Fracture Behavior and Digital Image Analysis of GFRP Reinforced Concrete Notched Beams
Abstract
:1. Introduction
2. Research Significance
3. Materials and Testing Methods
3.1. GFRP Bars and Concrete
3.2. Specimen Preparation and Test Methods
4. Experimental Results
4.1. Load Responses
4.2. Responses from the Free End of the GFRP Bar
4.3. F-Δ Responses from Digital Image Analysis
5. Failure Modes
6. Discussion
6.1. Fracture Energy
6.2. Elastic Modulus from CMOD
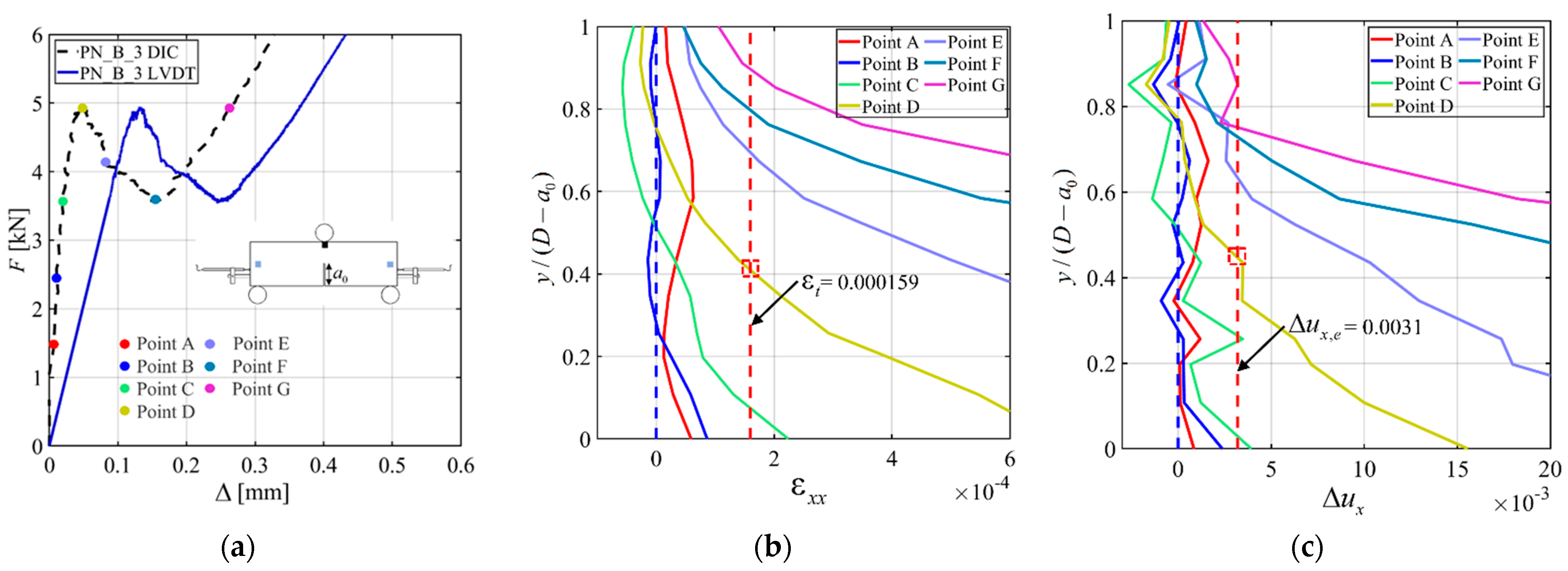
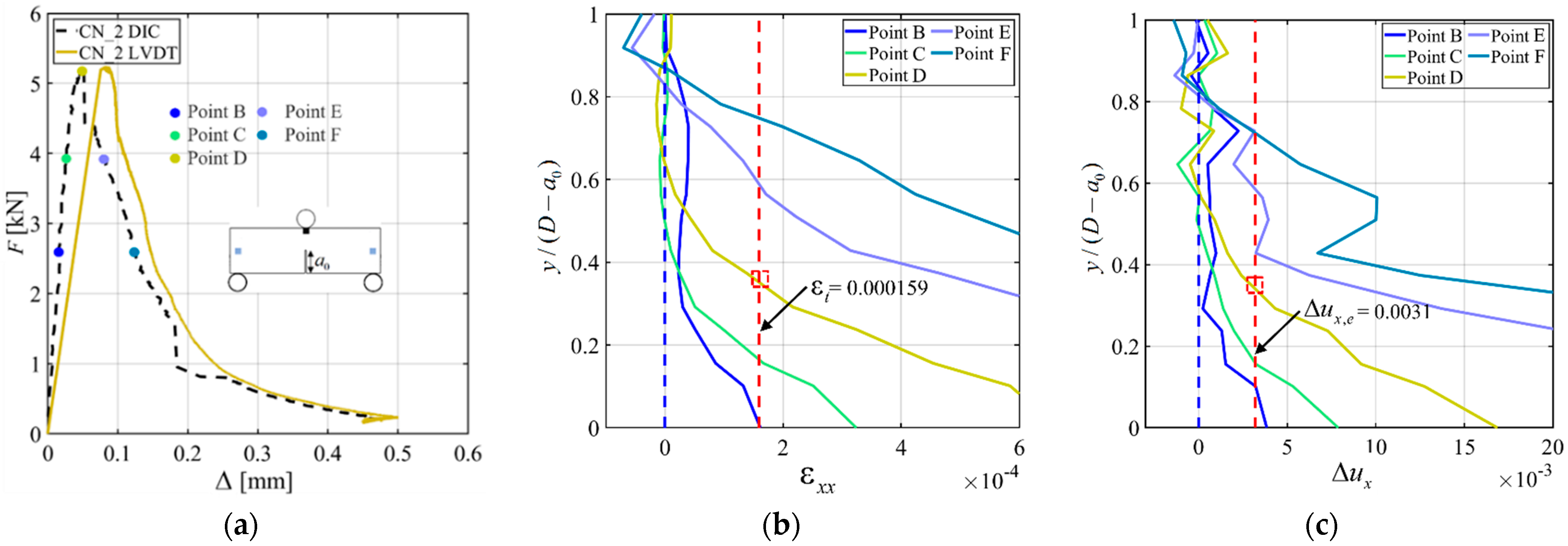
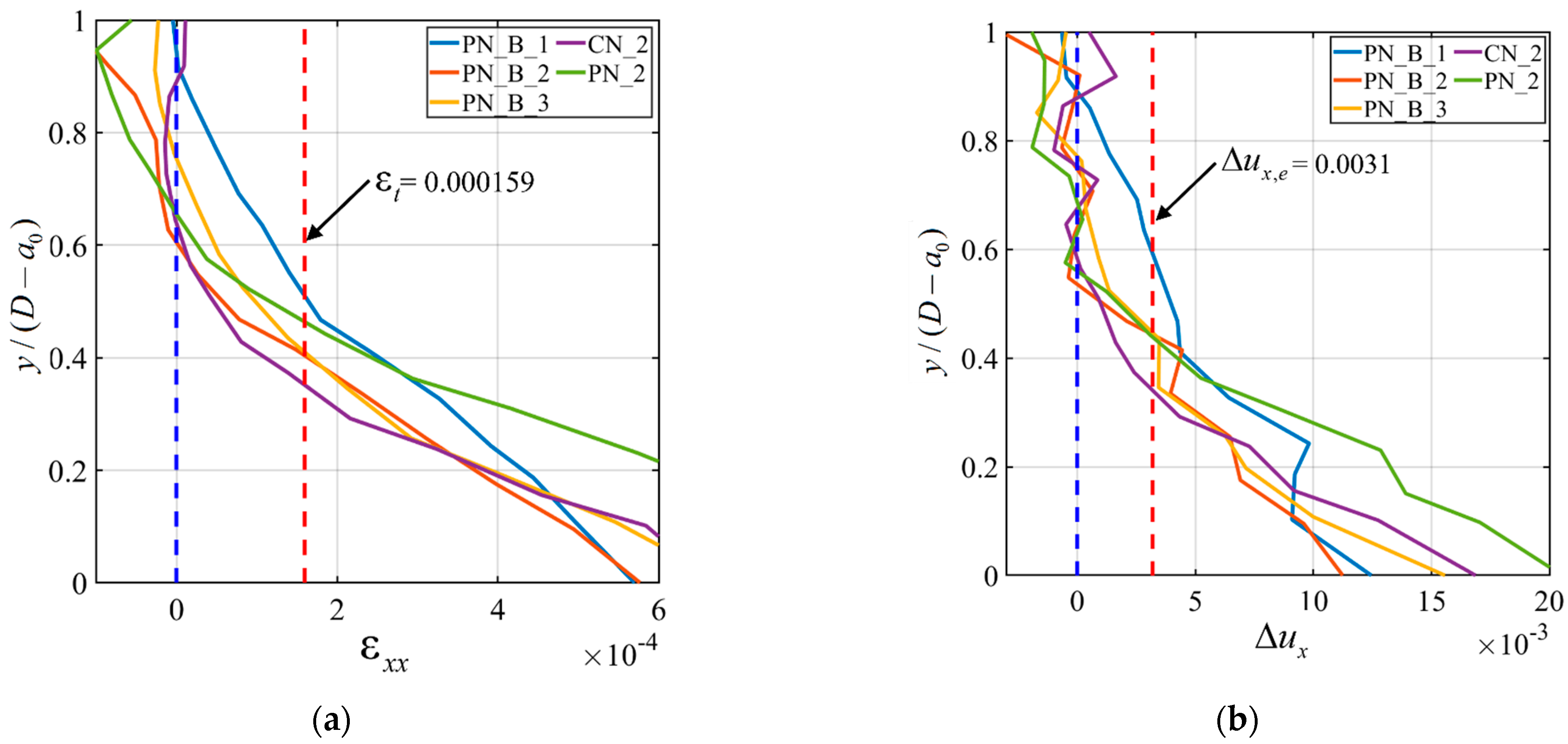
6.3. Strain and Displacement Profiles Using Digital Image Analysis
6.4. Force in the GFRP Bar and Comparison with the Pull-Out Test
6.5. Contour Plots from Digital Image Analysis
7. Conclusions
- For notched beams without the GFRP reinforcement, the load responses and peak loads of specimens with cast or saw-cut notch were consistent and indicated that both solutions are acceptable to determine the fracture response of concrete.
- Notched beams reinforced with a GFRP bar exhibited an initial response almost identical to that of specimens without the GFRP bar until the first peak. After the peak, beams without the bar had a long-tail descending part until nominally zero load was reached. On the other hand, the response of the beams with the GFRP bar deviated from that of the beams without the bar in the descending part and started to increase again, which indicated the increasing engagement of the bar.
- The computation of the fracture energy GF of concrete (using the beams without the bar) was not affected by whether the notch was cast or saw cut.
- The computation of the elastic modulus from the initial linear branch of the load versus CMOD response indicated that the bar had a limited effect on the load response prior to the attainment of the first peak load.
- The size of the fracture process zone (FPZ) did not seem to be affected by the presence of the GFRP bar.
- The crack path appeared to be more tortuous for the beams reinforced with the GFRP bar.
