Refined Lord–Shulman Theory for 1D Response of Skin Tissue under Ramp-Type Heat
Abstract
:1. Introduction
2. Governing Equations
3. Mathematical Solution to the Problem
4. Laplace Transform Domain and Its Inversion
5. Numerical Results
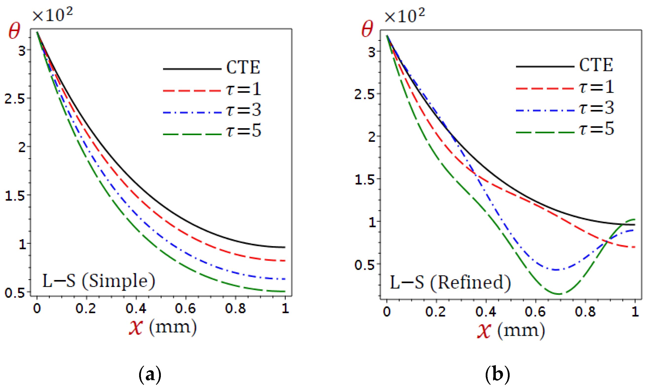
5.1. Refined, Simple, and Classical Models
5.2. The Impact of Ramp-Type Heating
5.3. The Impact of the Thermal Relaxation Time
6. Conclusions
Author Contributions
Funding
Institutional Review Board Statement
Informed Consent Statement
Data Availability Statement
Conflicts of Interest
References
- Singh, S.; Melnik, R. Thermal ablation of biological tissues in disease treatment: A review of computational models and future directions. Electromagn. Biol. Med. 2020, 39, 49–88. [Google Scholar] [CrossRef] [PubMed]
- Andreozzi, A.; Brunese, L.; Iasiello, M.; Tucci, C.; Vanoli, G.P. Modeling heat transfer in tumors: A review of thermal therapies. Ann. Biomed. Eng. 2019, 47, 676–693. [Google Scholar] [CrossRef] [PubMed]
- Fan, Z.; Zhai, X.; Zhou, L.; Xu, F.; Lu, T. Thermal Shock Resistance of Skin Tissue. J. Med. Syst. 2011, 35, 863–867. [Google Scholar] [CrossRef] [PubMed]
- Khiavi, N.M.; Maerefat, M.; Zolfaghari, S.A. A new local thermal bioheat model for predicting the temperature of skin thermoreceptors of individual body tissues. J. Therm. Biol. 2018, 74, 290–302. [Google Scholar] [CrossRef]
- Li, X.; Qin, Q.H.; Tian, X. Thermomechanical response of porous biological tissue based on local thermal non-equilibrium. J. Therm. Stress. 2019, 42, 1481–1498. [Google Scholar] [CrossRef]
- Sur, A.; Mondal, S.; Kanoria, M. Influence of moving heat source on skin tissue in the context of two-temperature memory-dependent heat transport law. J. Therm. Stress. 2020, 43, 55–71. [Google Scholar] [CrossRef]
- Li, C.Y.; Lin, S.M.; Wan, Y.Y. Prediction of temperature field and thermal damage of multilayer skin tissues subjected to time-varying laser heating and fluid cooling by a semianalytical method. Math. Probl. Eng. 2020, 2020, 5074280. [Google Scholar] [CrossRef]
- Etehadtavakol, M.; Ng, E.Y.K. Survey of numerical bioheat transfer modelling for accurate skin surface measurements. Therm. Sci. Eng. Prog. 2020, 20, 100681. [Google Scholar] [CrossRef]
- Zhang, L.; Shang, X. An integral transform solution for bioheat transfer in skin tissue subjected to surface laser irradiation. Int. J. Heat Mass Transf. 2021, 180, 121706. [Google Scholar] [CrossRef]
- Abdalla, A.; Abbas, I.; Sapoor, H. The numerical estimation of temperature in living tissue with energy dissipation using nonlinear bioheat model. Indian J. Phys. 2022. [Google Scholar] [CrossRef]
- Kumar, P.; Rai, K.N. Fractional modeling of hyperbolic bioheat transfer equation during thermal therapy. J. Mech. Med. Biol. 2017, 17, 1750058. [Google Scholar] [CrossRef]
- Ezzat, M.A. Fractional thermo-viscoelastic response of biological tissue with variable thermal material properties. J. Therm. Stress. 2020, 43, 1120–1137. [Google Scholar] [CrossRef]
- Hobiny, A.; Alzahrani, F.; Abbas, I.; Marin, M. The Effect of Fractional Time Derivative of Bioheat Model in Skin Tissue Induced to Laser Irradiation. Symmetry 2020, 12, 602. [Google Scholar] [CrossRef]
- Zhang, Q.; Sun, Y.; Yang, J. Bio-heat transfer analysis based on fractional derivative and memory-dependent derivative heat conduction models. Case Stud. Therm. Eng. 2021, 27, 101211. [Google Scholar] [CrossRef]
- Wang, X.; Qi, H.; Yang, X.; Xu, H. Analysis of the time-space fractional bioheat transfer equation for biological tissues during laser irradiation. Int. J. Heat Mass Transf. 2021, 177, 121555. [Google Scholar] [CrossRef]
- Kumar, D.; Rai, K.N. A study on thermal damage during hyperthermia treatment based on DPL model for multilayer tissues using finite element Legendre wavelet Galerkin approach. J. Therm. Biol. 2016, 62, 170–180. [Google Scholar] [CrossRef] [PubMed]
