High-Energy Computed Tomography as a Prospective Tool for In Situ Monitoring of Mass Transfer Processes inside High-Pressure Reactors—A Case Study on Ammonothermal Bulk Crystal Growth of Nitrides including GaN
Abstract
:1. Introduction
2. Materials and Methods
3. Results and Discussion
3.1. Evaluation of Suitable Energy Range for X-ray CT Monitoring of GaN Growth
3.2. Ammonobasic Growth of GaN
3.3. Ammonoacidic Growth of GaN
3.4. Applicability to Further Nitride Materials
3.5. Prospects for the Validation and Advancement of Numerical Simulations
3.6. Potential for Application to Larger Autoclaves and Larger GaN Crystals
4. Conclusions
Author Contributions
Funding
Institutional Review Board Statement
Informed Consent Statement
Data Availability Statement
Acknowledgments
Conflicts of Interest
References
- Amano, H.; Baines, Y.; Beam, E.; Borga, M.; Bouchet, T.; Chalker, P.R.; Charles, M.; Chen, K.J.; Chowdhury, N.; Chu, R.; et al. The 2018 GaN power electronics roadmap. J. Phys. D 2018, 51, 163001. [Google Scholar] [CrossRef]
- Kucharski, R.; Sochacki, T.; Lucznik, B.; Bockowski, M. Growth of bulk GaN crystals. J. Appl. Phys. 2020, 128, 050902. [Google Scholar] [CrossRef]
- Speck, J.S.; Rosner, S.J. The role of threading dislocations in the physical properties of GaN and its alloys. Phys. B Condens. Matter 1999, 273–274, 24–32. [Google Scholar] [CrossRef]
- Chowdhury, S.; Swenson, B.L.; Wong, M.H.; Mishra, U.K. Current status and scope of gallium nitride-based vertical transistors for high-power electronics application. Semicond. Sci. Technol. 2013, 28, 74014. [Google Scholar] [CrossRef]
- Dwiliński, R.; Doradziński, R.; Garczyński, J.; Sierzputowski, L.P.; Puchalski, A.; Kanbara, Y.; Yagi, K.; Minakuchi, H.; Hayashi, H. Excellent crystallinity of truly bulk ammonothermal GaN. J. Cryst. Growth 2008, 310, 3911–3916. [Google Scholar] [CrossRef]
- Hausler, J.; Schimmel, S.; Wellmann, P.; Schnick, W. Ammonothermal Synthesis of Earth-Abundant Nitride Semiconductors ZnSiN2 and ZnGeN2 and Dissolution Monitoring by In Situ X-ray Imaging. Chemistry 2017, 23, 12275–12282. [Google Scholar] [CrossRef]
- Häusler, J.; Schnick, W. Ammonothermal Synthesis of Nitrides: Recent Developments and Future Perspectives. Chem. Eur. J. 2018, 24, 11864–11879. [Google Scholar] [CrossRef]
- Hertrampf, J.; Becker, P.; Widenmeyer, M.; Weidenkaff, A.; Schlücker, E.; Niewa, R. Ammonothermal Crystal Growth of Indium Nitride. Cryst. Growth Des. 2018, 18, 2365–2369. [Google Scholar] [CrossRef]
- Schimmel, S.; Tomida, D.; Ishiguro, T.; Honda, Y.; Chichibu, S.; Amano, H. Numerical Simulation of Ammonothermal Crystal Growth of GaN—Current State, Challenges, and Prospects. Crystals 2021, 11, 356. [Google Scholar] [CrossRef]
- Schlücker, E.; Hertweck, B.; Schimmel, S.; Wellmann, P. Special Equipment for Ammonothermal Processes. In Ammonothermal Synthesis and Crystal Growth of Nitrides: Chemistry and Technology; Niewa, R., Meissner, E., Eds.; Springer: Cham, Switzerland, 2021; pp. 317–328. ISBN 978-3-030-56304-2. [Google Scholar]
- Alt, N.; Meissner, E.; Schlücker, E.; Frey, L. In situ monitoring technologies for ammonthermal reactors. Phys. Status Solidi C 2012, 9, 436–439. [Google Scholar] [CrossRef]
- Schimmel, S.; Lindner, M.; Steigerwald, T.G.; Hertweck, B.; Richter, T.M.M.; Künecke, U.; Alt, N.S.A.; Niewa, R.; Schlücker, E.; Wellmann, P.J. Determination of GaN solubility in supercritical ammonia with NH4F and NH4Cl mineralizer by in situ x-ray imaging of crystal dissolution. J. Cryst. Growth 2015, 418, 64–69. [Google Scholar] [CrossRef]
