Electronic and Optical Properties of BP, InSe Monolayer and BP/InSe Heterojunction with Promising Photoelectronic Performance
Abstract
:1. Introduction
2. Methods
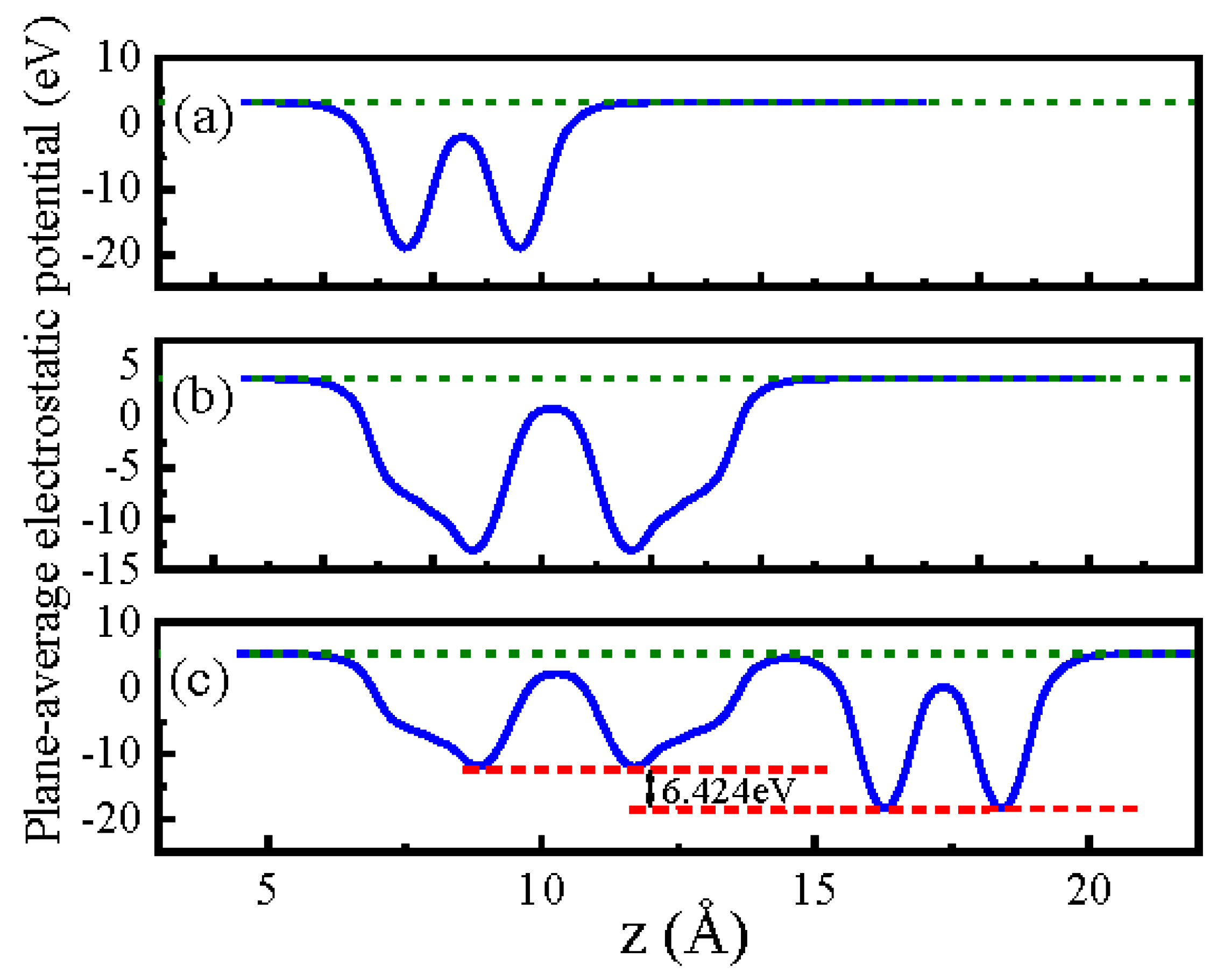
3. Results and Discussions
4. Conclusions
Author Contributions
Funding
Institutional Review Board Statement
Informed Consent Statement
Data Availability Statement
Conflicts of Interest
References
- Novoselov, K.S.; Geim, A.K.; Morozov, S.V.; Jiang, D.; Zhang, Y.; Dubonos, S.V.; Grigorieva, I.V.; Firsov, A.A. Electric field effect in atomically thin carbon films. Science 2004, 306, 666–669. [Google Scholar] [CrossRef] [PubMed]
- Geim, A.K.; Novoselov, K.S. The rise of graphene. Nat. Mater 2007, 6, 183–191. [Google Scholar] [CrossRef]
- Gu, D.; Tao, X.; Chen, H.; Ouyang, Y.; Zhu, W.; Du, Y. Two-dimensional polarized MoTe2/GeS heterojunction with an intrinsic electric field for photocatalytic water-splitting. RSC Adv. 2021, 11, 34048–34058. [Google Scholar] [CrossRef]
- Opoku, F.; Oppong, S.O.-B.; Asare-Donkor, N.K.; Akoto, O.; Adimado, A.A. Enhancing the photocatalytic hydrogen generation performance and strain regulation of the vertical GeI2/C2N van der Waals heterostructure: Insights from first-principles study. Energy Adv. 2022, 1, 146–158. [Google Scholar] [CrossRef]
- Huang, X.; Yan, L.; Zhou, Y.; Wang, Y.; Song, H.-Z.; Zhou, L. Group 11 Transition-Metal Halide Monolayers: High Promises for Photocatalysis and Quantum Cutting. J. Phys. Chem. Lett. 2021, 12, 525–531. [Google Scholar] [CrossRef]
- Huang, X.; Zhuo, Z.; Yan, L.; Wang, Y.; Xu, N.; Song, H.-Z.; Zhou, L. Single-Layer Zirconium Dihalides ZrX2 (X = Cl, Br, and I) with Abnormal Ferroelastic Behavior and Strong Anisotropic Light Absorption Ability. J. Phys. Chem. Lett. 2021, 12, 7726–7732. [Google Scholar] [CrossRef]
- Guo, S.; Lin, H.; Hu, J.; Su, Z.; Zhang, Y. Computational Study of Novel Semiconducting Sc2CT2 (T = F, Cl, Br) MXenes for Visible-Light Photocatalytic Water Splitting. Materials 2021, 14, 4739. [Google Scholar] [CrossRef]
- Fang, H.; Chuang, S.; Chang, T.C.; Takei, K.; Takahashi, T.; Javey, A. High-performance single layered WSe2 p-FETs with chemically doped contacts. Nano Lett. 2012, 12, 3788–3792. [Google Scholar] [CrossRef]
- Dobusch, L.; Furchi, M.M.; Pospischil, A.; Mueller, T.; Bertagnolli, E.; Lugstein, A. Electric field modulation of thermovoltage in single-layer MoS2. Appl. Phys. Lett. 2014, 105, 253103. [Google Scholar] [CrossRef]
- Voiry, D.; Yamaguchi, H.; Li, J.; Silva, R.; Alves, D.C.; Fujita, T.; Chen, M.; Asefa, T.; Shenoy, V.B.; Eda, G. Enhanced catalytic activity in strained chemically exfoliated WS2 nanosheets for hydrogen evolution. Nat. Mater. 2013, 12, 850–855. [Google Scholar] [CrossRef]
