Reversible First-Order Single Crystal to Single Crystal Thermal Phase Transition in [(CH3)3CNH3]4[V4O12]
Abstract
:1. Introduction
2. Experimental
2.1. Materials and Methods
2.2. X–Ray Crystallography
3. Results and Discussion
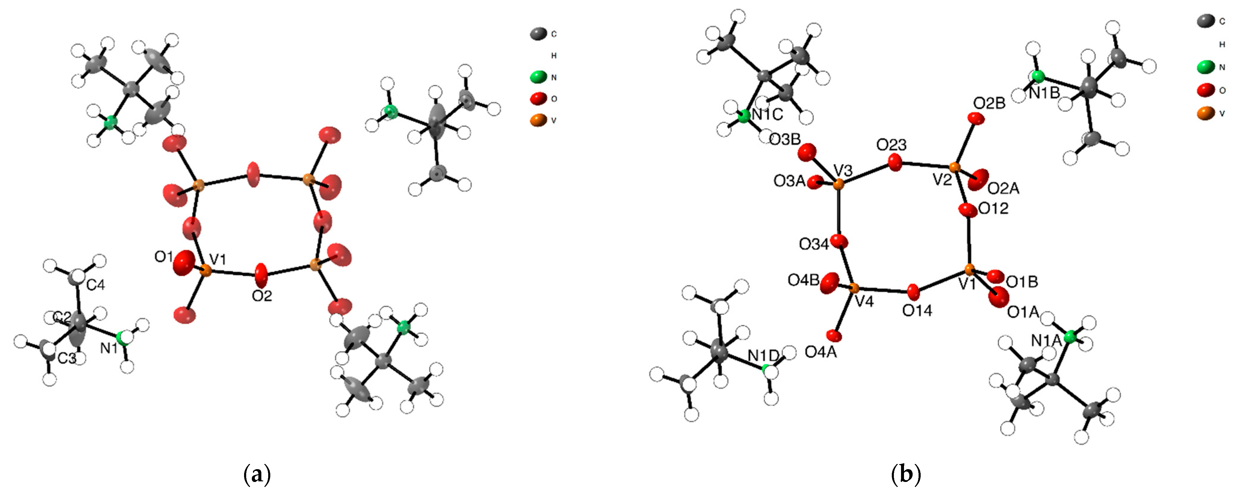
3.1. Crystal Structure of 1-HTP and 1-LTP
3.2. Differential Scanning Calorimetry (DSC)
4. Conclusions
Supplementary Materials
Author Contributions
Funding
Acknowledgments
Conflicts of Interest
References
- Chai, S.; Xiong, J.; Zheng, Y.; Shi, R.; Xu, J. Dielectric phase transition of an A2BX4-type perovskite with a pentahedral to octahedral transformation. Dalton Trans. 2020, 49, 2218–2224. [Google Scholar] [CrossRef]
- Karst, J.; Sterl, F.; Linnenbank, H.; Weiss, T.; Hentschel, M.; Giessen, H. Watching in situ the hydrogen diffusion dynamics in magnesium on the nanoscale. Sci. Adv. 2020, 6, eaaz0566. [Google Scholar] [CrossRef] [PubMed]
- Kobayashi, F.; Komatsumaru, Y.; Akiyoshi, R.; Nakamura, M.; Zhang, Y.; Lindoy, L.F. Shinya Hayami Water Molecule-Induced Reversible Magnetic Switching in a Bis-Terpyridine Cobalt(II) Complex Exhibiting Coexistence of Spin Crossover and Orbital Transition Behaviors. Inorg. Chem. 2020, 59, 16843–16852. [Google Scholar] [CrossRef]
- Yao, H.; Yang, Z.; Fan, X.; Song, X.; Hea, J.; Tian, W. A light-tunable thermoresponsive supramolecular switch with reversible and complete “off-on”/”on-off” conversion. Mater. Chem. Front. 2019, 3, 1168–1173. [Google Scholar] [CrossRef]
- Chimupala, Y.; Kaeosamut, N.; Yimklan, S. Octahedral to Tetrahedral Conversion upon a Ligand-Substitution-Induced Single-Crystal to Single-Crystal Transformation in a Rectangular Zn(II) Metal-Organic Framework and Its Photocatalysis. Cryst. Growth Des. 2021, 21, 5373–5382. [Google Scholar] [CrossRef]
- Hu, F.; Bi, X.; Chen, X.; Pan, Q.; Zhao, Y. Single-crystal-to-single-crystal Transformations for the Preparation of Small Molecules, 1D and 2D Polymers Single Crystals. Chem. Lett. 2021, 50, 1015–1029. [Google Scholar] [CrossRef]
- Kaeosamut, N.; Chimupala, Y.; Yimklan, S. Anion-Controlled Synthesis of Enantiomeric Twofold Interpenetrated 3D Zinc(II) Coordination Polymer with Ligand Substitution-Induced Single-Crystal-to-Single-Crystal Transformation and Photocatalysis. Cryst. Growth Des. 2021, 21, 2942–2953. [Google Scholar] [CrossRef]
- Uemura, K.; Kitagawa, S.; Kondo, M.; Fukui, K.; Kitaura, R.; Chang, H.; Mizutani, T. Novel flexible frameworks of porous cobalt(II) coordination polymers that show selective guest adsorption based on the switching of hydrogen-bond pairs of amide groups. Chem. Eur. J. 2002, 8, 3586–3600. [Google Scholar] [CrossRef]
- Sheng, D.; Zhu, L.; Xu, C.; Xiao, C.; Wang, Y.; Wang, Y.; Chen, L.; Diwu, J.; Chen, J.; Chai, Z.; et al. Efficient and Selective Uptake of TcO4- by a Cationic Metal-Organic Framework Material with Open Ag+ Sites. Environ. Sci. Technol. 2017, 51, 3471–3479. [Google Scholar] [CrossRef]
