Mechanical and Pore Properties of Concrete Using Basalt-Based Recycled Aggregates According to Mixture Conditions
Abstract
1. Introduction
2. Experimental Methods
2.1. Experimental Plan
2.2. Experimental Materials
2.3. Experimental Methods
3. Results and Discussion
3.1. Slump
3.2. Air Content
3.3. Compressive Strength
3.4. Flexural Strength
3.5. Modulus of Elasticity
3.6. Depth of Accelerated Carbonation
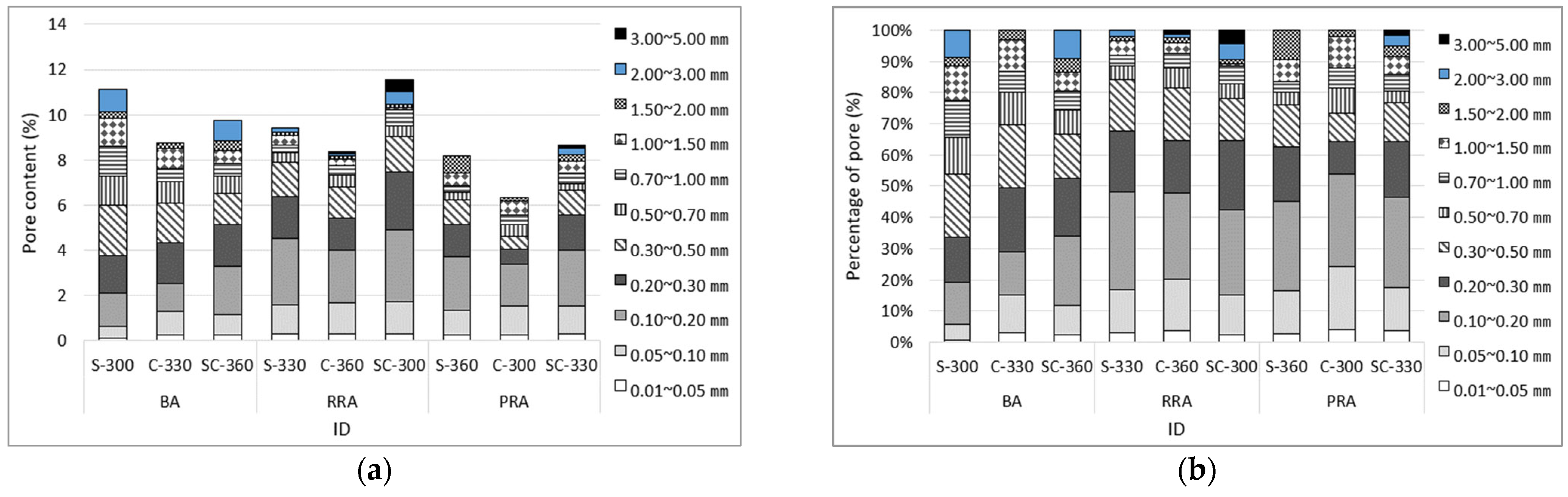
3.7. Pore Properties
3.8. Multiple Regression and Correlation Analysis
4. Conclusions
- The change in slump based on the replacement of the improved basalt-based recycled aggregate in the properties of non-hardened concrete was not significant. The slump increased as the fineness modulus of the fine aggregates decreased, and the unit cement content increased. Furthermore, the air content increased considerably when sea sand was used.
- Regarding the strength properties of concrete, there was no major deterioration in quality due to the use of basalt-based recycled aggregate in concrete with a strength of 30 MPa at 28 days of age. The compressive strength of the concrete increased owing to the quality improvement of the basalt-based recycled aggregate and the even particle size distribution of the fine aggregates. The maximum compressive strength of concrete using recycled aggregate was 33.6 MPa, whereas the compressive strength of concrete using natural aggregate was 29.5 MPa for the concrete of 28 days of age.
