | 4 |
| Quartz | 99.6 | - | 0.25 | 0.02 | - | - | - | - | - | 0.15 |
| Sand (B15, B35) | - | 90.5 | 4.9 | 0.5 | - | 1.2 | 2 | - | - | - |
| Ingredient (kg/m3) | NSC (N1) | NSC (N2) | BFSC (C2) | UHPC (U1) | UHPFRC (U2) |
|---|---|---|---|---|---|
| Cement (Cem I 42.5N) | 400 | 360 | 200 | 680 | 664 |
| BFS | 200 | ||||
| Silica Fume 920D | 136 | 132.8 | |||
| Limestone filler | 680 | 664 | |||
| Quartz filler | 92 | 68 | 66.4 | ||
| Sand–B15 | 358 | 337 | 92 | 238 | 232.4 |
| Sand–B35 | 238 | 232.4 | |||
| Aggregate 0–4 | 1254 | 1179 | 1106 | ||
| Aggregate 4–8 | 179 | 168 | 553 | ||
| Steel fibers 7 mm | 66.4 | ||||
| Steel fibers 13 mm | 99.6 | ||||
| PCE-superplasticizer | 3 | 0.9 | 3 | 34 | 33.2 |
| Air (%) | 2 | 2 | 2 | 4 | 4 |
| w/c | 0.45 | 0.65 | 0.4 | 0.3 | 0.3 |
| Inner Layer → | NSC (N1) (w/c = 0.45) | NSC (N2) (w/c = 0.65) | BFSC (C2) (w/c = 0.4) |
|---|---|---|---|
| Outer layer ↓ | |||
| NSC (N1) (w/c = 0.45) | N1C2 | ||
| UHPC (U1) (w/c = 0.3) | U1N1 | U1N2 | U1C2 |
| UHPFRC (U2) (w/c = 0.3) | U2N1 | U2N2 |
| NSC (N1) (w/c = 0.45) | NSC (N2) (w/c = 0.65) | BFSC (C2) (w/c = 0.4) | UHPC (w/c = 0.3) | UHPFRC (w/c = 0.3) | |
|---|---|---|---|---|---|
| Slump (mm) | 30 (S) | 25 (S) | 380 (SF) | 720 (SF) | 620 (SF) |
Publisher’s Note: MDPI stays neutral with regard to jurisdictional claims in published maps and institutional affiliations. |
© 2022 by the authors. Licensee MDPI, Basel, Switzerland. This article is an open access article distributed under the terms and conditions of the Creative Commons Attribution (CC BY) license (https://creativecommons.org/licenses/by/4.0/).
Share and Cite
Telhaj, K.; Hedlund, H.; Cwirzen, A. Hybrid Interfacial Transition Zone between Wet—On—Wet Casted Concrete—Microstructure and Mechanical Properties. Materials 2022, 15, 6511. https://doi.org/10.3390/ma15196511
Telhaj K, Hedlund H, Cwirzen A. Hybrid Interfacial Transition Zone between Wet—On—Wet Casted Concrete—Microstructure and Mechanical Properties. Materials. 2022; 15(19):6511. https://doi.org/10.3390/ma15196511
Chicago/Turabian StyleTelhaj, Klaudja, Hans Hedlund, and Andrzej Cwirzen. 2022. "Hybrid Interfacial Transition Zone between Wet—On—Wet Casted Concrete—Microstructure and Mechanical Properties" Materials 15, no. 19: 6511. https://doi.org/10.3390/ma15196511
APA StyleTelhaj, K., Hedlund, H., & Cwirzen, A. (2022). Hybrid Interfacial Transition Zone between Wet—On—Wet Casted Concrete—Microstructure and Mechanical Properties. Materials, 15(19), 6511. https://doi.org/10.3390/ma15196511