- The force in the bar versus the slip at the beginning of the bonded area in notched beams was compared with the load versus loaded end slip of the pull-out tests. It was concluded that, in terms of the bond behavior, pull-out tests could be assumed as an upper bound with respect to the bond phenomenon in structural elements where bending is present.
Author Contributions
Funding
Data Availability Statement
Acknowledgments
Conflicts of Interest
References
- Benzecry, V.; Al-Khafaji, A.F.; Haluza, R.T.; Bakis, C.E.; Myers, J.J.; Nanni, A. Durability Assessment of 15- to 20-Year-Old GFRP Bars Extracted from Bridges in the US. I: Selected Bridges, Bar Extraction, and Concrete Assessment. J. Compos. Constr. 2021, 25, 04021007. [Google Scholar] [CrossRef]
- Jabbar, S.A.; Farid, S.B.H. Replacement of steel rebars by GFRP rebars in the concrete structures. Karbala Int. J. Mod. Sci. 2018, 4, 216–227. [Google Scholar] [CrossRef]
- Ballinger, C.; Maeda, T.; Hoshijima, T. Strengthening of reinforced concrete chimneys, columns and beams with carbon fiber reinforced plastics. SP-138-15: Fiber-Reinforced-Plastic Reinforcement for Concrete Structures—International Symposium. Spec. Publ. 1993, 138, 233–248. [Google Scholar]
- Taerwe, L.; Matthys, S. FRP reinforcement in RC structures. Bulletin No. 40 2007, 160. [Google Scholar] [CrossRef]
- Zhao, X.; Rahman, M.M.; D’Antino, T.; Focacci, F.; Carloni, C. Effect of Bonded Length on the Load Response and Failure Mode of Pull-Out Tests of GFRP Bars Embedded in Concrete. Constr. Build. Mater. 2022, 347, 128425. [Google Scholar] [CrossRef]
- Farhangi, V.; Karakouzian, M. Effect of Fiber Reinforced Polymer Tubes Filled with Recycled Materials and Concrete on Structural Capacity of Pile Foundations. Appl. Sci. 2020, 10, 1554. [Google Scholar] [CrossRef]
- Chai, L.-J.; Guo, L.-P.; Chen, B.; Carpinteri, A.; Scorza, D.; Vantadori, S. Effects of BFRP Bar Diameter and Cover Thickness on Fracture Behavior of BFRP Bar–Reinforced Ecological High-Ductility Cementitious Composites. J. Test. Eval. 2021, 49, 20200528. [Google Scholar] [CrossRef]
- Rolland, A.; Quiertant, M.; Khadour, A.; Chataigner, S.; Benzarti, K.; Argoul, P. Experimental investigations on the bond behavior between concrete and FRP reinforcing bars. Constr. Build. Mater. 2018, 173, 136–148. [Google Scholar] [CrossRef]