- The modulus of elasticity of concrete increased slightly due to the increased concrete’s fillability when the concrete was mixed with improved basalt-based recycled aggregates. The highest modulus of elasticity of 23.1 GPa was observed when uniform fine aggregates were used at 28 days age. The change in the modulus of elasticity using fine aggregates had a greater effect than the use of recycled aggregates.
- The depth of accelerated carbonation of concrete decreased as the concrete matrix density increased when the improved basalt-based recycled aggregate was used. However, when RRA was used, the depth of carbonation increased rapidly with age. The depth of carbonation was large when fine aggregates of uneven grain size were used because dense concrete could not be formed.
- The concrete pores increased in proportion to the pore content of the basalt and recycled aggregates. Pore content of 0.3 mm or larger decreased when improved basalt-based recycled aggregates and fine aggregates of even particle size were used. The decrease in pore content was directly related for the improvement of carbonation resistance and modulus of elasticity. Using recycled aggregates can be expected to increase the freeze–thaw resistance because the pore spacing factor was 200 μm or less and the specific surface area of the pore was close to 25 mm2/mm3.
- In multiple regression and correlation analyses, it was found that the quality improvement of the fine and recycled aggregates improved the depth of carbonation resistance and the mechanical properties and durability index of concrete, respectively.
- The recycled aggregate used in this experiment did not meet the domestic recycled aggregate standard of 3% or less. However, there was no deterioration in quality even with a unit cement content of 300 kg/m3 at a concrete mixing strength of 30 MPa due to the improvement in quality. Compared to basalt—a local natural aggregate—the improved recycled aggregate did not exhibit many differences in concrete quality. Consequently, it would be necessary to select a fine aggregate of good quality in the consideration of concrete quality and economic feasibility. Although additional verification of the mechanical properties and durability, such as dry shrinkage of recycled aggregate concrete, is required, its use in structural concrete products of 40 MPa or less was confirmed. It is believed that, with continued research, recycled aggregates mixed with valid industrial byproducts can be used as an effective substitute for basalt natural aggregates.
Author Contributions
Funding
Institutional Review Board Statement
Informed Consent Statement
Data Availability Statement
Conflicts of Interest
References
- Nam, J.-M.; Yun, J.-M.; Song, Y.-S. Estimation to the strength of basalt in Jeju Island according to rock failure criterions. J. Eng. Geol. 2009, 19, 153–163. [Google Scholar] [CrossRef]
- Kim, H.-J. Compressive Strength of Concrete with Different Substitution Ratio of Recycled Fine Aggregates. Master’s Thesis, Jeju National University, Jeju-si, Korea, 2010. [Google Scholar]
- Moon, K.-T.; Park, S.-Y.; Kim, S.-E. Compressive strength of concrete duo to moisture conditions of recycled coarse aggregates and curing condition. J. Korean Soc. Civ. Eng. 2019, 39, 485–492. [Google Scholar] [CrossRef]
- Kim, J.-H.; Yoon, S.-H.; Lee, S.-H. The study on field application and technology development of structural recycled aggregate concrete. Mag. Korea Concr. Inst. 2021, 33, 56–60. [Google Scholar]
