Bond Behaviors of Steel Fiber in Mortar Affected by Inclination Angle and Fiber Spacing
Abstract
:1. Introduction
2. Experimental
2.1. Preparation of Mortar
2.2. Details of Specimen
2.3. Test Method
3. Test Results and Analyses
3.1. Failure Modes
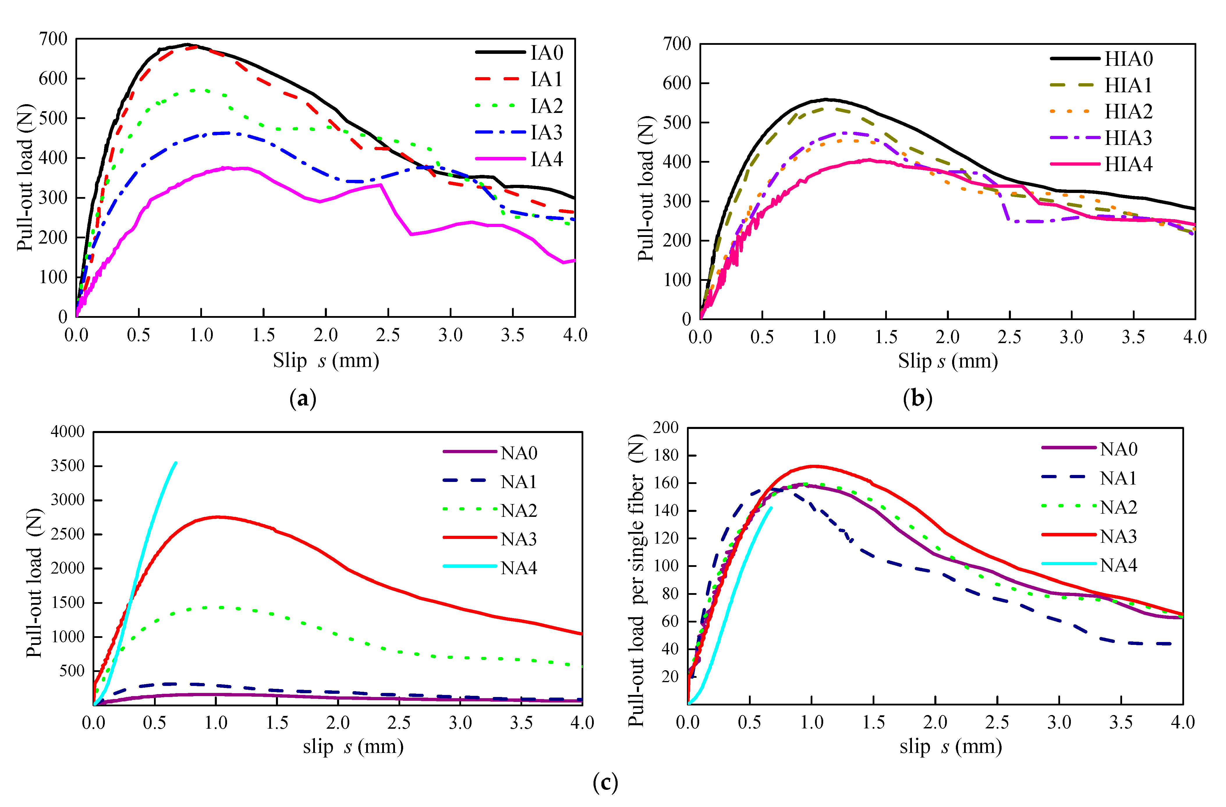
3.2. The Characteristic Pullout Load-Slip Curve
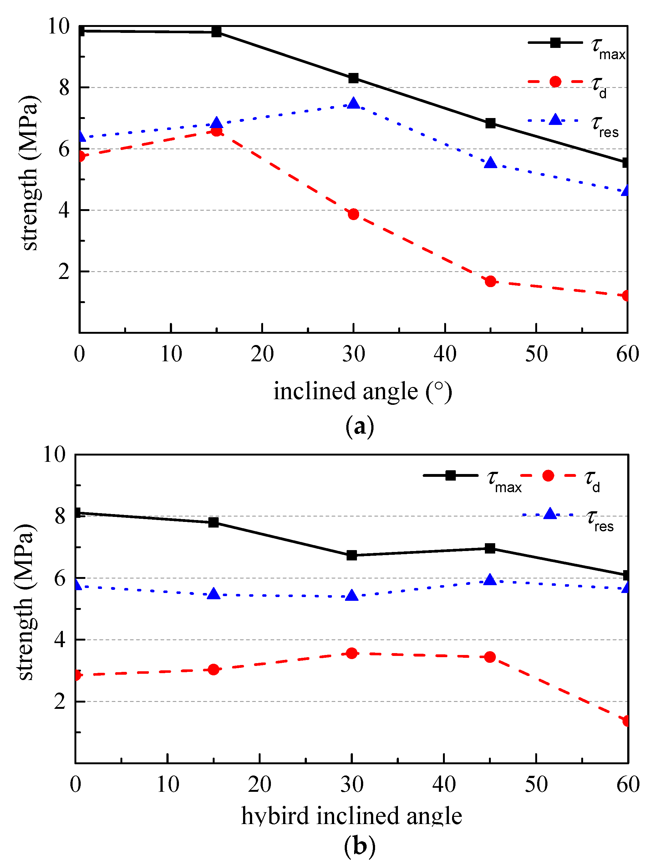
3.3. Bond Strengths and Strength Ratio
3.4. Bond Works
3.5. Energy Ratios
4. Conclusions
Author Contributions
Funding
Institutional Review Board Statement
Informed Consent Statement
Data Availability Statement
Conflicts of Interest
References
- Ministry of Housing and Urban-Rural Development of the People’s Republic of China. Steel Fiber Reinforced Concrete; JG/T 472-2015; China Architecture & Building Press: Beijing, China, 2015. [Google Scholar]
- Zhao, M.L.; Li, J.; Law, D. Effects of flowability on SFRC fibre distribution and properties. Magaz. Concr. Res. 2017, 69, 1043–1054. [Google Scholar] [CrossRef]
- Ding, X.X.; Li, C.Y.; Han, B.; Lu, Y.Z.; Zhao, S.B. Effects of different deformed steel-fibers on preparation and fundamental properties of self-Compacting SFRC. Constr. Build. Mater. 2018, 168, 471–481. [Google Scholar] [CrossRef]
- Zhao, M.L.; Zhao, M.S.; Chen, M.H.; Li, J.; David, L. An experimental study on strength and toughness of steel fiber reinforced expanded-Shale lightweight concrete. Constr. Build. Mater. 2018, 183, 493–501. [Google Scholar] [CrossRef]
- Ding, X.X.; Li, C.Y.; Zhao, M.L.; Li, J.; Geng, H.B.; Lian, L. Tensile strength of self-Compacting steel fiber reinforced concrete evaluated by different test methods. Crystals 2021, 11, 251. [Google Scholar] [CrossRef]
- Li, C.Y.; Shang, P.R.; Li, F.L.; Feng, M.; Zhao, S.B. Shrinkage and mechanical properties of self-Compacting SFRC with calcium sulfoaluminate expansive agent. Materials 2020, 13, 588. [Google Scholar] [CrossRef] [PubMed]