- Kumar, D.; Kumar, P.; Rai, K.N. Numerical solution of non-linear dual-phase-lag bioheat transfer equation within skin tissues. Math. Biosci. 2017, 293, 56–63. [Google Scholar] [CrossRef]
- Sahoo, N.; Narasimhan, A.; Dhar, P.; Das, S.K. Non-Fourier thermal transport induced structural hierarchy and damage to collagen ultrastructure subjected to laser irradiation. Int. J. Hyperth. 2018, 34, 229–242. [Google Scholar] [CrossRef]
- Li, X.; Li, C.; Xue, Z.; Tian, X. Investigation of transient thermo-mechanical responses on the triple-layered skin tissue with temperature dependent blood perfusion rate. Int. J. Therm. Sci. 2019, 139, 339–349. [Google Scholar] [CrossRef]
- Kumar, R.; Vashishth, A.K.; Ghangas, S. Phase-lag effects in skin tissue during transient heating. Int. J. Appl. Mech. Eng. 2019, 24, 603–623. [Google Scholar] [CrossRef] [Green Version]
- Sharma, S.K.; Kumar, D. A study on non-linear DPL model for describing heat transfer in skin tissue during hyperthermia treatment. Entropy 2020, 22, 481. [Google Scholar] [CrossRef] [PubMed]
- Kumar, R.; Vashishth, A.K.; Ghangas, S. Nonlocal heat conduction approach in a bi-layer tissue during magnetic fluid hyperthermia with dual phase lag model. Bio-Med. Mater. Eng. 2019, 30, 387–402. [Google Scholar] [CrossRef] [PubMed]
- Li, X.; Luo, P.; Qin, Q.-H.; Tian, X. The phase change thermoelastic analysis of biological tissue with variable thermal properties during cryosurgery. J. Therm. Stress. 2020, 43, 998–1016. [Google Scholar] [CrossRef]
- Hobiny, A.D.; Abbas, I.A. Nonlinear analysis of dual-phase lag bio-heat model in living tissues induced by laser irradiation. J. Therm. Stress. 2020, 43, 503–511. [Google Scholar] [CrossRef]
- Youssef, H.M.; Alghamdi, N.A. Characterization of thermal damage due to two-temperature high-order thermal lagging in a three-dimensional biological tissue subjected to a rectangular laser pulse. Polymers 2020, 12, 922. [Google Scholar] [CrossRef]
- Youssef, H.M.; Alghamdi, N.A. The exact analytical solution of the dual-phase-lag two-temperature bioheat transfer of a skin tissue subjected to constant heat flux. Sci. Rep. 2020, 10, 15946. [Google Scholar] [CrossRef]
- Zhang, Q.; Sun, Y.; Yang, J. Bio-heat response of skin tissue based on three-phase-lag model. Sci. Rep. 2020, 10, 16421. [Google Scholar] [CrossRef]
- Chaudhary, R.K.; Rai, K.N.; Singh, J. A study for multi-layer skin burn injuries based on DPL bioheat model. J. Therm. Anal. Calorim. 2021, 146, 1171–1189. [Google Scholar] [CrossRef]
- Ma, J.; Yang, X.; Sun, Y.; Yang, J. Theoretical analysis on thermal treatment of skin with repetitive pulses. Sci. Rep. 2021, 11, 9958. [Google Scholar] [CrossRef]
- Zhang, Q.; Sun, Y.; Yang, J. Thermoelastic responses of biological tissue under thermal shock based on three phase lag model. Case Stud. Therm. Eng. 2021, 28, 101376. [Google Scholar] [CrossRef]
- Majchrzak, E.; Stryczyński, M. Dual-phase lag model of heat transfer between blood vessel and biological tissue. MBE 2021, 18, 1573–1589. [Google Scholar] [CrossRef] [PubMed]
- Zhang, Q.; Sun, Y.; Yang, J. Thermoelastic behavior of skin tissue induced by laser irradiation based on the generalized dual-phase lag model. J. Therm. Biol. 2021, 100, 103038. [Google Scholar] [CrossRef] [PubMed]
- Ghasemi, M.H.; Hoseinzadeh, S.; Memon, S.A. dual-phase-lag (DPL) transient non-Fourier heat transfer analysis of functional graded cylindrical material under axial heat flux. Int. Commun. Heat Mass Transf. 2022, 131, 105858. [Google Scholar] [CrossRef]
- Ezzat, M.A.; Alabdulhadi, M.H. Thermomechanical interactions in viscoelastic skin tissue under different theories. Indian J. Phys. 2022, in press. [Google Scholar] [CrossRef]
- Ciesielski, M.; Mochnacki, B. Hyperbolic model of thermal interactions in a system biological tissue—protective clothing subjected to an external heat source. Numer. Heat Transf. Part A 2018, 74, 1685–1700. [Google Scholar] [CrossRef]