- Steigerwald, T.G.; Balouschek, J.; Hertweck, B.; Kimmel, A.-C.L.; Alt, N.S.A.; Schluecker, E. In situ investigation of decomposing ammonia and ammonobasic solutions under supercritical conditions via UV/vis and Raman Spectroscopy. J. Supercrit. Fluids 2018, 134, 96–105. [Google Scholar] [CrossRef]
- Schimmel, S.; Duchstein, P.; Steigerwald, T.G.; Kimmel, A.C.L.; Schlücker, E.; Zahn, D.; Niewa, R.; Wellmann, P. In situ X-ray monitoring of transport and chemistry of Ga-containing intermediates under ammonothermal growth conditions of GaN. J. Cryst. Growth 2018, 498, 214–223. [Google Scholar] [CrossRef]
- Schlücker, E. Technical Solutions for In Situ Monitoring of Ammonothermal Processes. In Ammonothermal Synthesis and Crystal Growth of Nitrides: Chemistry and Technology; Meissner, E., Niewa, R., Eds.; Springer International Publishing: Cham, Switzerland, 2021; pp. 47–64. ISBN 978-3-030-56305-9. [Google Scholar]
- Arzig, M.; Salamon, M.; Uhlmann, N.; Wellmann, P.J. Investigation of the Growth Kinetics of SiC Crystals during Physical Vapor Transport Growth by the Application of In Situ 3D Computed Tomography Visualization. Adv. Eng. Mater. 2019, 22, 1900778. [Google Scholar] [CrossRef]
- Salamon, M.; Arzig, M.; Wellmann, P.J.; Uhlmann, N. Comparison of Achievable Contrast Features in Computed Tomography Observing the Growth of a 4H-SiC Bulk Crystal. Materials 2019, 12, 3652. [Google Scholar] [CrossRef] [PubMed]
- Wellmann, P.; Neubauer, G.; Fahlbusch, L.; Salamon, M.; Uhlmann, N. Growth of SiC bulk crystals for application in power electronic devices–Process design, 2D and 3D X-ray in situ visualization and advanced doping. Cryst. Res. Technol. 2015, 50, 2–9. [Google Scholar] [CrossRef]
- Schimmel, S.; Künecke, U.; Baser, H.; Steigerwald, T.G.; Hertweck, B.; Alt, N.S.A.; Schlücker, E.; Schwieger, W.; Wellmann, P. Towards X-ray in-situ visualization of ammonothermal crystal growth of nitrides. Phys. Status Solidi (c) 2014, 11, 1439–1442. [Google Scholar] [CrossRef]
- Bao, Q.; Saito, M.; Hazu, K.; Furusawa, K.; Kagamitani, Y.; Kayano, R.; Tomida, D.; Qiao, K.; Ishiguro, T.; Yokoyama, C.; et al. Ammonothermal Crystal Growth of GaN Using an NH4F Mineralizer. Cryst. Growth Des. 2013, 13, 4158–4161. [Google Scholar] [CrossRef]
- Berger, M.J.; Hubbell, J.H.; Seltzer, S.M.; Chang, J.; Coursey, J.S.; Sukumar, R.; Zucker, D.S.; Olsen, K. XCOM: Photon Cross Sections Database, NIST Standard Reference Database 8 (XGAM). Available online: https://physics.nist.gov/PhysRefData/Xcom/html/xcom1.html (accessed on 13 May 2022).
- VDM® Alloy 718 Nicrofer 5219 Nb; VDM Metals International GmbH: Werdohl, Germany, 2020.
- Reid, J. ATI 720 Alloy Technical Data Sheet. Available online: https://www.atimaterials.com/Products/Documents/datasheets/nickel-cobalt/nickel-based/ati_720_tds_en_v1.pdf (accessed on 4 August 2022).
- Aubert&Duval. AD730® NiCr16Co9Mo3W3Ti3Al2: New Ni-Based Superalloy for High Temperature Applications. Available online: https://www.aubertduval.com/wp-media/uploads/2017/05/2017_Brochure_AD730.pdf (accessed on 4 August 2022).
- VDM Metals International GmbH. VDM® Alloy 625 Nicrofer 6020 hMo. Available online: https://www.vdm-metals.com/fileadmin/user_upload/Downloads/Data_Sheets/Datenblatt_VDM_Alloy_625.pdf (accessed on 11 August 2022).
