Study on the Aging Behavior of an Ultra-High Molecular Weight Polyethylene Fiber Barrier Net in a Marine Environment
Abstract
:1. Introduction
2. Experimental
2.1. Materials
2.2. Aging Tests
2.2.1. Ultraviolet Aging Experiment
2.2.2. Salt Spray Aging Experiment
2.2.3. Hygrothermal Aging Experiment
2.2.4. Environmental Spectrum
2.3. Analysis Methods
2.3.1. Tensile Testing
2.3.2. Microstructure Analysis
2.3.3. Infrared Spectral Analysis
2.3.4. TGA Measurement
3. Results
3.1. Infrared Spectra
3.2. Surface Morphology
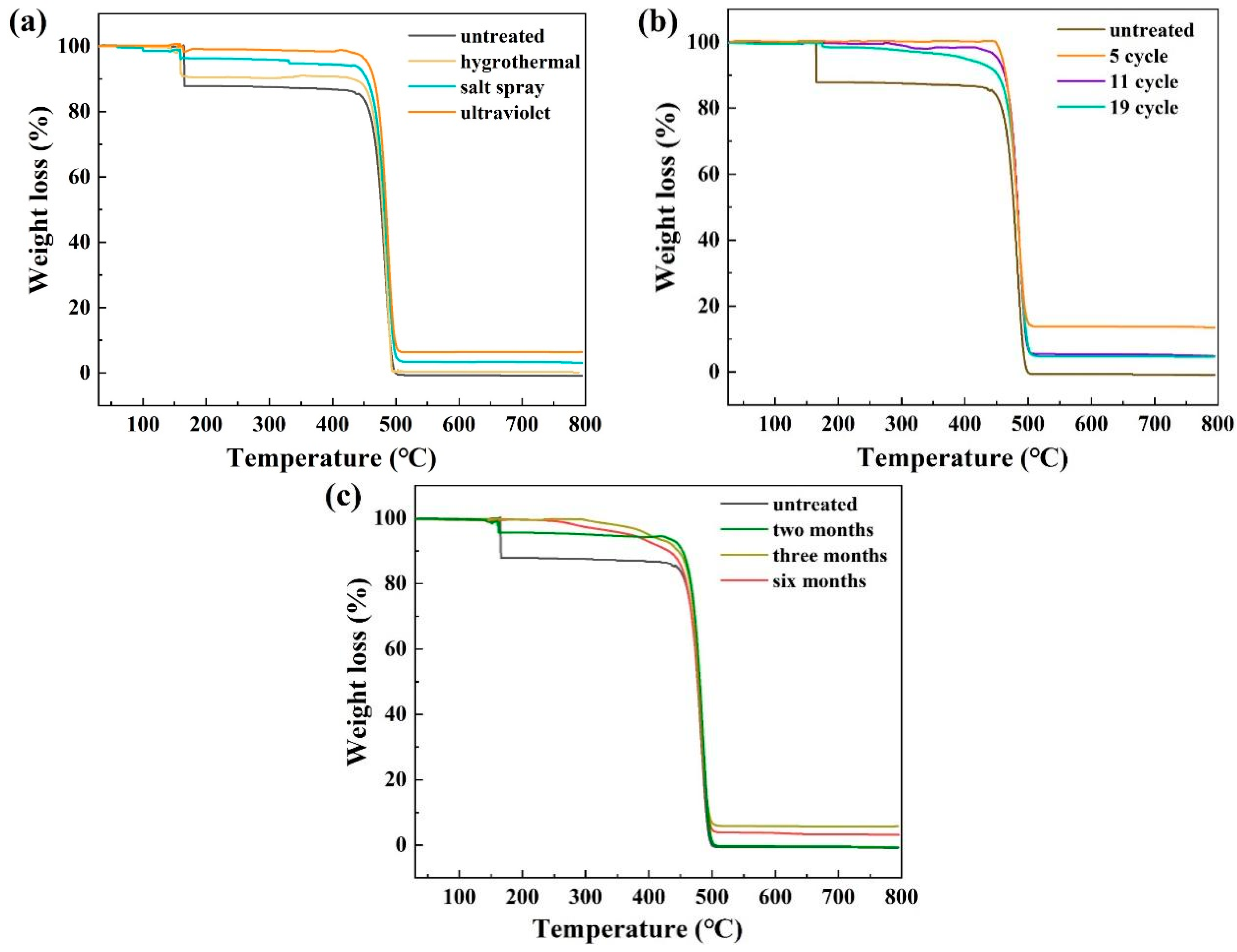
3.3. Thermogravimetry Analysis (TGA)
3.4. Mechanical Property and Fracture Morphology
3.5. Accelerated Ratio of the Environmental Spectrum
4. Discussion
5. Conclusions
- (1)
- The breaking strength deterioration in UV is more significant than that in the salt spray environment owing to changes in polymer chemical structure caused by chain breaking under light.