- Yang, S.-B. Physical and mechanical characteristics of basalts in northwestern and southeastern Jeju Island. J. Korean Geotech. Soc. 2015, 31, 41–52. [Google Scholar] [CrossRef][Green Version]
- Choi, H.-B.; Park, J.-O.; Park, H.-S.; Lee, K.-R. Characteristics and applicability of Jeju-do basalt-based recycled aggregates. Mag. RCR 2021, 16, 50–55. [Google Scholar] [CrossRef]
- Koshiro, Y.; Ichise, K. Application of entire concrete waste reuse model to produce recycled aggregate class H. Constr. Build. Mater. 2014, 67, 308–314. [Google Scholar] [CrossRef]
- Kim, H.-S.; Kim, J.-M.; Kim, B. Quality improvement of recycled fine aggregate using steel ball with the help of acid treatment. J. Mater. Cycles Waste Manag. 2018, 20, 754–765. [Google Scholar] [CrossRef]
- Hideo, K.; Yosihiro, M.; Toshiyuki, I.; Hisashi, T.; Hisanobu, A.; Takafumi, N.; Masaki, T.; Kunio, Y. Research and standardization of high-quality recycled aggregates for concrete in nuclear power plants. In Proceedings of the 25th Conference on Structural Mechanics in Reactor Technology, IASMiRT, Charlotte, NC, USA, 4–9 August 2019. [Google Scholar]
- Shigeishi, M. Separation and collection of coarse aggregate from waste concrete by electric pulsed power. AIP Conf. Proc. 2017, 1887, 020077. [Google Scholar] [CrossRef]
- Fumoto, T.; Imose, Y.; Yamada, M. Effects of improving recycled fine aggregate by Ball Mill. RECON No. 20010021362. Mem. Fac. Eng. Osaka City Univ. 2000, 4, 65–72. [Google Scholar]
- Feng, Z.; Zhao, Y.; Zeng, W.; Lu, Z.; Shah, S.P. Using microbial carbonate precipitation to improve the properties of recycled fine aggregate and mortar. Constr. Build. Mater. 2020, 230, 116949. [Google Scholar] [CrossRef]
- Chinzorigt, G.; Lim, M.K.; Yu, M.; Lee, H.; Enkbold, O.; Choi, D. Strength, shrinkage and creep and durability aspects of concrete including CO2 treated recycled fine aggregate. Cem. Concr. Res. 2020, 136, 106062. [Google Scholar] [CrossRef]
- Al-Bayati, H.K.A.; Das, P.K.; Tighe, S.L.; Baaj, H. Evaluation of various treatment methods for enhancing the physical and morphological properties of coarse recycled concrete aggregate. Constr. Build. Mater. 2016, 112, 284–298. [Google Scholar] [CrossRef]
- Wang, L.; Wang, J.; Qian, X.; Chen, P.; Xu, Y.; Guo, J. An environmentally friendly method to improve the quality of recycled concrete aggregates. Constr. Build. Mater. 2017, 144, 432–441. [Google Scholar] [CrossRef]
- Quattrone, M.; Angulo, S.C.; John, V.M. Energy and CO2 from high performance recycled aggregate production. Resour. Conserv. Recycl. 2014, 90, 21–33. [Google Scholar] [CrossRef]
- Kwan, W.H.; Ramli, M.; Kam, K.J.; Sulieman, M.Z. Influence of the amount of recycled coarse aggregate in concrete design and durability properties. Constr. Build. Mater. 2012, 26, 565–573. [Google Scholar] [CrossRef]
- Topcu, I.B.; ¸Sengel, S. Properties of concretes produced with waste concrete aggregate. Cem. Concr. Res. 2004, 34, 1307–1312. [Google Scholar] [CrossRef]
- Rahal, K. Mechanical properties of concrete with recycled coarse aggregate. Build. Environ. 2007, 42, 407–415. [Google Scholar] [CrossRef]
- Weerachart, T.; Rak, B.; Chai, J. Use of High Fineness of Fly Ash to Improve Properties of Recycled Aggregate Concrete. J. Mater. Civ. Eng. 2010, 22, 565–571. [Google Scholar]