- NeoNickel. Rene 41. Available online: https://www.neonickel.com/generate-alloy-pdf/?id=13189 (accessed on 11 August 2022).
- Haynes International. HAYNES® 282® ALLOY. Available online: https://haynesintl.com/docs/default-source/pdfs/new-alloy-brochures/high-temperature-alloys/brochures/282-brochure.pdf?sfvrsn=20 (accessed on 11 August 2022).
- Freund, L.P.; Giese, S.; Schwimmer, D.; Höppel, H.W.; Neumeier, S.; Göken, M. High temperature properties and fatigue strength of novel wrought γ/γ′ Co-base superalloys. J. Mater. Res. 2017, 32, 4475–4482. [Google Scholar] [CrossRef]
- Hausmann, D.; Solís, C.; Freund, L.P.; Volz, N.; Heinemann, A.; Göken, M.; Gilles, R.; Neumeier, S. Enhancing the High-Temperature Strength of a Co-Base Superalloy by Optimizing the γ/γ′ Microstructure. Metals 2020, 10, 321. [Google Scholar] [CrossRef] [Green Version]
- Plansee SE. Molybdenum. Available online: https://www.plansee.com/en/materials/molybdenum.html (accessed on 16 August 2022).
- Davis, J.R. (Ed.) Heat-Resistant Materials; ASM Internat: Materials Park, OH, USA, 1999; ISBN 0871705966. [Google Scholar]
- Tomida, D.; Kuroda, K.; Hoshino, N.; Suzuki, K.; Kagamitani, Y.; Ishiguro, T.; Fukuda, T.; Yokoyama, C. Solubility of GaN in supercritical ammonia with ammonium chloride as a mineralizer. J. Cryst. Growth 2010, 312, 3161–3164. [Google Scholar] [CrossRef]
- Pimputkar, S.; Kawabata, S.; Speck, J.S.; Nakamura, S. Surface morphology study of basic ammonothermal GaN grown on non-polar GaN seed crystals of varying surface orientations from m-plane to a-plane. J. Cryst. Growth 2013, 368, 67–71. [Google Scholar] [CrossRef]
- Häusler, J.; Neudert, L.; Mallmann, M.; Niklaus, R.; Kimmel, A.-C.L.; Alt, N.S.A.; Schlücker, E.; Oeckler, O.; Schnick, W. Ammonothermal Synthesis of Novel Nitrides: Case Study on CaGaSiN3. Chemistry 2017, 23, 2583–2590. [Google Scholar] [CrossRef] [PubMed]
- Malkowski, T.F.; Speck, J.S.; DenBaars, S.P.; Nakamura, S. An exploratory study of acidic ammonothermal growth in a TZM autoclave at high temperatures. J. Cryst. Growth 2018, 499, 85–89. [Google Scholar] [CrossRef]
- Kimmel, A.-C.; Malkowski, T.F.; Griffiths, S.; Hertweck, B.; Steigerwald, T.G.; Freund, L.P.; Neumeier, S.; Göken, M.; Speck, J.S.; Schluecker, E. High-temperature corrosion of Inconel®Alloy 718, Haynes®282®Alloy and CoWAlloy1&2 in supercritical ammonia/ammonium chloride solution. J. Cryst. Growth 2018, 498, 289–300. [Google Scholar] [CrossRef]
- Cockeram, B.V. Measuring the fracture toughness of molybdenum-0.5 pct titanium-0.1 pct zirconium and oxide dispersion-strengthened molybdenum alloys using standard and subsized bend specimens. Metall. Mater. Trans. A 2002, 33, 3685–3707. [Google Scholar] [CrossRef]
- Malkowski, T.F.; Pimputkar, S.; Speck, J.S.; DenBaars, S.P.; Nakamura, S. Acidic ammonothermal growth of gallium nitride in a liner-free molybdenum alloy autoclave. J. Cryst. Growth 2016, 456, 21–26. [Google Scholar] [CrossRef]
- Metzger, F.; Rienzi, V.; Mascetti, C.; Nguyen, T.; Pimputkar, S. Properties of Titanium Zirconium Molybdenum Alloy after Exposure to Indium at Elevated Temperatures. Materials 2022, 15, 5270. [Google Scholar] [CrossRef]