- (2)
- After hygrothermal aging, some fine fibers bond into clumps, which lowers the attenuation of breaking strength.
- (3)
- The environmental spectrum is designed according to the real environmental factors affecting the aging property. The degradation mechanism after aging in the environmental spectrum is the same to that in the real service environment.
- (4)
- The acceleration ratio of the environmental spectrum to the real service environment increases with the elongation of aging time, which may be caused by the cross-linking and degradation of macromolecular chains in the material.
Author Contributions
Funding
Institutional Review Board Statement
Informed Consent Statement
Data Availability Statement
Acknowledgments
Conflicts of Interest
References
- Firouzi, D.; Youssef, A.; Amer, M.; Srouji, R.; Amleh, A.; Foucher, D.A.; Bougherara, H. A new technique to improve the mechanical and biological performance of ultra high molecular weight polyethylene using a nylon coating. J. Mech. Behav. Biomed. Mater. 2014, 32, 198–209. [Google Scholar] [CrossRef] [PubMed]
- Wang, A.; Polineni, V.K.; Stark, C.; Dumbleton, J.H. Effect of femoral head surface roughness on the wear of ultrahigh molecular weight polyethylene acetabular cups. J. Arthroplast. 1998, 13, 615–620. [Google Scholar] [CrossRef]
- Mathew, M.T.; Novo, J.; Rocha, L.A.; Covas, J.A.; Comes, J.R. Tribological, rheological and mechanical characterization of polymer blends for ropes and nets. Tribol. Int. 2010, 43, 1400–1409. [Google Scholar] [CrossRef]
- Lu, S.; Wang, J.; He, Y.; Liang, G.; Chen, C. Study on high strength rope of UHMWPE fibers. J. Eng. Plast. Appl. 2003, 31, 33–35. [Google Scholar]
- Zhang, Q.; Wang, Q.; Chen, Y. Structure evolution of ultra high molecular weight polyethylene/montmorillonite nanocomposite fibers prepared by melt spinning. J. Appl. Polym. Sci. 2013, 130, 3930–3936. [Google Scholar] [CrossRef]
- Liu, L.; Huang, Y.D.; Zhang, Z.Q.; Jiang, Z.X.; Wu, L.N. Ultrasonic treatment of aramid fiber surface and its effect on the interface of aramid/epoxy composites. Appl. Surf. Sci. 2008, 254, 2594–2599. [Google Scholar] [CrossRef]
- Wu, S.S.; Zhang, J.; Xu, X. Studies on high density polyethylene (HDPE) functionalized by ultraviolet irradiation and its application. Polym. Int. 2003, 52, 1527–1530. [Google Scholar] [CrossRef]
- Sharma, S.; Bijwe, J.; Panier, S. Assessment of potential of nano and micro-sized boron carbide particles to enhance the abrasive wear resistance of UHMWPE. Compos. Part B Eng. 2016, 99, 312–320. [Google Scholar] [CrossRef]
- Wang, F.; Liu, L.; Xue, P. Research progress in preparation technology of ultra-high molecular weight polyethylene fiber. Plastics 2014, 43, 31–35. [Google Scholar]
- Gulmine, J.V.; Janissek, P.R.; Heise, H.M.; Akcelrud, L. Degradation profile of polyethylene after artificial accelerated weathering. Polym. Degrad. Stab. 2003, 79, 385–397. [Google Scholar] [CrossRef]
- Song, J.H. Pairing effect and tensile properties of laminated high-performance hybrid composites prepared using carbon/glass and carbon/aramid fibers. Compos. Part B Eng. 2015, 79, 61–66. [Google Scholar] [CrossRef]
- Jang, E.-S.; Song, E.; Zain Siddiqui, M.; Lim, S.J.; Shin, G.H.; Kim, D.; Kim, Y.-M. The effect of seawater aging on the pyrolysis of fishing nets. J. Anal. Appl. Pyrolysis 2021, 156, 105160. [Google Scholar] [CrossRef]