- Ding, X.X.; Li, C.Y.; Li, Y.Z.; Song, C.; Zhao, S.B. Experimental and numerical study on stress-Strain behavior of self-Compacting SFRC under uniaxial compression. Constr. Build. Mater. 2018, 185, 30–38. [Google Scholar] [CrossRef]
- Zhao, M.S.; Zhang, X.Y.; Song, W.H.; Li, C.Y.; Zhao, S.B. Development of steel fiber reinforced expanded-Shale lightweight concrete with high freeze-Thaw resistance. Adv. Mater. Sci. Eng. 2018, 2018, 9573849. [Google Scholar] [CrossRef]
- Cunha, V.M.C.F.; Barros, J.A.O.; Sena-Cruz, J.M. Pullout behavior of steel fibers in self-Compacting concrete. J. Mater. Civ. Eng. 2010, 22, 1–9. [Google Scholar] [CrossRef]
- Zhao, M.L.; Li, J.; Xie, Y.M. Effect of vibration time on steel fibre distribution and flexural properties of steel fibre reinforced concrete with different flowability. Case Stud. Constr. Mater. 2022, 16, e01114. [Google Scholar]
- Abdallah, S.; Fan, M.; Rees, D.W.A. Bonding mechanisms and strength of steel fiber–Reinforced cementitious composites: Overview. J. Mater. Civ. Eng. 2018, 30, 04018001. [Google Scholar] [CrossRef]
- Isla, F.; Arganaraz, P.; Luccioni, B. Numerical modelling of steel fibers pull-Out from cementitious matrixes. Constr. Build. Mater. 2022, 332, 127373. [Google Scholar] [CrossRef]
- Chun, B.; Kim, S.; Yoo, D.Y. Benefits of chemically treated steel fibers on enhancing the interfacial bond strength from ultra-high-Performance concrete. Constr. Build. Mater. 2021, 294, 123519. [Google Scholar] [CrossRef]
- Ding, X.X.; Zhao, M.L.; Li, C.Y.; Li, J.; Zhao, X.S. A multi-Index synthetical evaluation of pull-Out behaviors of hooked-End steel fiber embedded in mortars. Constr. Build. Mater. 2021, 276, 122219. [Google Scholar] [CrossRef]
- Yuan, M.; Liang, E.; Yan, D.H.; Wei, B.D.; Liu, Y.; Huang, L. Investigation on effect of mixture ratio on interfacial bonding properties of steel fiber-Matrix. J. Chang. Univ. Nat. Sci. Ed. 2020, 40, 57–66. [Google Scholar]
- Ding, X.X.; Geng, H.B.; Zhao, M.L.; Chen, Z.; Li, J. Synergistic bond properties of different deformed steel fibers embedded in mortars wet-Sieved from self-Compacting SFRC. Appl. Sci. 2021, 11, 10144. [Google Scholar] [CrossRef]