- Dou, L.; Wong, A.B.; Yu, Y.; Lai, M.; Kornienko, N.; Eaton, S.W.; Fu, A.; Bischak, C.G.; Ma, J.; Ding, T.; et al. Atomically thin two-dimensional organic-inorganic hybrid perovskites. Science 2015, 349, 1518–1521. [Google Scholar] [CrossRef]
- Beauvais, L.G.; Shores, M.P.; Long, J.R. Cyano-Bridged Re6Q8 (Q = S, Se) Cluster-Cobalt(II) Framework Materials: Versatile Solid Chemical Sensors. J. Am. Chem. Soc. 2000, 122, 2763–2772. [Google Scholar] [CrossRef]
- Irie, M.; Kobatake, S.; Horichi, M. Reversible surface morphology changes of a photochromic diarylethene single crystal by photoirradiation. Science 2001, 291, 1769–1772. [Google Scholar] [CrossRef] [PubMed]
- Chen, W.-F.; Liu, B.-W.; Pei, S.-M.; Yan, Q.-N.; Jiang, X.-M.; Guo, G.-C. ASb5S8 (A = K, Rb, and Cs): Thermal Switching of Infrared Nonlinear Optical Properties across the Crystal/Glass Transformation. Chem. Mater. 2021, 33, 3729–3735. [Google Scholar] [CrossRef]
- Li, Y.; Yin, C.; Yang, X.; Kuang, X.; Chen, J.; He, L.; Ding, Q.; Zhao, S.; Hong, M.; Luo, J. A nonlinear optical switchable sulfate of ultrawide Bandgap. CCS Chem. 2021, 3, 2298–2306. [Google Scholar] [CrossRef]
- Lu, Y.; Zhu, Y.; Yang, F.; Xu, Z.; Liu, Q. Advanced Switchable Molecules and Materials for Oil Recovery and Oily Waste Cleanup. Adv. Sci. 2021, 8, 2004082. [Google Scholar] [CrossRef]
- Gumerova, N.I.; Rompel, A. Synthesis, structures and applications of electron-rich polyoxometalates. Nat. Rev. Chem. 2018, 2, 0112. [Google Scholar] [CrossRef]
- Anyushin, A.V.; Kondinski, A.; Parac-Vogt, T.N. Hybrid polyoxometalates as post-functionalization platforms: From fundamentals to emerging applications. Chem. Soc. Rev. 2020, 49, 382–432. [Google Scholar] [CrossRef]
- Misra, A.; Kozma, K.; Streb, C.; Nyman, M. Beyond Charge Balance: Counter-Cations in Polyoxometalate Chemistry. Angew. Chem. Int. Ed. 2020, 59, 596–612. [Google Scholar] [CrossRef]
- Casan-Pastor, N.; Gomez-Romero, P. Polyoxometalates: From inorganic chemistry to materials science. Front. Biosci. 2004, 9, 1759–1770. [Google Scholar] [CrossRef]
- Zhang, J.; Huang, Y.; Li, G.; Wei, Y. Recent advances in alkoxylation chemistry of polyoxometalates: From synthetic strategies, structural overviews to functional applications. Coord. Chem. Rev. 2019, 378, 395–414. [Google Scholar] [CrossRef]
- Amiri, M.G.; Morsali, A.; Hunter, A.D.; Zeller, M. Spectroscopy, thermal and structural studies of new ZnII coordination polymer, [Zn3(μ-bpa)4.5(AcO)3](ClO4)3·4.26H2O. Solid State Sci. 2007, 9, 1079–1084. [Google Scholar] [CrossRef]
- Horike, S.; Umeyama, D.; Kitagawa, S. Ion Conductivity and Transport by Porous Coordination Polymers and Metal-Organic Frameworks. Acc. Chem. Res. 2013, 46, 2376–2384. [Google Scholar] [CrossRef] [PubMed]
- Wery, A.S.J.; Gutierrez-Zorrilla, J.M.; Luque, A.; Ugalde, M.; Roman, P. Phase Transitions in Metavanadates. Polymerization of Tetrakis(tert-Butylammonium) cyclo-Tetrametavanadate. Chem. Mater. 1996, 8, 408–413. [Google Scholar] [CrossRef]
- CrysAlisPro Software System, Version 171.37.34; Agilent Technologies UK Ltd.: Oxford, UK, 2012.