- Li, L.; Yu, Y.; Ye, G.J.; Ge, Q.; Ou, X.; Wu, H.; Feng, D.; Chen, X.H.; Zhang, Y. Black phosphorus field-effect transistors. Nat. Nanotechnol. 2014, 9, 372–377. [Google Scholar] [CrossRef] [PubMed]
- Bandurin, D.A.; Tyurnina, A.V.; Geliang, L.Y.; Mishchenko, A.; Zólyomi, V.; Morozov, S.V.; Kumar, R.K.; Gorbachev, R.V.; Kudrynskyi, Z.R.; Pezzini, S. High electron mobility, quantum Hall effect and anomalous optical response in atomically thin InSe. Nat. Nanotechnol. 2017, 12, 223–227. [Google Scholar] [CrossRef]
- Ma, Z.; Li, R.; Xiong, R.; Zhang, Y.; Xu, C.; Wen, C.; Sa, B. InSe/Te van der Waals Heterostructure as a High-Efficiency Solar Cell from Computational Screening. Materials 2021, 14, 3768. [Google Scholar] [CrossRef]
- Gao, A.; Lai, J.; Wang, Y.; Zhu, Z.; Zeng, J.; Yu, G.; Wang, N.; Chen, W.; Cao, T.; Hu, W. Observation of ballistic avalanche phenomena in nanoscale vertical InSe/BP heterostructures. Nat. Nanotechnol. 2019, 14, 217–222. [Google Scholar] [CrossRef]
- Lv, Q.; Yan, F.; Mori, N.; Zhu, W.; Hu, C.; Kudrynskyi, Z.R.; Kovalyuk, Z.D.; Patanè, A.; Wang, K. Interlayer Band-to-Band Tunneling and Negative Differential Resistance in van der Waals BP/InSe Field-Effect Transistors. Adv. Funct. Mater. 2020, 30, 1910713. [Google Scholar] [CrossRef]
- Li, H.; Wang, Q.; Xu, P.; Lu, J. Van der waals BP/InSe heterojunction for tunneling field-effect transistors. J. Mater. Sci. 2021, 56, 8563–8574. [Google Scholar] [CrossRef]
- Ding, Y.M.; Shi, J.J.; Xia, C.; Zhang, M.; Du, J.; Huang, P.; Wu, M.; Wang, H.; Cen, Y.L.; Pan, S.H. Enhancement of hole mobility in InSe monolayer via an InSe and black phosphorus heterostructure. Nanoscale 2017, 9, 14682–14689. [Google Scholar] [CrossRef] [PubMed]
- Ding, Y.M.; Shi, J.J.; Zhang, M.; Xia, C.; Wu, M.; Wang, H.; Cen, Y.L.; Pan, S.H. Electric field modulation of electronic structures in InSe and black phosphorus heterostructure. Solid State Commun. 2018, 269, 112–117. [Google Scholar] [CrossRef]
- Kresse, G.; Furthmüller, J. Efficient iterative schemes for ab initio total-energy calculations using a plane-wave basis set. Phys. Rev. B 1996, 54, 11169–11186. [Google Scholar] [CrossRef]
- Kresse, G.; Furthmüller, J. Efficiency of ab-initio total energy calculations for metals and semiconductors using a plane-wave basis set. Comput. Mater. Sci. 1996, 6, 15–50. [Google Scholar] [CrossRef]
- Huang, X.; Zhou, L.; Yan, L.; Wang, Y.; Zhang, W.; Xie, X.; Xu, Q.; Song, H.Z. HfX2 (X = Cl, Br, I) Monolayer and Type II Heterostructures with Promising Photovoltaic Characteristics. Chin. Phys. Lett. 2020, 37, 127137. [Google Scholar] [CrossRef]
- Perdew, J.P.; Burke, K.; Ernzerhof, M. Generalized Gradient Approximation Made Simple. Phys. Rev. Lett. 1996, 77, 3865–3868. [Google Scholar] [CrossRef] [PubMed]
