Reducing Compaction Temperature of Asphalt Mixtures by GNP Modification and Aggregate Packing Optimization
Abstract
:1. Introduction
2. Two Approaches for Improving Compactability
2.1. GNP Modification
2.2. Aggregate Packing Optimization
3. Experimental Study
3.1. Materials Information
3.2. Experimental Plan
4. Results and Discussion
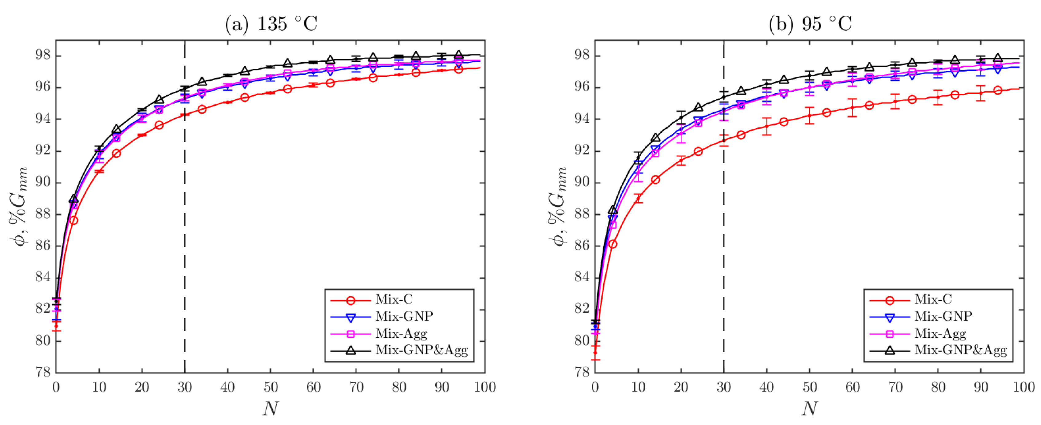
4.1. Gyratory Compaction Results
4.2. Compaction Temperature Estimation
5. Conclusions and Recommendations
- 1
- GNP modification, aggregate packing optimizing, and their combination can significantly improve the compactability of mixtures and thus reduce the compaction temperatures.
- 2
- The combination of GNP modification and aggregate packing optimization has the most significant temperature reduction effect, followed by GNP modification, and aggregate packing optimization.
- 3
- The three methods can reduce the compaction temperature of the original mixture by more than 30%, which is comparable to the temperature reduction effect of WMA.
- 4
- The proposed method for compaction temperature estimation is based on the direct characterization of the compactability of asphalt mixtures. It can take into account many affecting factors which were not possible to consider with the traditional viscosity-based method, for example, the properties of aggregates and the lubricating effect of binder. Thus, the method can potentially be used in practice for estimating the compaction temperatures for asphalt mixtures.
Author Contributions
Funding
Data Availability Statement
Conflicts of Interest
References
- Bahia, H.U.; Fahim, A.; Nam, K. Prediction of compaction temperatures using binder rheology. In Transportation Research Circular, E-C105; Transportation Research Board: Washington, DC, USA, 2006; pp. 3–17. [Google Scholar]
- Yildirim, Y.; Ideker, J.; Hazlett, D. Evaluation of Viscosity Values for Mixing and Compaction Temperatures. J. Mater. Civ. Eng. 2006, 18, 545–553. [Google Scholar] [CrossRef]
- D’Angelo, J.; Harm, E.; Bartoszek, J.; Baumgardner, G.; Corrigan, M.; Cowsert, J.; Harman, T.; Jamshidi, M.; Jones, W.; Newcomb, D.; et al. Warm-Mix Asphalt: European Practice; Technical Report, United States; Federal Highway Administration: Washington, DC, USA, 2008. [Google Scholar]
- Rubio, M.C.; Martínez, G.; Baena, L.; Moreno, F. Warm Mix Asphalt: An overview. J. Clean. Prod. 2012, 24, 76–84. [Google Scholar] [CrossRef]
- Cheraghian, G.; Falchetto, A.C.; You, Z.; Chen, S.; Kim, Y.S.; Westerhoff, J.; Moon, K.H.; Wistuba, M.P. Warm mix asphalt technology: An up to date review. J. Clean. Prod. 2020, 268, 122128. [Google Scholar] [CrossRef]
- Caputo, P.; Abe, A.A.; Loise, V.; Porto, M.; Calandra, P.; Angelico, R.; Rossi, C.O. The Role of Additives in Warm Mix Asphalt Technology: An Insight into Their Mechanisms of Improving an Emerging Technology. Nanomaterials 2020, 10, 1202. [Google Scholar] [CrossRef]