- Dolomanov, O.V.; Bourhis, L.J.; Gildea, R.J.; Howar, J.A.K.; Puschmann, H. OLEX2: A complete structure solution, refinement and analysis program. J. Appl. Crystallogr. 2009, 42, 339–341. [Google Scholar] [CrossRef]
- Sheldrick, G.M. A short history of SHELX. Acta Crystallogr. A 2008, 64, 112. [Google Scholar] [CrossRef]
- Bruno, I.J.; Cole, J.C.; Edgington, P.R.; Kessler, M.; Macrae, C.F.; McCabe, P.; Pearson, J.; Taylor, R. New software for searching the Cambridge Structural Database and visualizing crystal structures. Acta Crystallogr. Sect. B Struct. Sci. 2002, 58, 389–397. [Google Scholar] [CrossRef]
- Spek, A.L. PLATON, A Multipurpose Crystallographic Tool; Utrech University: Utrecht, The Netherlands, 1998. [Google Scholar]
- Farrugia, L.J. WinGX suite for small-molecule single-crystal crystallography. J. Appl. Crystallogr. 1999, 32, 837–838. [Google Scholar] [CrossRef]
- Palmer, D.C. Crystal Maker; Crystal Maker Software Ltd: Oxford, UK, 2014. [Google Scholar]
- Macrae, C.F.; Bruno, I.J.; Chisholm, J.A.; Edgington, P.R.; McCabe, P.; Pidcock, E.; Rodriguez-Monge, L.; Taylor, R.; Streek, J.V.D.; Wood, P.A. Mercury CSD 2.0—New features for the visualization and investigation of crystal structures. J. Appl. Crystallogr. 2008, 41, 466–470. [Google Scholar] [CrossRef]





| Identification Code | 1c_173 | 1c_163 | 1c_153 | 1c_143 | 1c_133 |
| empirical formula | C16H48N4O12V4 | C16H48N4O12V4 | C16H48N4O12V4 | C16H48N4O12V4 | C16H48N4O12V4 |
| Fw (g mol–1) | 692.34 | 692.34 | 692.34 | 692.34 | 692.34 |
| temperature/K | 173.14 (10) | 163.13 (10) | 153.13 (10) | 143.14 (10) | 133.15 (10) |
| space group | I4/m | I4/m | I4/m | I41/a | I41/a |
| a (Å) | 14.97428(17) | 14.96277(16) | 14.9520(3) | 21.0769(3) | 21.1001(3) |
| b (Å) | 14.97428(17) | 14.96277(16) | 14.9520(3) | 21.0769(3) | 21.1001(3) |
| c (Å) | 7.35301(16) | 7.34665(16) | 7.3425(3) | 29.3023(9) | 29.3409(8) |
| V (Å3) | 1648.76(4) | 1644.80(4) | 1641.51(8) | 13,017.1(5) | 13,063.0(5) |
| Z | 2 | 2 | 2 | 16 | 16 |
| ρcalc (g cm–3) | 1.395 | 1.398 | 1.401 | 1.413 | 1.408 |
| μ (mm–1) | 1.150 | 1.153 | 1.155 | 1.166 | 1.161 |
| collected reflections | 6123 | 6124 | 6147 | 47332 | 47559 |
| unique reflections (Rint) | 956 (0.034) | 958 (0.032) | 981 (0.037) | 6756 (0.070) | 6791 (0.070) |
| parameters | 65 | 64 | 64 | 342 | 342 |
| R(F) a [I > 2σ(I)] | 0.034 | 0.033 | 0.047 | 0.051 | 0.048 |
| wR(F2) b [all data] | 0.081 | 0.083 | 0.120 | 0.161 | 0.147 |
| Goodness-of-fit on F2 | 1.070 | 1.058 | 1.106 | 1.060 | 1.058 |
| Identification Code | 1h_143 | 1h_153 | 1h_163 | 1h_173 | 1h_RT |
| empirical formula | C16H48N4O12V4 | C16H48N4O12V4 | C16H48N4O12V4 | C16H48N4O12V4 | C16H48N4O12V4 |
| Fw (g mol–1) | 692.34 | 692.34 | 692.34 | 692.35 | 692.34 |