- Krukau, A.V.; Vydrov, O.A.; Izmaylov, A.F.; Scuseria, G.E. Influence of the exchange screening parameter on the performance of screened hybrid functionals. J. Chem. Phys. 2006, 125, 224106. [Google Scholar] [CrossRef] [PubMed]
- Qiao, J.; Kong, X.; Hu, Z.-X.; Yang, F.; Ji, W. High-mobility transport anisotropy and linear dichroism in few-layer black phosphorus. Nat. Commun. 2014, 5, 4475. [Google Scholar] [CrossRef]
- Shi, L.-B.; Cao, S.; Yang, M.; You, Q.; Zhang, K.-C.; Bao, Y.; Zhang, Y.-J.; Niu, Y.-Y.; Qian, P.J.J.o.P.C.M. Theoretical prediction of intrinsic electron mobility of monolayer InSe: First-principles calculation. J. Phys. Condens. Matter 2019, 32, 065306. [Google Scholar] [PubMed]
- Sahoo, P.K.; Memaran, S.; Xin, Y.; Balicas, L.; Gutiérrez, H.R. One-pot growth of two-dimensional lateral heterostructures via sequential edge-epitaxy. Nature 2018, 553, 63–67. [Google Scholar] [CrossRef]
- Sahoo, P.K.; Memaran, S.; Nugera, F.A.; Xin, Y.; Díaz Márquez, T.; Lu, Z.; Zheng, W.; Zhigadlo, N.D.; Smirnov, D.; Balicas, L. Bilayer lateral heterostructures of transition-metal dichalcogenides and their optoelectronic response. ACS Nano 2019, 13, 12372–12384. [Google Scholar] [CrossRef]
- Xie, Z.; Hui, L.; Wang, J.; Chen, Z.; Li, C. Electronic and optical properties of monolayer black phosphorus induced by bi-axial strain. Comput. Mater. Sci. 2018, 144, 304–314. [Google Scholar] [CrossRef]
- Xia, C.X.; Du, J.; Huang, X.W.; Xiao, W.B.; Xiong, W.G.; Wang, T.X.; Wei, Z.M.; Jia, Y.; Shi, J.J.; Li, J.B. Two-dimensional n-InSe/p-GeSe (SnS) van der Waals heterojunctions: High carrier mobility and broadband performance. Phys. Rev. B 2018, 97, 115416. [Google Scholar] [CrossRef]
- Sheng, R.Q.; Deng, X.Q.; Zhang, Z.H.; Fan, Z.Q. Tunable electronic and optical properties of SnC/BAs heterostructure by external electric field and vertical strain. Phys. Lett. A 2020, 384, 126150. [Google Scholar] [CrossRef]
- Liu, Y.; Weiss, N.O.; Duan, X.; Cheng, H.-C.; Huang, Y.; Duan, X. Van der Waals heterostructures and devices. Nat. Rev. Mater. 2016, 1, 16042. [Google Scholar] [CrossRef]
- Yao, Y.; Cao, J.; Yin, W.; Yang, L.; Wei, X. A 2D ZnSe/BiOX vertical heterostructure as a promising photocatalyst for water splitting: A first-principles study. J. Phys. D Appl. Phys. 2019, 53, 055108. [Google Scholar] [CrossRef]
- Ding, S.; Zhang, H.; Dou, R.; Liu, W.; Sun, D.; Zhang, Q. Theoretical and experimental studies of electronic, optical and luminescent properties for Tb-based garnet materials. J. Solid State Chem. 2018, 263, 123–130. [Google Scholar] [CrossRef]