- Li, X.; Wang, H.; Zhang, C.; Diab, A.; You, Z. Characteristics of a surfactant produced warm mix asphalt binder and workability of the mixture. J. Test. Eval. 2015, 44, 2219–2230. [Google Scholar] [CrossRef]
- Kakar, M.; Hamzah, M.; Akhtar, M.; Woodward, D. Surface free energy and moisture susceptibility evaluation of asphalt binders modified with surfactant-based chemical additive. J. Clean. Prod. 2016, 112, 2342–2353. [Google Scholar] [CrossRef]
- Hasan, M.R.M.; You, Z.; Yin, H.; You, L.; Zhang, R. Characterizations of foamed asphalt binders prepared using combinations of physical and chemical foaming agents. Constr. Build. Mater. 2019, 204, 94–104. [Google Scholar] [CrossRef]
- Rubio, M.C.; Moreno, F.; Martínez-Echevarría, M.J.; Martínez, G.; Vázquez, J.M. Comparative analysis of emissions from the manufacture and use of hot and half-warm mix asphalt. J. Clean. Prod. 2013, 41, 1–6. [Google Scholar] [CrossRef]
- Thives, L.P.; Ghisi, E. Asphalt mixtures emission and energy consumption: A review. Renew. Sustain. Energy Rev. 2017, 72, 473–484. [Google Scholar] [CrossRef]
- Sharma, A.; Lee, B.K. Energy savings and reduction of CO2 emission using Ca(OH)2 incorporated zeolite as an additive for warm and hot mix asphalt production. Energy 2017, 136, 142–150. [Google Scholar] [CrossRef]
- Wang, F.; Li, N.; Hoff, I.; Wu, S.; Li, J.; Maria Barbieri, D.; Zhang, L. Characteristics of VOCs generated during production and construction of an asphalt pavement. Transp. Res. Part D Transp. Environ. 2020, 87, 473–484. [Google Scholar] [CrossRef]
- Gandhi, T.; Akisetty, C.; Amirkhanian, S. Laboratory evaluation of warm asphalt binder aging characteristics. Int. J. Pavement Eng. 2009, 10, 353–359. [Google Scholar] [CrossRef]
- Hofko, B.; Cannone Falchetto, A.; Grenfell, J.; Huber, L.; Lu, X.; Porot, L.; Poulikakos, L.D.; You, Z. Workability of hot-mix asphalt. Road Mater. Pavement Des. 2017, 18, 108–117. [Google Scholar] [CrossRef]
- Poulikakos, L.D.; Falchetto, C.A.; Wang, D.; Porot, L.; Hofko, B. Impact of asphalt aging temperature on chemo-mechanics. RSC Adv. 2019, 9, 11602–11613. [Google Scholar]
- Le, J.-L.; Marasteanu, M.; Turos, M. Graphene Nanoplatelet (GNP) Reinforced Asphalt Mixtures: A Novel Multifunctional Pavement Material (NCHRP IDEAProject 173); Technical Report; Transportation Research Board: Washington, DC, USA, 2016. [Google Scholar]
- Le, J.-L.; Marasteanu, M.; Turos, M. Mechanical and compaction properties of graphite nanoplatelet-modified asphalt binders and mixtures. Road Mater. Pavement Des. 2020, 21, 1799–1814. [Google Scholar] [CrossRef]
- Yan, T.; Ingrassia, L.P.; Kumar, R.; Turos, M.; Canestrari, F.; Lu, X.; Marasteanu, M. Evaluation of graphite nanoplatelets influence on the lubrication properties of asphalt binders. Materials 2020, 13, 772. [Google Scholar] [CrossRef]