- Esmaeili, J.; Andalibi, K.; Gencel, O.; Maleki, F.K.; Maleki, V.A. Pull-Out and bond-Slip performance of steel fibers with various ends shapes embedded in polymer-Modified concrete. Constr. Build. Mater. 2021, 271, 121531. [Google Scholar] [CrossRef]
- Zhan, Y.; Meschke, G. Analytical model for the pullout behavior of straight and hooked-End steel fibers. J. Eng. Mech. 2014, 140, 04014091. [Google Scholar] [CrossRef]
- Huang, L.; Yuan, M.; Wei, B.D.; Yan, D.H.; Liu, Y. Experimental investigation on single fiber pullout behaviour on steel fiber-Matrix of reactive powder concrete (RPC). Constr. Build. Mater. 2022, 318, 125899. [Google Scholar] [CrossRef]
- Chen, L.; Sun, W.W.; Chen, B.C.; Shi, Z.; Lai, J.Z.; Feng, J. Multiscale study of fibre orientation effect on pullout and tensile behavior of steel fibre reinforced concrete. Constr.Build. Mater. 2021, 283, 122506. [Google Scholar] [CrossRef]
- Huo, L.Y.; Bi, J.H.; Zhao, Y.; Wang, Z.Y. Constitutive model of steel fiber reinforced concrete by coupling the fiber inclining and spacing effect. Constr. Build. Mater. 2021, 280, 122423. [Google Scholar] [CrossRef]
- Lee, Y.; Kang, S.T.; Kim, J.K. Pullout behavior of inclined steel fiber in an ultra-High strength cementitious matrix. Constr. Build. Mater. 2010, 24, 2030–2041. [Google Scholar] [CrossRef]
- Yoo, D.Y.; Choi, H.J.; Kim, S.H. Bond-Slip response of novel half-Hooked steel fibers in ultra-High-Performance concrete. Constr. Build. Mater. 2019, 224, 743–761. [Google Scholar] [CrossRef]
- Cao, Y.Y.Y.; Yu, Q.L. Effect of inclination angle on hooked end steel fiber pullout behavior in ultra-High performance concrete. Compos. Struct. 2018, 201, 151–160. [Google Scholar] [CrossRef]
- Wang, X.W.; Guo, R.; Tian, W.L.; Zhao, X.Y. Experimental investigation of the bonding and slipping performance of the deformed steel-Fiber. J.-Hebei Univ. Technol. 2007, 36, 110–114. [Google Scholar]