- Neumeier, S.; Freund, L.P.; Göken, M. Novel wrought γ/γ′ cobalt base superalloys with high strength and improved oxidation resistance. Scr. Mater. 2015, 109, 104–107. [Google Scholar] [CrossRef]
- Tomida, D.; Bao, Q.; Saito, M.; Osanai, R.; Shima, K.; Kojima, K.; Ishiguro, T.; Chichibu, S.F. Ammonothermal growth of 2 inch long GaN single crystals using an acidic NH4F mineralizer in a Ag-lined autoclave. Appl. Phys. Express 2020, 13, 055505. [Google Scholar] [CrossRef]
- Schimmel, S.; Koch, M.; Macher, P.; Kimmel, A.-C.L.; Steigerwald, T.G.; Alt, N.S.A.; Schlücker, E.; Wellmann, P. Solubility and dissolution kinetics of GaN in supercritical ammonia in presence of ammonoacidic and ammonobasic mineralizers. J. Cryst. Growth 2017, 479, 59–66. [Google Scholar] [CrossRef]
- Griffiths, S.; Pimputkar, S.; Speck, J.S.; Nakamura, S. On the solubility of gallium nitride in supercritical ammonia–sodium solutions. J. Cryst. Growth 2016, 456, 5–14. [Google Scholar] [CrossRef]
- Pimputkar, S.; Nakamura, S. Decomposition of supercritical ammonia and modeling of supercritical ammonia–nitrogen–hydrogen solutions with applicability toward ammonothermal conditions. J Supercrit Fluids 2016, 107, 17–30. [Google Scholar] [CrossRef]
- Pimputkar, S.; Kawabata, S.; Speck, J.S.; Nakamura, S. Improved growth rates and purity of basic ammonothermal GaN. J. Cryst. Growth 2014, 403, 7–17. [Google Scholar] [CrossRef]
- Hertweck, B.; Steigerwald, T.G.; Alt, N.S.A.; Schluecker, E. Different corrosion behaviour of autoclaves made of nickel base alloy 718 in ammonobasic and ammonoacidic environments. J Supercrit Fluids 2014, 95, 158–166. [Google Scholar] [CrossRef]
- Schlücker, E. Ullmann’s Encyclopedia of Industrial Chemistry; High-Pressure Technology: Valencia, Spain, 2015; pp. 1–49. [Google Scholar] [CrossRef]
- Schimmel, S.; Künecke, U.; Meisel, M.; Hertweck, B.; Steigerwald, T.G.; Nebel, C.; Alt, N.S.A.; Schlücker, E.; Wellmann, P. Chemical stability of carbon-based inorganic materials for in situ X-ray investigations of ammonothermal crystal growth of nitrides. J. Cryst. Growth 2016, 456, 33–42. [Google Scholar] [CrossRef]
- Xuan, Y.; Fromm, T.; Bruns, S.; Borchardt, R.; Durst, K.; Rosiwal, S.M. A simple way to make tough diamond/metal laminates. J. Eur. Cerami. Soc. 2021, 41, 5138–5146. [Google Scholar] [CrossRef]
- Bao, Q.; Saito, M.; Hazu, K.; Kagamitani, Y.; Kurimoto, K.; Tomida, D.; Qiao, K.; Ishiguro, T.; Yokoyama, C.; Chichibu, S.F. Ammonothermal growth of GaN on a self-nucleated GaN seed crystal. J. Cryst. Growth 2014, 404, 168–171. [Google Scholar] [CrossRef]
- Schimmel, S.; Kobelt, I.; Heinlein, L.; Kimmel, A.-C.L.; Steigerwald, T.G.; Schlücker, E.; Wellmann, P. Flow Stability, Convective Heat Transfer and Chemical Reactions in Ammonothermal Autoclaves—Insights by In Situ Measurements of Fluid Temperatures. Crystals 2020, 10, 723. [Google Scholar] [CrossRef]