- Ingrassia, L.P.; Lu, X.; Marasteanu, M.; Canestrari, F. Tribological Characterization of Graphene Nano-Platelet (GNP) Bituminous Binders. In Airfield and Highway Pavements 2019: Innovation and Sustainability in Highway and Airfield Pavement Technology; American Society of Civil Engineers: Reston, VA, USA, 2019; pp. 96–105. [Google Scholar]
- Yan, T.; Marasteanu, M.; Le, J.-L.; Turos, M.; Cash, K. Development of Superpave 5 Asphalt Mix Designs for Minnesota Pavements; Technical Report; Minnesota Department of Transportation: St. Paul, MN, USA, 2022. [Google Scholar]
- Howard, I.L.; Baumgardner, G.L.; Jordan, W.S.; Menapace, A.M.; Mogawer, W.S.; Hemsley, J.M. Haul time effects on unmodified, foamed, and additive-modified binders used in hot-mix asphalt. Transp. Res. Rec. 2013, 2347, 88–95. [Google Scholar] [CrossRef]
- Howard, I.L.; Doyle, J.D.; Hemsley, J.M.; Baumgardner, G.L.; Cooley, L.A. Emergency paving using hot-mixed asphalt incorporating warm mix technology. Int. J. Pavement Eng. 2014, 15, 202–214. [Google Scholar] [CrossRef]
- Goh, S.W.; You, Z. Warm mix asphalt using sasobit in cold region. In Cold Regions Engineering 2009; Amercian Society of Civil Engineers: Reston, VA, USA, 2009; pp. 288–298. [Google Scholar]
- Kheradmand, B.; Muniandy, R.; Hua, L.T.; Yunus, R.B.; Solouki, A. An overview of the emerging warm mix asphalt technology. Int. J. Pavement Eng. 2014, 15, 79–94. [Google Scholar] [CrossRef]
- Abed, A.; Thom, N.; Grenfell, J.R.A. Evaluation of mixing temperature impact on warm mix asphalt performance. In Bearing Capacity of Roads, Railways and Airfields; CRC Press: Boca Raton, FL, USA, 2017; pp. 251–258. [Google Scholar]
- Yildirim, Y.; Solaimanian, M.; Kennedy, T.W. Mixing and Compaction Temperatures for Hot Mix Asphalt Concrete; Technical Report; Texas Department of Transportation: Austin, TX, USA, 2000. [Google Scholar]
- Bahia, H.U.; Hanson, D.I.; Zeng, M.; Zhai, H.; Khatri, M.A.; Anderson, R.M. Characterization of Modified Asphalt Binders in Superpave Mix Design (NCHRP Report 459); Technical Report; Transportation Research Board: Washington, DC, USA, 2001. [Google Scholar]
- Khatri, A.; Bahia, H.U.; Hanson, D. Mixing and compaction temperature for modified binders using the Superpave gyratory compactor. J. Assoc. Asph. Paving Technol. 2001, 70, 368–402. [Google Scholar]
- Shenoy, A. Determination of the temperature for mixing aggregates with polymer-modified asphalts. Energy 2001, 2, 33–47. [Google Scholar] [CrossRef]
- Reinke, G. Determination of Mixing and Compaction Temperature of PG Binders Using a Steady Shear Flow Test. 2003. Available online: https://engineering.purdue.edu/~spave/old/Technical%20Info/Meetings/Binder%20ETG%20Sept%2003%20Las%20Vegas,%20NV/Reinke_MIX%20AND%20COMPACTINO%20INFO%20FOR%20ETG%209-15-03.pdf (accessed on 1 July 2022).