- Qureshi, L.A.; Ali, B.; Ali, A. Combined effects of supplementary cementitious materials (silica fume, GGBS, fly ash and rice husk ash) and steel fiber on the hardened properties of recycled aggregate concrete. Constr. Build. Mater. 2020, 263, 120636. [Google Scholar] [CrossRef]
- Hanif, A.; Kim, Y.; Lu, Z.; Park, C. Early-age behavior of recycled aggregate concrete under steam curing regime. J. Clean. Prod. 2017, 152, 103–114. [Google Scholar] [CrossRef]
- Ahmed, W.; Lim, C.W. Production of sustainable and structural fiber reinforced recycled aggregate concrete with improved fracture properties: A review. J. Clean. Prod. 2021, 279, 123832. [Google Scholar] [CrossRef]
- EHE. Instrucción del Hormigón Estructural (Spanish Concrete Structural Code); Ministerio de Fomento: Madrid, Spain, 1999. [Google Scholar]
- Kikuchi, M.; Mukai, T.; Koizumi, H. Properties of concrete products containing recycled aggregate. In Demolition and Reuse of Concrete and Masonry: Reuse of Demolition Waste; Chapman and Hall: London, UK, 1988; pp. 595–604. [Google Scholar]
- Tang, Y.; Fang, S.; Chen, J.; Ma, L.; Li, L.; Wu, X. Axial compression behavior of recycled-aggregate-concrete-filled GFRP-steel composite tube columns. Eng. Struct. 2020, 216, 110676. [Google Scholar] [CrossRef]
- Moon, K.; Park, S.; Kim, Y.; Yang, S. Mechanical characteristics of basalt in Jeju Island with relation to porosity. J. Korean Soc. Civ. Eng. 2014, 34, 1215–1225. [Google Scholar] [CrossRef]
- Yang, S.-B. Comparative study on physical and mechanical characteristics of volcanic rocks in Jeju Island. J. Korean Geotech. Soc. 2014, 30, 39–49. [Google Scholar] [CrossRef][Green Version]
- Hong-Beom, C.; Jin-O, P.; Tae-Hyun, K.; Kyeo-Re, L. Mechanical properties of basalt-based recycled aggregate concrete for Jeju Island. Materials 2021, 14, 5429. [Google Scholar] [CrossRef]
- ASTM C150:2020; Standard Specification for Portland Cement. American Society of Testing and Materials: West Conshohocken, PA, USA, 2018.
- ASTM C33:2018; Standard Specification for Concrete Aggregates. American Society of Testing and Materials: West Conshohocken, PA, USA, 2018.
- ASTM C143:2020; Standard Test Method for Slump of Hydraulic-Cement Concrete. American Society of Testing and Materials: West Conshohocken, PA, USA, 2020.
- ASTM C231:2017; Standard Test Method for Air Content of Freshly Mixed Concrete by the Pressure Method. American Society of Testing and Materials: West Conshohocken, PA, USA, 2017.
- ASTM C39:2020; Standard Test Method for Compressive Strength of Cylindrical Concrete Specimens. American Society of Testing and Materials: West Conshohocken, PA, USA, 2020.
- ASTM C78:2018; Standard Test Method for Flexural Strength of Concrete (Using Simple Beam with Third-Point Loading). American Society of Testing and Materials: West Conshohocken, PA, USA, 2018.
- ASTM C469:2014; Standard Test Method for Static Modulus of Elasticity and Poisson’s Ratio of Concrete in Compression. American Society of Testing and Materials: West Conshohocken, PA, USA, 2014.
- RILEM. CPC 18 measurement of hardened concrete carbonation depth. Mater Struct. 1988, 21, 435. [Google Scholar]
- ASTM C457:2017; Standard Test Method for Microscopical Determination of Parameter of the Air-Void System in Hardened Concrete. American Society of Testing and Materials: West Conshohocken, PA, USA, 2017.
- ACI 211.4R-08; Guide for Selecting Proportions for High-strength Concrete Using Portland Cement and other Cementitious Materials: Report of ACI Committee 211. American Concrete Institute: Farmington Hills, MI, USA, 2008.
