Tensile Experiments and Numerical Analysis of Textile-Reinforced Lightweight Engineered Cementitious Composites
Abstract
:1. Introduction
2. Test Program
2.1. Performance of Materials
2.2. Design of the Experiment
2.3. TR-LECC Specimen Preparation
2.4. FRP and TR-LECC Tensile Test
3. Results and Discussion
3.1. Matrix Material
3.2. Tensile Behavior of Reinforced Materials
3.3. Tensile Stress–Strain Curve of TR-LECC
3.4. Key Mechanical Parameters
3.5. Effect of Arrangement Form on LECC Matrix
3.6. Effects of Enhanced Textile Type
3.7. Effect of Enhancement Rate on LECC
4. Finite Element Simulation
4.1. Material Model
4.2. Results and Discussion
4.3. The Impact of Arrangement Form
4.4. Influence of Weft Yarn
5. Conclusions
- (1)
- It is possible to develop TR-LECCs with strengths similar to conventional TR-ECCs and with ultimate strains of 8.0% (3–4 times those of traditional TR-ECCs) by combining the LRS textile and LECCs. This can improve their significant energy dissipation capacity when used to strengthening and repair structures.
- (2)
- Although the tensile characteristics of TR-LECCs are essentially unaffected by the type of textile arrangement (a multilayer arrangement or concentrated arrangement), TR-LECC cracking patterns are nevertheless impacted. While the concentrated arrangement greatly reduces the number of cracks and increases the crack width due to the stress concentration, the multilayer arrangement is advantageous for the fine dispersion of cracks.
- (3)
- The textile type significantly influences the tensile performance of TR-LECCs. Because PP textiles have a higher tensile strain capacity (>8%), TR-LECC reinforcement provides much better strain ductility. Although this does not contribute as much to stiffness as traditional BFRP, increasing the enhancement rate can compensate for it. Due to bond-slip failures, BFRP textiles cannot fully utilize its reinforcing effect. However, BFRP grids impregnated with epoxy resin efficiently utilize the BFRP material’s reinforcing effect, increasing the LECC matrix’s tensile strength by 40.2% to 133.5%.
- (4)
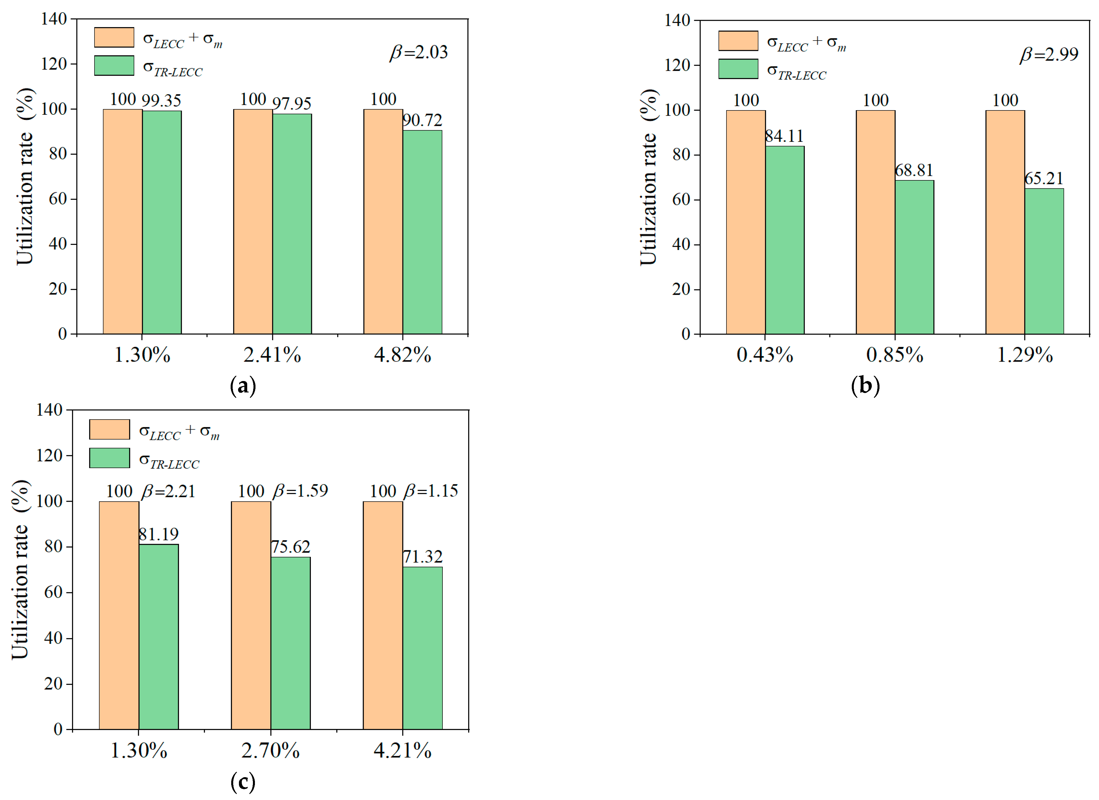
- The ultimate tensile stress of TR-LECCs improves significantly with an increasing enhancement rate of the textile, but the increase in the enhancement rate decreases the material utilization rate. For instance, as the enhancement rate increased from 0.43% to 1.29%, the material utilization of LECC reinforced with BFRP textile decreased from 84.11% to 65.21%. Notably, the utilization rate of PP textile seems insensitive to the enhancement rate, decreasing by just 8.63% as the enhancement rate increased from 1.3% to 4.82%, which is favorable for large-volume applications of PP textile.
- (5)