- Lago, B.D.; Taylor, S.E.; Deegan, P.; Ferrara, L.; Sonebi, M.; Crosset, P.; Pattarini, A. Full-scale testing and numerical analysis of a precast fibre reinforced self-compacting concrete slab pre-stressed with basalt fibre reinforced polymer bars. Compos. Part B Eng. 2017, 128, 120–133. [Google Scholar] [CrossRef]
- General Characteristics of GFRP Fiberglass Rebar|TUF-BAR. 2018. Available online: https://www.tuf-bar.com/general-characteristics-of-gfrp-fiberglass-rebar/ (accessed on 27 July 2022).
- Caratelli, A.; Meda, A.; Rinaldi, Z.; Spagnuolo, S.; Maddaluno, G. Optimization of GFRP reinforcement in precast segments for metro tunnel lining. Compos. Struct. 2017, 181, 336–346. [Google Scholar] [CrossRef]
- ACI Committee 440, American Concrete Institute. Guide for the Design and Construction of Externally Bonded FRP Systems for Strengthening Concrete Structures; American Concrete Institute: Farmington Hills, MI, USA, 2017. [Google Scholar]
- Federation Internationale du Beton. fib Bulletin 90. Externally Applied FRP Reinforcement for Concrete Structures; The International Federation for Structural Concrete: Lausanne, Switzerland, 2019. [Google Scholar] [CrossRef]
- National Research Council. Guide for the Design and Construction of Externally Bonded FRP Systems for Strengthening Existing Structures; CNR-DT 200/R1; National Research Council: Rome, Italy, 2013.
- Habeeb, M.N.; Ashour, A.F. Flexural Behavior of Continuous GFRP Reinforced Concrete Beams. J. Compos. Constr. 2008, 12, 115–124. [Google Scholar] [CrossRef]
- Saleh, Z.; Goldston, M.; Remennikov, A.M.; Sheikh, M.N. Flexural design of GFRP bar reinforced concrete beams: An appraisal of code recommendations. J. Build. Eng. 2019, 25, 100794. [Google Scholar] [CrossRef]
- Mazaheripour, H.; Barros, J.A.O.; Sena-Cruz, J.M.; Pepe, M.; Martinelli, E. Experimental study on bond performance of GFRP bars in self-compacting steel fiber reinforced concrete. Compos. Struct. 2013, 95, 202–212. [Google Scholar] [CrossRef]
- Zhu, Y. Studies on Fracture and Crack Resistance of Concrete. Ph.D. Thesis, Dalian University of Technology, Dalian, China, 2009. [Google Scholar]