- Richard, P.; Cheyrezy, M. Composition of reactive powder concretes. Cem. Concr. Res. 1995, 25, 1501–1511. [Google Scholar] [CrossRef]
- Wei, H.; Liu, Y.; Wu, T.; Liu, X. Effect of aggregate size on strength characteristics of high strength lightweight concrete. Materials 2020, 13, 1314. [Google Scholar] [CrossRef]
- Silva, R.V.; Brito, J.D.; Dhir, R.K. Establishing a relationship between modulus of elasticity and compressive strength of recycled aggregate concrete. J. Clean. Prod. 2016, 112, 2171–2186. [Google Scholar] [CrossRef]
- Cabral, A.E.B.; Schalch, V.; Molin, D.C.C. Dal. Mechanical properties modeling of recycled aggregate concrete. Constr. Build. Mater. 2010, 24, 421–430. [Google Scholar] [CrossRef]
- Amorim, N.S., Jr.; Silva, G.A.O.; Ribeiro, D.V. Effect of the incorporation of recycled aggregate in the durability of the concrete submitted to freeze–thaw cycles. Constr. Build. Mater. 2018, 161, 723–730. [Google Scholar] [CrossRef]
- Dilbas, H.; Şimşek, M.; Çakır, Ö. An investigation on mechanical and physical properties of recycled aggregate concrete (RAC) with and without silica fume. Constr. Build. Mater. 2014, 61, 50–59. [Google Scholar] [CrossRef]
- Bairagi, N.K.; Ravande, K.; Pareek, V.K. Behaviour of concrete with different proportions of natural and recycled aggregates. Resour. Conserv. Recy. 1933, 9, 109–126. [Google Scholar] [CrossRef]
- Evangelista, L.; de Brito, J. Durability performance of concrete made with fine recycled concrete aggregates. Cem. Concr. Compos. 2010, 32, 9–14. [Google Scholar] [CrossRef]
- Kou, S.C.; Poon, C.S. Enhancing the durability properties of concrete prepared with coarse recycled aggregate. Constr. Build. Mater. 2012, 35, 69–76. [Google Scholar] [CrossRef]
- Kansas DOT Specification, Division 400 Concrete Standard Specifications, 401 Concrete, 401–5 Commercial Grade Concrete; Kansas Department of Transportation: Topeka, KS, USA, 2007.



















| Coarse Aggregate Type | Fine Aggregate Type | Unit Cement Content (kg/m3) |
|---|---|---|
| Basalt (BA) | Sea sand (S) | 300 |
| Raw recycled aggregate (RRA) | Crushed sand (C) | 330 |
| Improved recycled aggregate (PRA) | Sea sand and crushed sand (SC) | 360 |
| w/c | s/a | Unit Weight (kg/m3) | ||||||||
|---|---|---|---|---|---|---|---|---|---|---|
| Water | Cement | Coarse Aggregate | Fine Aggregate | Total | ||||||
| BA | RRA | PRA | S Sand | C Sand | ||||||
| BA-S-300 | 0.50 | 0.40 | 150.0 | 300.0 | 1100.9 | 0.0 | 0.0 | 709.9 | 0.0 | 2260.8 |
| BA-C-330 | 0.50 | 0.40 | 165.0 | 330.0 | 1062.6 | 0.0 | 0.0 | 0.0 | 671.9 | 2229.4 |
| BA-SC-360 | 0.50 | 0.40 | 180.0 | 360.0 | 1024.3 | 0.0 | 0.0 | 264.2 | 388.6 | 2217.0 |
| RRA-S-330 | 0.50 | 0.40 | 165.0 | 330.0 | 531.3 | 449.0 | 0.0 | 685.2 | 0.0 | 2160.5 |