- Sun, W.; Gao, J.M.; Qin, H.G. Studies on bond strength of interface between fiber and matrix in steel fiber reinforced concrete. J. Chin. Ceram. Soci. 1985, 13, 292–300. [Google Scholar]
- Qi, J.; Wu, Z.; Ma, Z.J.; Wang, J. Pullout behavior of straight and hooked-End steel fibers in UHPC matrix with various embedded angles. Constr. Build. Mater. 2018, 191, 764–774. [Google Scholar] [CrossRef]
- Zhang, J.; Li, V.C. Effect of inclination angle on fiber rupture load in fiber reinforced cementitious composites. Compos. Sci. Technol. 2002, 62, 775–781. [Google Scholar] [CrossRef]
- Laranjeira, F.; Aguado, A.; Molins, C. Predicting the pullout response of inclined straight steel fibers. Mater. Struct. 2010, 43, 875–895. [Google Scholar] [CrossRef]
- Krahl, P.A.; Gidrão, G.D.M.S.; Neto, R.B.; Carrazedo, R. Effect of curing age on pullout behavior of aligned and inclined steel fibers embedded in UHPFRC. Constr. Build. Mater. 2021, 266, 121188. [Google Scholar] [CrossRef]
- Feng, H.; Sheikh, M.N.; Hadi, M.N.; Feng, L.; Gao, D.; Zhao, J. Pullout behaviour of different types of steel fibres embedded in magnesium phosphate cementitious matrix. Int. J. Concr. Struct. Mater. 2019, 13, 33. [Google Scholar] [CrossRef]
- Kim, J.J.; Yoo, D.Y. Effects of fiber shape and distance on the pullout behavior of steel fibers embedded in ultra-High-Performance concrete. Cem. Concr. Compos. 2019, 103, 213–223. [Google Scholar] [CrossRef]
- Yoo, D.Y.; Kim, J.J.; Park, J.J. Effect of fiber spacing on dynamic pullout behavior of multiple straight steel fibers in ultra-High-Performance concrete. Constr. Build. Mater. 2019, 210, 461–472. [Google Scholar] [CrossRef]
- CECS13:2009; China Association for Engineering Construction Standardization. Standard Test Methods for Fiber Reinforced Concrete. China Planning Press: Beijing, China, 2009.
- GB/T17671-1999; The State Bureau of Quality Technical Supervision. Method of Testing Cements-Determination of Strength. The State Bureau of Quality Technical Supervision: Beijing, China, 1999.