| temperature/K | 143.15 (10) | 153.15 (10) | 163.14 (10) | 173.14 (10) | 279 (30) |
| space group | I41/a | I41/a | I4/m | I4/m | I4/m |
| a (Å) | 21.0904(3) | 21.0988(3) | 14.96239(17) | 14.98187(17) | 14.9856(2) |
| b (Å) | 21.0904(3) | 21.0988(3) | 14.96239(17) | 14.98187(17) | 14.9856(2) |
| c (Å) | 29.3206(9) | 29.3229(9) | 7.34681(16) | 7.35678(16) | 7.3653(2) |
| V (Å3) | 13,042.0(5) | 13,053.4(5) | 1644.75(4) | 1651.28(5) | 1654.01(6) |
| Z | 16 | 16 | 2 | 2 | 2 |
| ρcalc (g cm–3) | 1.410 | 1.409 | 1.398 | 1.3923 | 1.390 |
| μ (mm–1) | 1.163 | 1.162 | 1.153 | 1.149 | 1.147 |
| collected reflections | 47334 | 47470 | 6131 | 6292 | 6087 |
| unique reflections (Rint) | 6769 (0.069) | 6785 (0.070) | 958 (0.032) | 949 (0.033) | 937 (0.036) |
| parameters | 342 | 342 | 64 | 63 | 65 |
| R(F) a [I > 2σ(I)] | 0.051 | 0.054 | 0.034 | 0.033 | 0.033 |
| wR(F2) b [all data] | 0.160 | 0.173 | 0.084 | 0.079 | 0.089 |
| Goodness-of-fit on F2 | 1.061 | 1.055 | 1.064 | 1.028 | 1.055 |
| aR(F)=Σ||Fo–Fc||/Σ|Fo|; bwR(F2)={Σ[w(Fo2–Fc2)2]/Σ[w(Fo2)2]}1/2 | |||||
Publisher’s Note: MDPI stays neutral with regard to jurisdictional claims in published maps and institutional affiliations. |
© 2022 by the authors. Licensee MDPI, Basel, Switzerland. This article is an open access article distributed under the terms and conditions of the Creative Commons Attribution (CC BY) license (https://creativecommons.org/licenses/by/4.0/).
Share and Cite
Vitoria, P.; Wéry, A.S.J.; San Felices, L.; Bravo-García, L.; Ruiz-Bilbao, E.; Laza, J.M.; Vilas, J.L.; Gutiérrez-Zorrilla, J.M. Reversible First-Order Single Crystal to Single Crystal Thermal Phase Transition in [(CH3)3CNH3]4[V4O12]. Materials 2022, 15, 5663. https://doi.org/10.3390/ma15165663
Vitoria P, Wéry ASJ, San Felices L, Bravo-García L, Ruiz-Bilbao E, Laza JM, Vilas JL, Gutiérrez-Zorrilla JM. Reversible First-Order Single Crystal to Single Crystal Thermal Phase Transition in [(CH3)3CNH3]4[V4O12]. Materials. 2022; 15(16):5663. https://doi.org/10.3390/ma15165663
Chicago/Turabian StyleVitoria, Pablo, Ana San José Wéry, Leire San Felices, Laura Bravo-García, Estibaliz Ruiz-Bilbao, José Manuel Laza, José Luis Vilas, and Juan M. Gutiérrez-Zorrilla. 2022. "Reversible First-Order Single Crystal to Single Crystal Thermal Phase Transition in [(CH3)3CNH3]4[V4O12]" Materials 15, no. 16: 5663. https://doi.org/10.3390/ma15165663
APA StyleVitoria, P., Wéry, A. S. J., San Felices, L., Bravo-García, L., Ruiz-Bilbao, E., Laza, J. M., Vilas, J. L., & Gutiérrez-Zorrilla, J. M. (2022). Reversible First-Order Single Crystal to Single Crystal Thermal Phase Transition in [(CH3)3CNH3]4[V4O12]. Materials, 15(16), 5663. https://doi.org/10.3390/ma15165663