| RRA-C-360 | 0.50 | 0.40 | 180.0 | 360.0 | 512.1 | 432.8 | 0.0 | 0.0 | 647.6 | 2132.6 |
| RRA-SC-300 | 0.50 | 0.40 | 150.0 | 300.0 | 550.4 | 465.2 | 0.0 | 284.0 | 417.6 | 2167.2 |
| PRA-S-360 | 0.50 | 0.40 | 180.0 | 360.0 | 512.1 | 0.0 | 477.2 | 660.5 | 0.0 | 2189.8 |
| PRA-C-300 | 0.50 | 0.40 | 150.0 | 300.0 | 550.4 | 0.0 | 512.9 | 0.0 | 696.1 | 2209.4 |
| PRA-SC-330 | 0.50 | 0.40 | 165.0 | 330.0 | 531.3 | 0.0 | 495.0 | 274.1 | 403.1 | 2198.5 |
| Density (g/cm3) | Fineness (cm2/g) | Setting Time (Hour) | Compressive Strength (MPa) | ||||
|---|---|---|---|---|---|---|---|
| Initial | Final | 3 Days | 7 Days | 28 Days | 91 Days | ||
| 3.15 | 3,818 | 4.5 | 7.15 | 23.0 | 29.3 | 42.5 | 52.5 |
| CaO (%) | SiO2 (%) | Al2O3 (%) | Fe2O3 (%) | MgO (%) | SO3 (%) | K2O (%) | Na2O3 (%) | Ig. Loss * (%) | Others (%) | Total (%) |
|---|---|---|---|---|---|---|---|---|---|---|
| 62.44 | 21.12 | 4.40 | 3.19 | 3.10 | 1.19 | 0.32 | 0.26 | 3.36 | 0.62 | 100 |
| Aggregate Type | Gmax (mm) | Oven-Dry Density (g/cm3) | Absorption (%) | Fineness Modulus | |
|---|---|---|---|---|---|
| Coarse aggregate | BA | 25 | 2.60 | 3.16 | 6.90 |
| RRA | 20 | 2.20 | 8.63 | 6.45 | |
| PRA | 20 | 2.43 | 5.19 | 6.45 | |
| Fine aggregate | S sand | 5 | 2.52 | 1.45 | 1.61 |
| C sand | 5 | 2.47 | 1.75 | 2.55 | |
| SC sand | 5 | 2.49 | 1.63 | 2.17 | |
| Type | CaO (%) | SiO2 (%) | Al2O3 (%) | Fe2O3 (%) | MgO (%) | Na2O3 (%) | TiO2 (%) | K2O (%) | Others (%) | Total (%) |
|---|---|---|---|---|---|---|---|---|---|---|
| S sand | 2.9 | 70.4 | 13.8 | 4.7 | 2.75 | 2.32 | 1.8 | 0.89 | 0.44 | 100 |
| C sand | 0.9 | 80.5 | 7.6 | 3.8 | 2.25 | 0.87 | 0.81 | 2.99 | 0.58 | 100 |
| BA | 9.01 | 48.36 | 13.95 | 11.88 | 9.02 | 2.92 | 2.02 | 2.18 | 0.66 | 100 |
| RRA | 31.4 | 36.2 | 9.86 | 7.84 | 5.97 | 1.77 | 1.53 | 1.81 | 3.62 | 100 |
| PRA | 16.5 | 45.3 | 12.13 | 10.08 | 7.66 | 2.41 | 1.89 | 1.91 | 2.12 | 100 |
| Category | Variable | |
|---|---|---|
| Independent Variable | Water | X1 |
| Cement | X2 | |
| BA | X3 | |
| RRA | X4 | |
| PRA | X5 | |
| S sand | X6 | |
| C sand | X7 | |
| Dependent Variable | Depth of accelerated carbonation | Y3 |
| Dependent Variable | Independent Variable | B | S.E | β | t | p | VIF |
|---|---|---|---|---|---|---|---|
| Depth of carbonation | Constant | 31.246 | 2.97 | - | −10.520 *** | <0.001 | - |
| Water (kg/m3) | - | - | - | - | - | - | |
| Cement (kg/m3) | −0.037 | 0.009 | −0.242 | −4.160 * | 0.014 | 1.003 | |
| Basalt (kg/m3) | - | - | - | - | - | - | |
| RRA (kg/m3) | 0.007 | 0.001 | 0.411 | 6.142 ** | 0.004 | 1.334 | |
| PRA (kg/m3) | −0.008 | 0.001 | −0.502 | −7.483 ** | 0.002 | 1.336 | |
| S sand (kg/m3) | - | - | - | - | - | - | |
| C sand (kg/m3) | −0.007 | 0.001 | −0.532 | −9.156 ** | 0.001 | 1.003 | |