- Jabarin, S.A.; Lofgren, E.A. Photooxidative effects on properties and structure of high-density polyethylene. J. Appl. Polym. Sci. 1994, 53, 411–423. [Google Scholar] [CrossRef]
- Shi, X.M.; Wang, J.D.; Stapf, S.; Mattea, C.; Li, W.; Yang, Y.R. Effects of thermo-oxidative aging on chain mobility, phase composition, and mechanical behavior of high-density polyethylene. Polym. Eng. Sci. 2011, 51, 2171–2177. [Google Scholar] [CrossRef]
- Carrasco, F.; Pages, P.; Pascual, S.; Colom, X. Artificial aging of high-density polyethylene by ultraviolet irradiation. Eur. Polym. J. 2001, 37, 1457–1464. [Google Scholar] [CrossRef]
- Huang, Z.; Li, Y.; Ren, X. Comparing Cracking Time and Structure Changes of Different High-Density Polyethylenes During Stress and Photo-Oxidative Aging. J. Appl. Polym. Sci. 2014, 131, 40904. [Google Scholar] [CrossRef]
- Costa, L.; Bracco, P.; del Prever, E.B.; Luda, M.P.; Trossarelli, L. Analysis of products diffused into UHMWPE prosthetic components in vivo. Biomaterials 2001, 22, 307–315. [Google Scholar] [CrossRef]
- Bykova, I.; Weinhardt, V.; Kashkarova, A.; Lebedev, S.; Baumbach, T.; Pichugin, V.; Zaitsev, K.; Khlusov, I. Physical properties and biocompatibility of UHMWPE-derived materials modified by synchrotron radiation. J. Mater. Sci. Mater. Med. 2014, 25, 1843–1852. [Google Scholar] [CrossRef]
- Medel, F.J.; Rimnac, C.M.; Kurtz, S.M. On the assessment of oxidative and microstructural changes after in vivo degradation of historical UHMWPE knee components by means of vibrational spectroscopies and nanoindentation. J. Biomed. Mater. Res. Part A 2009, 89A, 530–538. [Google Scholar] [CrossRef]
- Medel, F.J.; Garcia-Alvarez, F.; Gomez-Barrena, E.; Puertolas, J.A. Microstructure changes of extruded ultra high molecular weight polyethylene after gamma irradiation and shelf-aging. Polym. Degrad. Stab. 2005, 88, 435–443. [Google Scholar] [CrossRef]
- Huang, G.; Ni, Z.; Chen, G.; Pang, W.; Zhao, Y. Effects of gamma irradiation and accelerated aging on GO/UHMWPE nanocomposites. Int. J. Polym. Anal. Charact. 2016, 21, 417–427. [Google Scholar] [CrossRef]
- Martinez-Morlanes, M.J.; Medel, F.J.; Mariscal, M.D.; Puertolas, J.A. On the assessment of oxidative stability of post-irradiation stabilized highly crosslinked UHMWPEs by thermogravimetry. Polym. Test. 2010, 29, 425–432. [Google Scholar] [CrossRef]
- Shariati, J.; Saadatabadi, A.R.; Khorasheh, F. Thermal degradation behavior and kinetic analysis of ultra high molecular weight polyethylene based multi-walled carbon nanotube nanocomposites prepared via in-situ polymerization. J. Macromol. Sci. Part A Pure Appl. Chem. 2012, 49, 749–757. [Google Scholar] [CrossRef]
- Luo, Z.; Zhu, L. Quasi-static characters for UHMWPE composites after hygrothermal aging. In Proceedings of the 2nd International Conference on Mechanical Engineering and Applied Composite Materials (MEACM), Harbin, China, 7–8 December 2019. [Google Scholar]
- Chouhan, H.; Bhalla, N.A.; Bhatnagar, N. High strain rate performance of UHMWPE composites: Effect of moisture ingress and egress. Mater. Today Commun. 2021, 26, 101709. [Google Scholar] [CrossRef]
- Cheng, B.; Duan, H.; Chen, S.; Shang, H.; Li, J.; Shao, T. Effects of thermal aging on the blend phase morphology and tribological performance of PI/UHMWPE blend composites. Wear 2021, 477, 203840. [Google Scholar] [CrossRef]