- Elices, M.; Guinea, G.V.; Planas, J. Measurement of the fracture energy using three-point bend tests: Part 3—Influence of cutting the P-δ tail. Mater. Struct. 1992, 25, 327–334. [Google Scholar] [CrossRef]
- Hu, S.-W.; Mi, Z.-X. Experimental Study on Double-K Fracture Characteristics of Standard Reinforced Concrete Three-Point Beam. J. Build. Struct. 2013, 34, 152–157. [Google Scholar] [CrossRef]
- Fan, X.-Q.; Hu, S.-W.; Zhu, H.T.; Lu, J. Double-K Fracture Characteristics of Three Point Bending Beams of Non-standard Reinforced Concrete. J. Build. Mater. 2015, 18, 733–736. [Google Scholar]
- Hillerborg, A. The theoretical basis of a method to determine the fracture energy G F of concrete. Mater. Struct. 1985, 18, 291–296. [Google Scholar] [CrossRef]
- Bažant, Z.P. Mechanics of Geomaterials: Rocks, Concretes, Soils; International Union of Theoretical and Applied Mechanics, Ed.; Wiley: Chichester, UK, 1985. [Google Scholar]
- Bažant, Z.P.; Planas, J. Fracture and Size Effect in Concrete and Other Quasibrittle Materials; CRC Press: Boca Raton, FL, USA, 1998. [Google Scholar]
- Hillerborg, A. Results of three comparative test series for determining the fracture energyGF of concrete. Mater. Struct. 1985, 18, 407–413. [Google Scholar] [CrossRef]
- C09 Committee. Test Method for Slump of Hydraulic-Cement Concrete; ASTM International: West Conshohocken, PA, USA, 2020. [Google Scholar] [CrossRef]
- C09 Committee. Test Method for Compressive Strength of Cylindrical Concrete Specimens; ASTM International: West Conshohocken, PA, USA, 2021. [Google Scholar] [CrossRef]
- ACI Committee 318, American Concrete Institute. Building Code Requirements for Structural Concrete (ACI 318-11) and Commentary: An ACI Standard. 1. Print; American Concrete Institute: Farmington Hills, MI, USA, 2011. [Google Scholar]
- Sireg Geotech S r. l. Glasspree Technical Data Sheet (provided privately by the manufacturer) 2017.
- Baietti, G.; Carabba, L.; Quartarone, G.; Carloni, C.; Manzi, S.; Bignozzi, M.C. Fracture properties of alkali activated mortars. In Proceedings of the International Conference on Fracture Mechanics of Concrete and Concrete Structures, Bayonne, France, 23–26 June 2019. [Google Scholar] [CrossRef]