- West, R.C.; Watson, D.E.; Turner, P.A.; Casola, J.R. Mixing and Compaction Temperatures of Asphalt Binders in Hot-Mix Asphalt. (NCHRP Report 648); Technical Report; Transportation Research Board: Washington, DC, USA, 2010. [Google Scholar]
- Gudimettla, J.M.; Cooley, L.A.; Brown, E.R. Workability of hot-mix asphalt. Transp. Res. Rec. 2004, 1891, 229–237. [Google Scholar] [CrossRef] [Green Version]
- Delgadillo, R.; Bahia, H.U. Parameters to define the laboratory compaction temperature range of hot-mix asphalt. J. Assoc. Asph. Paving Technol. 1998, 67, 125–152. [Google Scholar]
- Canestrari, F.; Ingrassia, L.; Ferrotti, G.; Lu, X. State of the Art of Tribological Tests for Bituminous Binders. Constr. Build. Mater. 2017, 157, 718–728. [Google Scholar] [CrossRef]
- Yan, T.; Turos, M.; Bennett, C.; Garrity, J.; Marasteanu, M. Relating Ndesign to Field Compaction: A Case Study in Minnesota. Transp. Res. Rec. 2022, 2676, 192–201. [Google Scholar] [CrossRef]
- Yan, T.; Le, J.-L.; Marasteanu, M.; Turos, M. A probabilistic model for field density distribution of asphalt pavements. Int. J. Pavement Eng. under revision. 2022. [Google Scholar]
- Aïm, R.B.; Goff, P.L. Effet de paroi dans les empilements désordonnés de sphères et application à la porosité de mélanges binaires. Powder Technol. 1968, 1, 281–290. [Google Scholar] [CrossRef]
- Toufar, W.; Born, M.; Klose, E. Beitrag zur Optimierung der Packungsdichte Polydisperser körniger Systeme. In Freiberger Forschungsheft A 558; VEB Deutscher Verlag für Grundstoffindustrie: Leipzig, Germany, 1976; Volume 72, pp. 29–44. [Google Scholar]
- Goltermann, P.; Johansen, V.; Palbøl, L. Packing of Aggregates: An Alternative Tool to Determine the Optimal Aggregate Mix. ACI Mater. J. 1997, 94, 435–443. [Google Scholar]
- Johansen, V.; Andersen, P. Particle Packing and Concrete Properties. In Materials science of concrete II; American Ceramic Society: Columbus, OH, USA, 1991; pp. 111–149. [Google Scholar]
- De Larrard, F. Concrete Mixture Proportioning, A Scientific Approach; CRC Press: London, UK, 1999. [Google Scholar]
- Olard, F.; Perraton, D. On the optimization of the aggregate packing characteristics for the design of high-performance asphalt concretes. Road Mater. Pavement Des. 2010, 11, 145–169. [Google Scholar] [CrossRef]
- Pouranian, M.R.; Haddock, J.E. A new framework for understanding aggregate structure in asphalt mixtures. Int. J. Pavement Eng. 2019, 22, 11602–11613. [Google Scholar] [CrossRef]
- AASHTO TP105; Standard Method of Test for Determining the Fracture Energy of Asphalt Mixtures Using the Semicircular Bend Geometry (SCB). American Association of State Highway and Transportation Officials: Washington, DC, USA, 2020.
- AASHTO T378; Standard Method of Test for Determining the Dynamic Modulus and Flow Number for Asphalt Mixtures Using the Asphalt Mixture Performance Tester (AMPT). American Association of State Highway and Transportation Officials: Washington, DC, USA, 2017.
- Kim, Y.; Seo, Y.; King, M.; Momen, M. Dynamic modulus testing of asphalt concrete in indirect tension mode. Transp. Res. Rec. 2004, 1891, 163–173. [Google Scholar] [CrossRef]
- AASHTO T312; Standard Method of Test for Preparing and Determining the Density of Asphalt Mixture Specimens by Means of the Superpave Gyratory Compactor. American Association of State Highway and Transportation Officials: Washington, DC, USA, 2019.