- Schimmel, S.; Tomida, D.; Saito, M.; Bao, Q.; Ishiguro, T.; Honda, Y.; Chichibu, S.; Amano, H. Boundary Conditions for Simulations of Fluid Flow and Temperature Field during Ammonothermal Crystal Growth—A Machine-Learning Assisted Study of Autoclave Wall Temperature Distribution. Crystals 2021, 11, 254. [Google Scholar] [CrossRef]
- Schimmel, S. In Situ Visualisierung Des Ammonothermalen Kristallisationsprozesses Mittels Röntgenmesstechnik. Ph.D. Thesis, Friedrich-Alexander-Universität Erlangen-Nürnberg (FAU), Erlangen, Germany, December 2018. urn:nbn:de:bvb:29-opus4-102649. [Google Scholar]










| Alloy | ||||||||||
|---|---|---|---|---|---|---|---|---|---|---|
| Inconel 718 | Inconel 625 | Rene41 | Haynes 282 | U720Li | AD730 | CoWAlloy1 | CoWAlloy2 | TZM | ||
| ρ/g/cm3 | 8.260 | 8.440 | 8.249 | 8.280 | 8.090 | 8.230 | 8.830 | 8.900 | 10.220 | |
| Content/wt% | Ni | 52.500 | 58.6000 | 49.2585 | 57.000 | 57.0610 | 58.1975 | 32.00 | 32.00 | Zero |
| Fe | 35.765 | 5.000 | 5.0000 | 1.500 | Zero | 4.3000 | Zero | Zero | Zero | |
| Cr | 19.000 | 22.00 | 19.0000 | 20.000 | 16.5000 | 16.0000 | 12.00 | 12.00 | 0.1200 | |
| Nb | 5.125 | 1.750 | Zero | Zero | Zero | 1.1000 | Zero | Zero | Zero | |
| Mo | 3.050 | 9.00 | 9.7500 | 8.500 | 3.0000 | 3.0000 | Zero | Zero | 99.3714 | |
| Co | 1.000 | 1.000 | 11.0000 | 10.000 | 14.500 | 9.0000 | 42.30 | 40.80 | 0.4080 | |
| Ti | 0.900 | Zero | 3.1500 | 2.100 | 5.0750 | 3.6000 | 2.50 | 0.30 | 0.0030 | |
| Al | 0.500 | 0.40 | 1.6000 | 1.500 | 2.5500 | 2.2500 | 6.00 | 9.00 | 0.0900 | |
| Mn | 0.350 | 0.50 | 0.1000 | 0.300 | Zero | Zero | Zero | Zero | Zero | |
| Si | 0.350 | Zero | 0.5000 | 0.150 | Zero | Zero | 0.40 | 0.40 | 0.0040 | |
| Cu | 0.300 | Zero | 0.5000 | Zero | Zero | Zero | Zero | Zero | Zero | |
| C | 0.080 | Zero | 0.1200 | 0.060 | 0.0090 | 0.0100 | 0.08 | 0.08 | 0.0008 | |
| Ta | 0.050 | 1.750 | Zero | Zero | Zero | Zero | 1.50 | 0.20 | 0.0020 | |
| P | 0.015 | Zero | Zero | Zero | Zero | Zero | Zero | Zero | Zero | |
| S | 0.015 | Zero | 0.0150 | Zero | Zero | Zero | Zero | Zero | Zero | |
| B | 0.006 | Zero | 0.0065 | 0.005 | 0.0150 | 0.0125 | 0.08 | 0.08 | 0.0008 | |
| W | Zero | Zero | Zero | Zero | 1.2500 | 2.5000 | 3.00 | 5.00 | Zero | |
| Hf | Zero | Zero | Zero | Zero | Zero | Zero | 0.10 | 0.10 | Zero | |
| Zr | Zero | Zero | Zero | Zero | 0.0400 | 0.0300 | 0.01 | 0.01 | Zero | |
| Autoclave | Number of Angular Steps | Exposure Time of Single Projection Image/ms | Scan Duration/min | Acceleration Voltages/kV |
|---|---|---|---|---|
| Inconel 718 autoclave | 1200 | 1000 | 20 | 300; 550; 600 |
| Inconel 718 wall sections | 800 | 2500 | 33 | 590 |
| Haynes 282 | 800 | 2500 | 33 | 590 |
| Component | Material in Experiment | Material in Calculation | Radiographed Thickness/mm |
|---|---|---|---|
| Furnace shell | Stainless steel | Fe | 0.2 |
| Insulation | 47 wt% Al2O3, 53 wt% SiO2 | 47 wt% Al2O3, 53 wt% SiO2 | 80.0 |
| Heating wire | Kanthal | Ni | 1.0 |
| Autoclave | Inconel 718 | Inconel 718 | 14.5/4.5 |
| Liner | Ag | Ag | 2.0 |
| Solvent | NH3, 233.95 kg/m3 | NH3, 233.95 kg/m3 | 19.0 |
| Crystal | GaN | GaN | 2.0 |