- Baietti, G.; Quartarone, G.; Carabba, L.; Manzi, S.; Carloni, C.; Bignozzi, M.C. Use of digital image analysis to determine fracture properties of alkali-activated mortars. Eng. Fract. Mech. 2020, 240, 107313. [Google Scholar] [CrossRef]
- Carloni, C.; Santandrea, M.; Baietti, G. Influence of the width of the specimen on the fracture response of concrete notched beams. Eng. Fract. Mech. 2019, 216, 106465. [Google Scholar] [CrossRef]
- Sutton, M.A.; Orteu, J.-J.; Schreier, H.W. Image Correlation for Shape, Motion and Deformation Measurements: Basic Concepts, Theory and Applications; Springer: New York, NY, USA, 2009. [Google Scholar]
- Darwin, D.; Barham, S.; Kozul, R.; Luan, S. Fracture Energy of High-Strength Concrete. ACI Mater. J. 2001, 98, 410–417. [Google Scholar] [CrossRef]
- Hoover, C.G.; PBažant, Z. Comprehensive concrete fracture tests: Size effects of Types 1 & 2, crack length effect and postpeak. Eng. Fract. Mech. 2013, 110, 281–289. [Google Scholar] [CrossRef]
- Gerstle, W. Progress in Developing a Standard Fracture Toughness Test for Concrete. In Structures Congress 2010; American Society of Civil Engineers: Orlando, FL, USA, 2010; pp. 1915–1926. [Google Scholar] [CrossRef]
- Tada, H.; Paris, P.C.; Irwin, G.R. The Stress Analysis of Cracks Handbook, 3rd ed.; ASME Press: New York, NY, USA, 2000. [Google Scholar]
- Bažant, Z.P.; Kazemi, M.T. Determination of fracture energy, process zone longth and brittleness number from size effect, with application to rock and conerete. Int. J. Fract. 1990, 44, 111–131. [Google Scholar] [CrossRef]
- Hibbeler, R.C. Structural Analysis, 8th ed.; Prentice Hall: Boston, MA, USA, 2012. [Google Scholar]
- Peterson, P.E. Crack Growth and Development of Fracture Zones in Plain Concrete and Similar Materials. Ph.D. Thesis, Lund University, Lund, Sweden, 1981. Report No. TVBM-1006. [Google Scholar]
- Standard Test Method for Bond Strength of Fiber-Reinforced Polymer Matrix Composite Bars to Concrete by Pullout Testing n.d. Available online: https://www.astm.org/d7913_d7913m-14.html (accessed on 3 June 2022).




