- Hekmatfar, A.; McDaniel, R.S.; Shah, A.; Haddock, J.E. Optimizing Laboratory Mixture Design as It Relates to Field Compaction to Improve Asphalt Mixture Durability; Technical Report; Purdue University: West Lafayette, IN, USA, 2001. [Google Scholar]
- Pérez-Jiménez, F.; Martínez, A.H.; Miró, R.; Hernández-Barrera, D.; Araya-Zamorano, L. Effect of compaction temperature and procedure on the design of asphalt mixtures using Marshall and gyratory compactors. Constr. Build. Mater. 2014, 65, 264–269. [Google Scholar] [CrossRef]
- Rahmat, N.A.; Hassan, N.A.; Jaya, R.P.; Satar, M.K.I.M.; Azahar, N.M.; Ismail, S.; Hainin, M.R. Effect of compaction temperature on the performance of dense-graded asphalt mixture. IOP Conf. Ser. Earth Environ. Sci. 2019, 244, 012012. [Google Scholar] [CrossRef]
- Delgadillo, R.; Bahia, H.U. Effects of Temperature and Pressure on Hot Mixed Asphalt Compaction: Field and Laboratory Study. J. Mater. Civ. Eng. 2008, 20, 440–448. [Google Scholar] [CrossRef]
- Azari, H.; McCuen, R.H.; Stuart, K.D. Optimum Compaction Temperature for Modified Binders. J. Transp. Eng. 2003, 129, 531–537. [Google Scholar] [CrossRef]
- Bennert, T.; Reinke, G.; Mogawer, W.; Mooney, K. Assessment of workability and compactability of warm-mix asphalt. Transp. Res. Rec. 2010, 2180, 36–47. [Google Scholar] [CrossRef]











| Mix ID | NMAS (mm) | Binder PG | % AC | % Virgin AC | % RAP | FAA (%) | CAA1 (%) | CAA2 (%) |
|---|---|---|---|---|---|---|---|---|
| Mix-C | 12.5 | 58S-28 | 5.6 | 4.2 | 30 | 42 | 99 | 93 |
| Coefficients | Mix-C | Mix-GNP | Mix-Agg | Mix-GNP&Agg |
|---|---|---|---|---|
| , %/C | 10.42 | 4.32 | 5.63 | 3.74 |
| , % | 71.97 | 85.97 | 83.24 | 87.89 |
| , %Gmm | Mix-C | Mix-GNP | Mix-Agg | Mix-GNP&Agg |
|---|---|---|---|---|
| 93.9 | 128.3 C | <95 C | <95 C | <95 C |
| 95.0 | >135 C | 124.2 C | 123.4 C | <95 C |
Publisher’s Note: MDPI stays neutral with regard to jurisdictional claims in published maps and institutional affiliations. |
© 2022 by the authors. Licensee MDPI, Basel, Switzerland. This article is an open access article distributed under the terms and conditions of the Creative Commons Attribution (CC BY) license (https://creativecommons.org/licenses/by/4.0/).
Share and Cite
Yan, T.; Turos, M.; Le, J.-L.; Marasteanu, M. Reducing Compaction Temperature of Asphalt Mixtures by GNP Modification and Aggregate Packing Optimization. Materials 2022, 15, 6060. https://doi.org/10.3390/ma15176060
Yan T, Turos M, Le J-L, Marasteanu M. Reducing Compaction Temperature of Asphalt Mixtures by GNP Modification and Aggregate Packing Optimization. Materials. 2022; 15(17):6060. https://doi.org/10.3390/ma15176060
Chicago/Turabian StyleYan, Tianhao, Mugurel Turos, Jia-Liang Le, and Mihai Marasteanu. 2022. "Reducing Compaction Temperature of Asphalt Mixtures by GNP Modification and Aggregate Packing Optimization" Materials 15, no. 17: 6060. https://doi.org/10.3390/ma15176060
APA StyleYan, T., Turos, M., Le, J.-L., & Marasteanu, M. (2022). Reducing Compaction Temperature of Asphalt Mixtures by GNP Modification and Aggregate Packing Optimization. Materials, 15(17), 6060. https://doi.org/10.3390/ma15176060