- Breitenbücher, R.; Meschke, G.; Song, F.; Zhan, Y. Experimental, analytical and numerical analysis of the pullout behaviour of steel fibres considering different fibre types, inclinations and concrete strengths. Struct. Concr. 2014, 15, 126–135. [Google Scholar] [CrossRef]
- Xu, J.E.; Sun, J.Y.; Luo, G.D. Experimental study on the bond between steel fiber and concrete by orthogonal design. In Proceedings of the Fourth China Academic Conference on Fiber Reinforced Cement and Concrete, Nanjing, China, 10 November 1992. [Google Scholar]
- Yang, M. Strengthening and Toughening Mechanism of Steel Fiber Reinforced High-Strength Concrete and Design Method Based on Toughness. Ph.D. Thesis, Dalian University of Technology, Dalian, China, 2006. [Google Scholar]










| Mix Proportion | Water to binder ratio w/b | 0.31 |
| Water (kg/m3) | 277.9 | |
| Cement (kg/m3) | 627.6 | |
| Fly ash (kg/m3) | 269.0 | |
| Manufactured sand (kg/m3) | 1110.4 | |
| Water reducer (kg/m3) | 8.06 | |
| Micro slump flow (mm) | 250 | |
| Trials | Embedded Length (mm) | Fixed Length (mm) | Fiber Number | Inclination Angle (°) | Fiber Spacing (mm) | Influence Factor | |||
|---|---|---|---|---|---|---|---|---|---|
| Fiber 1 | Fiber 2 | Fiber 3 | Fiber 4 | ||||||
| IA0 | 10 | 18.8 | 4 | 0 | 0 | 0 | 0 | 15 | Inclination angle for two pairs of steel fibers |
| IA1 | 10 | 18.8 | 4 | 15 | 15 | 15 | 15 | / | |
| IA2 | 10 | 18.8 | 4 | 30 | 30 | 30 | 30 | / | |
| IA3 | 10 | 18.8 | 4 | 45 | 45 | 45 | 45 | / | |
| IA4 | 10 | 18.8 | 4 | 60 | 60 | 60 | 60 | / | |
| HIA0 | 12 | 16.8 | 4 | 0 | 0 | 0 | 0 | 15 | Inclination angle for a pair of steel fibers |
| HIA1 | 12 | 16.8 | 4 | 0 | 15 | 0 | 15 | / | |
| HIA2 | 12 | 16.8 | 4 | 0 | 30 | 0 | 30 | / | |
| HIA3 | 12 | 16.8 | 4 | 0 | 45 | 0 | 45 | / | |
| HIA4 | 12 | 16.8 | 4 | 0 | 60 | 0 | 60 | / | |
| NA0 | 11 | 17.8 | 1 | 0 | 0 | 0 | 0 | / | Fiber spacing |
| NA1 | 11 | 17.8 | 2 | 21.2 | |||||
| NA2 | 11 | 17.8 | 9 | 7.5 | |||||
| NA3 | 11 | 17.8 | 16 | 5 | |||||
| NA4 | 11 | 17.8 | 25 | 3.5 | |||||
| Trials | Peak Point | Debonding Point | Residual Point | |||
|---|---|---|---|---|---|---|
| Pp (N) | sp (mm) | Pd (N) | sd (mm) | Pr (N) | sr (mm) | |
| IA0 | 685.2 | 0.904 | 424.8 | 0.243 | 363.9 | 2.893 |
| IA1 | 678.8 | 0.967 | 481.8 | 0.348 | 413.8 | 2.321 |
| IA2 | 572.8 | 1.013 | 286.4 | 0.196 | 471.3 | 1.925 |
| IA3 | 464.8 | 1.169 | 125.5 | 0.080 | 338.3 | 2.221 |
| IA4 | 375.6 | 1.220 | 90.2 | 0.153 | 289.9 | 1.952 |
| HIA0 | 559 | 1.028 | 212.4 | 0.137 | 325.1 | 2.980 |
| HIA1 | 535.7 | 1.055 | 225.0 | 0.175 | 331.6 | 2.321 |
| HIA2 | 455.7 | 1.215 | 259.7 | 0.379 | 320.4 | 2.552 |
| HIA3 | 474.5 | 1.135 | 251.5 | 0.346 | 373.3 | 1.930 |