- Ciesielski, M.; Mochnacki, B. Thermo-vibrational analyses of skin tissue subjected to laser heating source in thermal therapy. Sci. Rep. 2021, 11, 22633. [Google Scholar]
- Zenkour, A.M. Refined two-temperature multi-phase-lags theory for thermomechanical response of microbeams using the modified couple stress analysis. Acta Mech. 2018, 229, 3671–3692. [Google Scholar] [CrossRef]
- Zenkour, A.M. Modified couple stress theory for micro-machined beam resonators with linearly varying thickness and various boundary conditions. Arch. Mech. Eng. 2018, 65, 43–64. [Google Scholar]
- Zenkour, A.M. Refined microtemperatures multi-phase-lags theory for plane wave propagation in thermoelastic medium. Results Phys. 2018, 11, 929–937. [Google Scholar] [CrossRef]
- Zenkour, A.M. Refined multi-phase-lags theory for photothermal waves of a gravitated semiconducting half-space. Compos. Struct. 2019, 212, 346–364. [Google Scholar] [CrossRef]
- Zenkour, A.M. Exact coupled solution for photothermal semiconducting beams using a refined multi-phase-lag theory. Opt. Laser Technol. 2020, 128, 106233. [Google Scholar] [CrossRef]
- Zenkour, A.M. Thermal-shock problem for a hollow cylinder via a multi-dual-phase-lag theory. J. Therm. Stress. 2020, 43, 687–706. [Google Scholar] [CrossRef]
- Sobhy, M.; Zenkour, A.M. Modified three-phase-lag Green–Naghdi models for thermomechanical waves in an axisymmetric annular disk. J. Therm. Stress. 2020, 43, 1017–1029. [Google Scholar] [CrossRef]
- Lord, H.W.; Shulman, Y. A generalized dynamical theory of thermoelasticity. J. Mech. Phys. Solids 1967, 15, 299–309. [Google Scholar] [CrossRef]
- Zenkour, A.M. On generalized three-phase-lag models in photo-thermoelasticity. Int. J. Appl. Mech. 2022, 14, 2250005. [Google Scholar] [CrossRef]
- Kutbi, M.A.; Zenkour, A.M. Refined dual-phase-lag Green–Naghdi models for thermoelastic diffusion in an infinite medium. Waves Random Complex Media 2022, 32, 947–967. [Google Scholar] [CrossRef]
- Zenkour, A.M. Wave propagation of a gravitated piezo-thermoelastic half-space via a refined multi-phase-lags theory. Mech. Adv. Mater. Struct. 2020, 27, 1923–1934. [Google Scholar] [CrossRef]
- Zenkour, A.M.; El-Mekawy, H.F. On a multi-phase-lag model of coupled thermoelasticity. Int. Commun. Heat Mass Transf. 2020, 116, 104722. [Google Scholar] [CrossRef]
- Honig, G.; Hirdes, U. A method for the numerical inversion of the Laplace transform. J. Comput. Appl. Math. 1984, 10, 113–132. [Google Scholar] [CrossRef]
- Tzou, D.Y. Experimental support for the Lagging behavior in heat propagation. J. Thermophys. Heat Transf. 1995, 9, 686–693. [Google Scholar] [CrossRef]












Publisher’s Note: MDPI stays neutral with regard to jurisdictional claims in published maps and institutional affiliations. |
© 2022 by the authors. Licensee MDPI, Basel, Switzerland. This article is an open access article distributed under the terms and conditions of the Creative Commons Attribution (CC BY) license (https://creativecommons.org/licenses/by/4.0/).
Share and Cite
Sobhy, M.; Zenkour, A.M. Refined Lord–Shulman Theory for 1D Response of Skin Tissue under Ramp-Type Heat. Materials 2022, 15, 6292. https://doi.org/10.3390/ma15186292
Sobhy M, Zenkour AM. Refined Lord–Shulman Theory for 1D Response of Skin Tissue under Ramp-Type Heat. Materials. 2022; 15(18):6292. https://doi.org/10.3390/ma15186292
Chicago/Turabian StyleSobhy, Mohammed, and Ashraf M. Zenkour. 2022. "Refined Lord–Shulman Theory for 1D Response of Skin Tissue under Ramp-Type Heat" Materials 15, no. 18: 6292. https://doi.org/10.3390/ma15186292
APA StyleSobhy, M., & Zenkour, A. M. (2022). Refined Lord–Shulman Theory for 1D Response of Skin Tissue under Ramp-Type Heat. Materials, 15(18), 6292. https://doi.org/10.3390/ma15186292