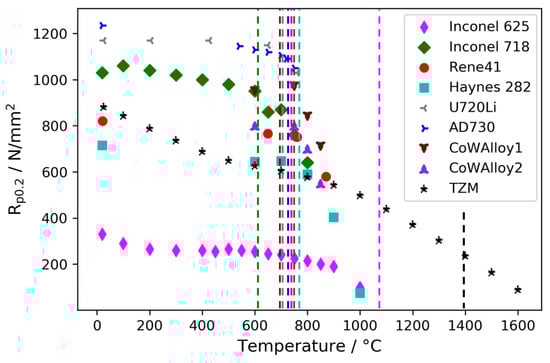
| Alloy | Rp0.2/N/mm2 | Creep Limit Rp,0.1/104h/N/mm² | Rupture Elongation A/% | Heat Treatment Temperatures/°C |
|---|---|---|---|---|
| Inconel 718 | 860 [22] | 370 [22] | 12 [22] | Solution annealing: 940 to 1065 [22] Age hardening: 620 to 790 [22] |
| Inconel 625 | 245 [25] | 215 [25] | 35 (20 °C) [25] | Solution annealing: 1080 to 1160 [25] (no age hardening required) [25] |
| Rene41 | 765.3 [26] | 14 [26] | Solution annealing: 1080 to 1177 [26] Age hardening: 760 to 899 [26] | |
| Haynes 282 | 631 (sheet) [27] | 545 (Rp,0.1/103) [27] | 31 [27] | Solution annealing: 1121 to 1149 [27] Age hardening: 788 to 1010 [27] |
| U720Li | 1170 [23] | 8 [23] | Solution annealing: 1080 to 1100 [23] Age hardening: 650 [23] | |
| AD730 | 1120 [24] | 19 [24] | Sub-solvus heat treatment: 1070/1080 [24] Age hardening: 730/760 [24] | |
| CoWAlloy1 | 975 [28] | Recrystallization: 1050 to 1075 Age hardening: 750 to 900 | ||
| CoWAlloy2 | 825 [28] | Recrystallization: 1000 [29] Age hardening: 750 to 900 [29] | ||
| TZM | 616 [30] | 400 [30] | Recrystallization: 1400 [31] |
Publisher’s Note: MDPI stays neutral with regard to jurisdictional claims in published maps and institutional affiliations. |
© 2022 by the authors. Licensee MDPI, Basel, Switzerland. This article is an open access article distributed under the terms and conditions of the Creative Commons Attribution (CC BY) license (https://creativecommons.org/licenses/by/4.0/).
Share and Cite
Schimmel, S.; Salamon, M.; Tomida, D.; Neumeier, S.; Ishiguro, T.; Honda, Y.; Chichibu, S.F.; Amano, H. High-Energy Computed Tomography as a Prospective Tool for In Situ Monitoring of Mass Transfer Processes inside High-Pressure Reactors—A Case Study on Ammonothermal Bulk Crystal Growth of Nitrides including GaN. Materials 2022, 15, 6165. https://doi.org/10.3390/ma15176165
Schimmel S, Salamon M, Tomida D, Neumeier S, Ishiguro T, Honda Y, Chichibu SF, Amano H. High-Energy Computed Tomography as a Prospective Tool for In Situ Monitoring of Mass Transfer Processes inside High-Pressure Reactors—A Case Study on Ammonothermal Bulk Crystal Growth of Nitrides including GaN. Materials. 2022; 15(17):6165. https://doi.org/10.3390/ma15176165
Chicago/Turabian StyleSchimmel, Saskia, Michael Salamon, Daisuke Tomida, Steffen Neumeier, Tohru Ishiguro, Yoshio Honda, Shigefusa F. Chichibu, and Hiroshi Amano. 2022. "High-Energy Computed Tomography as a Prospective Tool for In Situ Monitoring of Mass Transfer Processes inside High-Pressure Reactors—A Case Study on Ammonothermal Bulk Crystal Growth of Nitrides including GaN" Materials 15, no. 17: 6165. https://doi.org/10.3390/ma15176165
APA StyleSchimmel, S., Salamon, M., Tomida, D., Neumeier, S., Ishiguro, T., Honda, Y., Chichibu, S. F., & Amano, H. (2022). High-Energy Computed Tomography as a Prospective Tool for In Situ Monitoring of Mass Transfer Processes inside High-Pressure Reactors—A Case Study on Ammonothermal Bulk Crystal Growth of Nitrides including GaN. Materials, 15(17), 6165. https://doi.org/10.3390/ma15176165