| HIA4 | 406.1 | 1.370 | 101.5 | 0.170 | 338.3 | 2.466 |
| NA0 | 159.3 | 0.946 | 113.1 | 0.380 | 95.9 | 2.458 |
| NA1 | 312.4 | 0.842 | 203.0 | 0.216 | 190.8 | 2.007 |
| NA2 | 1437.3 | 0.984 | 1078.2 | 0.378 | 714.6 | 2.792 |
| NA3 | 2755.2 | 1.020 | 2176.0 | 0.503 | 1569.6 | 2.672 |
| NA4 | 3550.0 | 0.674 | 3301.5 | 0.607 | - | - |
| Series | IA0 | IA1 | IA2 | IA3 | IA4 |
|---|---|---|---|---|---|
| usf (%) | 75.9 | 75.2 | 63.4 | 51.5 | 41.6 |
| ude (%) | 58.5 | 67.2 | 46.5 | 24.5 | 21.9 |
| ures (%) | 64.7 | 69.5 | 89.7 | 80.6 | 82.8 |
| Series | HIA0 | HIA1 | HIA2 | HIA3 | HIA4 |
| usf (%) | 61.9 | 59.3 | 50.5 | 52.5 | 45.0 |
| ude (%) | 35.1 | 38.9 | 52.9 | 49.4 | 22.5 |
| ures (%) | 70.7 | 70.0 | 80.3 | 84.9 | 92.9 |
| Series | NA0 | NA1 | NA2 | NA3 | NA4 |
| usf (%) | 70.6 | 69.2 | 70.8 | 76.3 | - |
| ude (%) | 67.5 | 61.5 | 71.1 | 75.4 | - |
| ures (%) | 69.7 | 68.2 | 59.5 | 67.1 | - |
| Series | IA0 | IA1 | IA2 | IA3 | IA4 |
|---|---|---|---|---|---|
| Wd (N∙mm) | 59 | 78 | 32 | 5 | 8 |
| Wp (N∙mm) | 465 | 469 | 438 | 407 | 308 |
| Wr (N∙mm) | 1543 | 1233 | 892 | 795 | 556 |
| Series | HIA0 | HIA1 | HIA2 | HIA3 | HIA4 |
| Wd (N∙mm) | 12 | 20 | 54 | 40 | 89 |
| Wp (N∙mm) | 422 | 408 | 387 | 349 | 386 |
| Wr (N∙mm) | 1276 | 967 | 893 | 691 | 794 |
| Series | NA0 | NA1 | NA2 | NA3 | NA4 |
| Wd/n (N∙mm) | 25 | 11 | 28 | 40 | 37 |
| Wp/n (N∙mm) | 108 | 101 | 117 | 123 | -- |
| Wr/n (N∙mm) | 292 | 239 | 337 | 352 | -- |
Publisher’s Note: MDPI stays neutral with regard to jurisdictional claims in published maps and institutional affiliations. |
© 2022 by the authors. Licensee MDPI, Basel, Switzerland. This article is an open access article distributed under the terms and conditions of the Creative Commons Attribution (CC BY) license (https://creativecommons.org/licenses/by/4.0/).
Share and Cite
Ding, X.; Zhao, M.; Li, H.; Zhang, Y.; Liu, Y.; Zhao, S. Bond Behaviors of Steel Fiber in Mortar Affected by Inclination Angle and Fiber Spacing. Materials 2022, 15, 6024. https://doi.org/10.3390/ma15176024
Ding X, Zhao M, Li H, Zhang Y, Liu Y, Zhao S. Bond Behaviors of Steel Fiber in Mortar Affected by Inclination Angle and Fiber Spacing. Materials. 2022; 15(17):6024. https://doi.org/10.3390/ma15176024
Chicago/Turabian StyleDing, Xinxin, Mingshuang Zhao, Hang Li, Yuying Zhang, Yuanyuan Liu, and Shunbo Zhao. 2022. "Bond Behaviors of Steel Fiber in Mortar Affected by Inclination Angle and Fiber Spacing" Materials 15, no. 17: 6024. https://doi.org/10.3390/ma15176024
APA StyleDing, X., Zhao, M., Li, H., Zhang, Y., Liu, Y., & Zhao, S. (2022). Bond Behaviors of Steel Fiber in Mortar Affected by Inclination Angle and Fiber Spacing. Materials, 15(17), 6024. https://doi.org/10.3390/ma15176024