- According to the FEM analysis, the arrangement forms considerably alter how the stress values are distributed in the TR-LECC. The centralized arrangement causes a stress concentration in the TR-LECC, and the stress value is large, while the multilayer arrangement facilitates uniform distribution of stress values in the TR-LECC. In addition, the presence of weft yarns has an important influence on the stress form in the TR-LECC; as the number of weft yarns increases, the stress concentration in the tensile region of the TR-LECC tends to weaken. On the other hand, adding additional weft yarns can help the warp yarns bear a higher axial load.
Author Contributions
Funding
Institutional Review Board Statement
Informed Consent Statement
Data Availability Statement
Conflicts of Interest
References
- Larbi, A.S.; Agbossou, A.; Hamelin, P. Experimental and numerical investigations about textile-reinforced concrete and hy-brid soluteions for repairing and/or strengthening reinforced concrete beams. Compos. Struct. 2013, 99, 152–162. [Google Scholar] [CrossRef]
- Zeng, J.J.; Ye, Y.Y.; Guo, Y.C.; Lv, J.F.; Jiang, C. PET FRP-concrete-high strength steel hybrid solid columns with strain-hardening and ductile performance: Cyclic axial compressive behavior. Compos. Part B 2020, 190, 107903. [Google Scholar] [CrossRef]
- Qu, W.; Zhang, X.; Huang, H. Flexural Behavior of Concrete Beams Reinforced with Hybrid (GFRP and Steel) Bars. J. Compos. Constr. 2009, 13, 350–359. [Google Scholar] [CrossRef]
- Zhang, C.; Abedini, M. Development of PI model for FRP composite retrofitted RC columns subjected to high strain rate loads using LBE function. Eng. Struct. 2022, 252, 113580. [Google Scholar] [CrossRef]
- Kolpakov, A.G.; Rakin, S.I. Homogenized strength criterion for composite reinforced with orthogonal systems of fibers. Mech. Mater. 2020, 148, 103489. [Google Scholar] [CrossRef]
- Kolpakov, A.G.; Rakin, S.I. Local stresses in the reinforced plate with orthogonal sytems of fibers. Compos. Struct. 2021, 265, 113772. [Google Scholar] [CrossRef]
- Kolpakov, A.A.; Kolpakov, A.G.; Rakin, S.I. “Skin” boundary layers and concept of representative model in inhomogeneous plates. Eur. J. Mech.-A/Solids 2022, 93, 104552. [Google Scholar] [CrossRef]
- Kolpakov, A.G.; Rakin, S.I. Comparative analysis of local stresses in unidirectional and cross-reinforced composites. In Mechanics and Physics of Structured Media; Academic Press: Cambridge, MA, USA, 2022; pp. 395–416. [Google Scholar]
- Wang, X.; Yang, Y.; Yang, R.H.; Liu, P. Experimental Analysis of Bearing Capacity of Basalt Fiber Reinforced Concrete Short Columns under Axial Compression. Coatings 2022, 12, 654. [Google Scholar] [CrossRef]
- Xu, J.; Wu, Z.; Chen, H.; Shao, L.T.; Zhou, X.G.; Wang, S.H. Study on strength behavior of basalt fiber-reinforced loess by digital image technology (DIT) and scanning electron microscope (SEM). Arab. J. Sci. Eng. 2021, 46, 11319–11338. [Google Scholar] [CrossRef]
- Wu, Z.; Xu, J.; Chen, H.; Shao, L.T.; Zhou, X.G.; Wang, S.H. Shear strength and mesoscopic characteristics of basalt fiber–reinforced loess after dry–wet cycles. J. Mater. Civ. Eng. 2022, 34, 04022083. [Google Scholar] [CrossRef]