| GFRP Bar | Ultimate Load [kN] | Tensile Strength [MPa] | Average Tensile Strength [MPa] (CoV) |
|---|---|---|---|
| 1 | 129.40 | 1019 | 1025 (0.004) |
| 2 | 130.05 | 1024 | |
| 3 | 131.81 | 1030 |
| Specimen | D (CoV) [mm] | B (CoV) [mm] | L (CoV) [mm] | S [mm] | Weight [N] | a0 (CoV) [mm] | Fmax [kN] | (CoV) [kN] |
|---|---|---|---|---|---|---|---|---|
| PN_B_1 | 152.4 (0.012) | 557.2 (0.001) | 155.6 (0.011) | 457.2 | 296.3 | 76.2 (n/a) | 5.32 | 5.22 (0.036) |
| PN_B_2 | 155.6 (0.016) | 557.2 (0.004) | 152.4 (0.000) | 457.2 | 295.3 | 76.2 (n/a) | 5.31 | |
| PN_B_3 | 150.8 (0.011) | 557.2 (0.002) | 155.6 (0.012) | 457.2 | 289.4 | 76.2 (n/a) | 4.89 | |
| PN_B_4 | 152.4 (0.006) | 558.8 (0.002) | 152.4 (0.000) | 457.2 | 293.3 | 76.2 (n/a) | 5.36 | |
| CN_1 | 157.2 (0.016) | 562 (0.002) | 157.2 (0.011) | 457.2 | 307.1 | 79.4 (0.043) | 5.65 | 5.38 (0.035) |
| CN_2 | 155.6 (0.006) | 562 (0.001) | 154.0 (0.006) | 457.2 | 305.1 | 79.4 (0.021) | 5.24 | |
| CN_3 | 157.2 (0.006) | 562 (0.002) | 155.6 (0.006) | 457.2 | 305.1 | 77.8 (0.021) | 5.26 | |
| PN_1 | 158.8 (0.012) | 560.4 (0.000) | 155.6 (0.006) | 457.2 | 310.9 | 76.7 (0.012) | 5.58 | 5.21 (0.071) |
| PN_2 | 157.2 (0.012) | 560.4 (0.002) | 155.6 (0.006) | 457.2 | 305.1 | 75.7 (0.012) | 4.84 |
| Specimen | [N/m] | [N/m] (CoV) | [GPa] | [GPa] (CoV) |
|---|---|---|---|---|
| PN_B_1 | - | - | 30.3 | 25.9 (0.108) |
| PN_B_2 | - | 25.9 | ||
| PN_B_3 | - | 25.0 | ||
| PN_B_4 | - | 22.5 | ||
| CN_1 | 74.3 | 81.3 (0.111) | 26.8 | 25.5 (0.043) |
| CN_2 | 75.2 | 25.5 | ||
| CN_3 | 93.8 | 24.1 | ||
| PN_1 | 90.2 | 86.2 (0.045) | 28.8 | 27.2 (0.058) |
| PN_2 | 82.3 | 25.6 |
Publisher’s Note: MDPI stays neutral with regard to jurisdictional claims in published maps and institutional affiliations. |
© 2022 by the authors. Licensee MDPI, Basel, Switzerland. This article is an open access article distributed under the terms and conditions of the Creative Commons Attribution (CC BY) license (https://creativecommons.org/licenses/by/4.0/).
Share and Cite
Rahman, M.M.; Zhao, X.; D’Antino, T.; Focacci, F.; Carloni, C. Fracture Behavior and Digital Image Analysis of GFRP Reinforced Concrete Notched Beams. Materials 2022, 15, 5981. https://doi.org/10.3390/ma15175981
Rahman MM, Zhao X, D’Antino T, Focacci F, Carloni C. Fracture Behavior and Digital Image Analysis of GFRP Reinforced Concrete Notched Beams. Materials. 2022; 15(17):5981. https://doi.org/10.3390/ma15175981
Chicago/Turabian StyleRahman, Mohammod Minhajur, Xudong Zhao, Tommaso D’Antino, Francesco Focacci, and Christian Carloni. 2022. "Fracture Behavior and Digital Image Analysis of GFRP Reinforced Concrete Notched Beams" Materials 15, no. 17: 5981. https://doi.org/10.3390/ma15175981
APA StyleRahman, M. M., Zhao, X., D’Antino, T., Focacci, F., & Carloni, C. (2022). Fracture Behavior and Digital Image Analysis of GFRP Reinforced Concrete Notched Beams. Materials, 15(17), 5981. https://doi.org/10.3390/ma15175981