- Singh, D.; Kansara, S.; Gupta, S.K.; Sonvane, Y. Single layer of carbon phosphide as an efficient material for optoelectronic devices. J. Mater. Sci. 2018, 53, 8314–8327. [Google Scholar] [CrossRef]
- Ullah, M.; Neffati, R.; Murtaza, G.; Khan, S.; Haneef, M.; Ashraf, M.W. Pressure induced variations in the optoelectronic response of ASnX3 (A = K, Rb; X = Cl, Br, I) perovskites: A first principles study. Mat. Sci. Semicon. Proc. 2022, 150, 106977. [Google Scholar] [CrossRef]
- Jappor, H.R.; Habeeb, M.A. Tunable electronic and optical properties of GaS/GaSe van der Waals heterostructure. Curr. Appl. Phys. 2018, 18, 673–680. [Google Scholar] [CrossRef]
- Lu, X.; Zhao, Z.; Li, K.; Han, Z.; Wei, S.; Guo, C.; Zhou, S.; Wu, Z.; Guo, W.; Wu, C.-m.L. First-principles insight into the photoelectronic properties of Ge-based perovskites. RSC Adv. 2016, 6, 86976–86981. [Google Scholar] [CrossRef]
- Trushin, M.; Sarkar, S.; Mathew, S.; Goswami, S.; Sahoo, P.; Wang, Y.; Yang, J.; Li, W.; MacManus-Driscoll, J.L.; Chhowalla, M. Evidence of rotational Fröhlich coupling in polaronic trions. Phys. Rev. Lett. 2020, 125, 086803. [Google Scholar] [CrossRef]
- Stevens, C.; Paul, J.; Cox, T.; Sahoo, P.K.; Gutiérrez, H.R.; Turkowski, V.; Semenov, D.; McGill, S.A.; Kapetanakis, M.D.; Perakis, I.E. Biexcitons in monolayer transition metal dichalcogenides tuned by magnetic fields. Nat. Commun. 2018, 9, 3720. [Google Scholar] [CrossRef]





Publisher’s Note: MDPI stays neutral with regard to jurisdictional claims in published maps and institutional affiliations. |
© 2022 by the authors. Licensee MDPI, Basel, Switzerland. This article is an open access article distributed under the terms and conditions of the Creative Commons Attribution (CC BY) license (https://creativecommons.org/licenses/by/4.0/).
Share and Cite
Huang, X.; Cao, Q.; Wan, M.; Song, H.-Z. Electronic and Optical Properties of BP, InSe Monolayer and BP/InSe Heterojunction with Promising Photoelectronic Performance. Materials 2022, 15, 6214. https://doi.org/10.3390/ma15186214
Huang X, Cao Q, Wan M, Song H-Z. Electronic and Optical Properties of BP, InSe Monolayer and BP/InSe Heterojunction with Promising Photoelectronic Performance. Materials. 2022; 15(18):6214. https://doi.org/10.3390/ma15186214
Chicago/Turabian StyleHuang, Xingyong, Qilong Cao, Mingjie Wan, and Hai-Zhi Song. 2022. "Electronic and Optical Properties of BP, InSe Monolayer and BP/InSe Heterojunction with Promising Photoelectronic Performance" Materials 15, no. 18: 6214. https://doi.org/10.3390/ma15186214
APA StyleHuang, X., Cao, Q., Wan, M., & Song, H.-Z. (2022). Electronic and Optical Properties of BP, InSe Monolayer and BP/InSe Heterojunction with Promising Photoelectronic Performance. Materials, 15(18), 6214. https://doi.org/10.3390/ma15186214