| F = 73.336 (p < 0.05), R2 = 0.987, adjR2 = 0.973, D-W = 2.364 | |||||||
| Water | Cement | BA | RRA | PRA | S Sand | C Sand | |
|---|---|---|---|---|---|---|---|
| Water (kg/m3) | |||||||
| Cement (kg/m3) | 1.000 ** (0.000) | ||||||
| Basalt (kg/m3) | −0.083 (0.832) | −0.083 (0.832) | |||||
| RRA (kg/m3) | −0.021 (0.958) | −0.021 (0.958) | −0.496 (0.174) | ||||
| PRA (kg/m3) | −0.021 (0.958) | −0.021 (0.958) | −0.496 (0.174) | −0.499 (0.171) | |||
| S sand (kg/m3) | −0.033 (0.932) | −0.033 (0.932) | 0.028 (0.943) | 0.017 (0.966) | −0.041 (0.918) | ||
| C sand (kg/m3) | −0.038 (0.922) | −0.038 (0.922) | −0.022 (0.955) | −0.015 (0.969) | 0.042 (0.915) | −0.997 ** (0.000) | |
| Compressive strength (MPa) | −0.231 (0.549) | −0.231 (0.549) | −0.080 (0.838) | −0.416 (0.265) | 0.526 (0.146) | −0.710 * (0.032) | 0.727 * (0.027) |
| Flexural strength (MPa) | −0.246 (0.524) | −0.246 (0.524) | −0.048 (0.902) | −0.436 (0.240) | 0.515 (0.156) | −0.706 * (0.034) | 0.723 * (0.028) |
| Modulus of elasticity (GPa) | −0.108 (0.781) | −0.108 (0.781) | −0.206 (0.602) | −0.206 (0.595) | 0.423 (0.257) | −0.806 ** (0.009) | 0.814 ** (0.008) |
| Depth of accelerated carbonation (mm) | −0.219 (0.570) | −0.219 (0.570) | 0.076 (0.845) | 0.675 * (0.046) | −0.724 * (0.027) | 0.566 (0.112) | −0.550 (0.125) |
| Porosity (%) | −0.230 (0.551) | −0.230 (0.551) | 0.419 (0.261) | 0.367 (0.332) | −0.759 * (0.018) | 0.444 (0.231) | −0.428 (0.251) |
Publisher’s Note: MDPI stays neutral with regard to jurisdictional claims in published maps and institutional affiliations. |
© 2022 by the authors. Licensee MDPI, Basel, Switzerland. This article is an open access article distributed under the terms and conditions of the Creative Commons Attribution (CC BY) license (https://creativecommons.org/licenses/by/4.0/).
Share and Cite
Choi, H.-B.; Park, J.-O.; Lee, H.-D.; Lee, K.-R. Mechanical and Pore Properties of Concrete Using Basalt-Based Recycled Aggregates According to Mixture Conditions. Materials 2022, 15, 5677. https://doi.org/10.3390/ma15165677
Choi H-B, Park J-O, Lee H-D, Lee K-R. Mechanical and Pore Properties of Concrete Using Basalt-Based Recycled Aggregates According to Mixture Conditions. Materials. 2022; 15(16):5677. https://doi.org/10.3390/ma15165677
Chicago/Turabian StyleChoi, Hong-Beom, Jin-O Park, Hyung-Do Lee, and Kyeo-Re Lee. 2022. "Mechanical and Pore Properties of Concrete Using Basalt-Based Recycled Aggregates According to Mixture Conditions" Materials 15, no. 16: 5677. https://doi.org/10.3390/ma15165677
APA StyleChoi, H.-B., Park, J.-O., Lee, H.-D., & Lee, K.-R. (2022). Mechanical and Pore Properties of Concrete Using Basalt-Based Recycled Aggregates According to Mixture Conditions. Materials, 15(16), 5677. https://doi.org/10.3390/ma15165677