- Sugimoto, M.; Shimada, A.; Kudoh, H.; Tamura, K.; Seguchi, T. Product analysis for polyethylene degradation by radiation and thermal ageing. Radiat. Phys. Chem. 2013, 82, 69–73. [Google Scholar] [CrossRef]
- Sahu, S.K.; Badgayan, N.D.; Samanta, S.; Sreekanth, P.R. Experimental investigation on multidimensional carbon nanofiller reinforcement in HDPE: An evaluation of mechanical performance. Mater. Today Proc. 2020, 24, 415–421. [Google Scholar] [CrossRef]
- Wagner, P.A.; Little, B.J.; Hart, K.R.; Ray, R.I. Biodegradation of composite materials. Int. Biodeterior. Biodegrad. 1996, 38, 125–132. [Google Scholar] [CrossRef]
- Andrady, A.L. Wavelength sensitivity in polymer photodegradation. In Polymer Analysis—Polymer Physics; Springer: Berlin/Heidelberg, Germany, 1997; Volume 128, pp. 47–94. [Google Scholar]
- Saha, S.; Kocaefe, D.; Boluk, Y.; Pichette, A. Enhancing exterior durability of jack pine by photo-stabilization of acrylic polyurethane coating using bark extract. Part 1: Effect of UV on color change and ATR-FT-IR analysis. Prog. Org. Coat. 2011, 70, 376–382. [Google Scholar] [CrossRef]
- Doğon, M. Ultraviolet light accelerates the degradation of polyethylene plastics. Microsc. Res. Tech. 2021, 84, 2774–2783. [Google Scholar] [CrossRef]
- Asmatulu, R.; Mahmud, G.A.; Hille, C.; Misak, H.E. Effects of UV degradation on surface hydrophobicity, crack, and thickness of MWCNT-based nanocomposite coatings. Prog. Org. Coat. 2011, 72, 553–561. [Google Scholar] [CrossRef]
- Costa, L.; Luda, M.P.; Trossarelli, L.; del Prever, E.M.B.; Crova, M.; Gallinaro, P. In vivo UHMWPE biodegradation of retrieved prosthesis. Biomaterials 1998, 19, 1371–1385. [Google Scholar] [CrossRef]
- Roy, R.; Sarkar, B.K.; Bose, N.R. Effects of moisture on the mechanical properties of glass fibre reinforced vinylester resin composites. Bull. Mater. Sci. 2001, 24, 87–94. [Google Scholar] [CrossRef]















Publisher’s Note: MDPI stays neutral with regard to jurisdictional claims in published maps and institutional affiliations. |
© 2022 by the authors. Licensee MDPI, Basel, Switzerland. This article is an open access article distributed under the terms and conditions of the Creative Commons Attribution (CC BY) license (https://creativecommons.org/licenses/by/4.0/).
Share and Cite
Zhang, W.; Jing, X.; Bai, Y.; Shan, X.; Qi, X.; Yan, M.; Cui, Z. Study on the Aging Behavior of an Ultra-High Molecular Weight Polyethylene Fiber Barrier Net in a Marine Environment. Materials 2022, 15, 5599. https://doi.org/10.3390/ma15165599
Zhang W, Jing X, Bai Y, Shan X, Qi X, Yan M, Cui Z. Study on the Aging Behavior of an Ultra-High Molecular Weight Polyethylene Fiber Barrier Net in a Marine Environment. Materials. 2022; 15(16):5599. https://doi.org/10.3390/ma15165599
Chicago/Turabian StyleZhang, Wangxuan, Xiaofei Jing, Yanqiang Bai, Xiaoming Shan, Xiaoyu Qi, Maoxin Yan, and Zhongyu Cui. 2022. "Study on the Aging Behavior of an Ultra-High Molecular Weight Polyethylene Fiber Barrier Net in a Marine Environment" Materials 15, no. 16: 5599. https://doi.org/10.3390/ma15165599
APA StyleZhang, W., Jing, X., Bai, Y., Shan, X., Qi, X., Yan, M., & Cui, Z. (2022). Study on the Aging Behavior of an Ultra-High Molecular Weight Polyethylene Fiber Barrier Net in a Marine Environment. Materials, 15(16), 5599. https://doi.org/10.3390/ma15165599