- Zhou, Y.; Zheng, Y.; Pan, J.; Sui, L.; Xing, F.; Sun, H.; Li, P. Experimental investigations on corrosion resistance of innovative steel-FRP composite bars using X-ray microcomputed tomography. Compos. Part B 2019, 161, 272–284. [Google Scholar] [CrossRef]
- Yang, G.; Feng, X.; Wang, W.; Yang, Q.O.; Liu, L. Effective interlaminar reinforcing and delamination monitoring of carbon fibrous composites using a novel nano-carbon woven grid. Compos. Sci. Technol. 2021, 213, 108959. [Google Scholar] [CrossRef]
- Ali, M.S.; Mirza, M.S.; Lessard, L. Durability assessment of hybrid FRP composite shell and its application to prestressed concrete girders. Constr. Build. Mater. 2017, 150, 114–122. [Google Scholar] [CrossRef]
- Benzarti, K.; Chataigner, S.; Quiertant, M.; Marty, C.; Aubagnac, C. Accelerated ageing behaviour of the adhesive bond between concrete specimens and CFRP overlays. Constr. Build. Mater. 2011, 25, 523–538. [Google Scholar] [CrossRef]
- Catherine, G.; Papanicolaou, T.C.; Triantafillou, M.P.K. Textile reinforced mortar (TRM) versus FRP as strengthening material of URM walls: Outof-plane cyclic loading. Mater. Struct. 2008, 41, 143–157. [Google Scholar]
- Ali, A.; Abdalla, J.; Hawileh, R.; Galal, K. CFRP mechanical anchorage for externally strengthened RC beams under flexure. Phys. Procedia 2014, 55, 10–16. [Google Scholar] [CrossRef] [Green Version]
- Huang, H.; Huang, M.; Zhang, W.; Yang, S.L. Experimental study of predamaged columns strengthened by HPFL and BSP under combined load cases. Struct. Infras. Eng. 2021, 17, 1210–1227. [Google Scholar] [CrossRef]
- Triantafillou, T.C.; Papanicolaou, C.G. Shear strengthening of reinforced concrete members with textile reinforced mortar (TRM) jackets. Mater. Struct. 2006, 39, 93–103. [Google Scholar] [CrossRef]
- Hegger, J.; Will, N.; Curbach, M.; Bruckermann, O. Loading-bearing behavior and simulation of textile reinforced concrete. Mater. Struct. 2006, 39, 765–776. [Google Scholar] [CrossRef]
- Hegger, J.; Voss, S. Investigations on the bearing behaviour and application potential of textile reinforced concrete. Eng. Struct. 2008, 30, 2050–2056. [Google Scholar] [CrossRef]
- Portal, N.W.; Thrane, L.N.; Lundgren, K. Flexural behaviour of textile reinforced concrete composites: Experimental and numerical evaluation. Mater. Struct. 2017, 50, 4. [Google Scholar] [CrossRef] [Green Version]
- Sharei, E.; Scholzen, A.; Hegger, J.; Chudoba, R. Structural behavior of a lightweight, textile-reinforced concrete barrel vault shell. Compos. Struct. 2017, 17, 505–514. [Google Scholar] [CrossRef]
- Scholzen, A.; Chudoba, R.; Hegger, J. Thin-walled shell structures made of textile-reinforced concrete: Part I: Structural design and construction. Struct. Concr. 2013, 16, 106–114. [Google Scholar] [CrossRef]
- Lior, N.; Erez, G.; Alva, P. Tensile behavior of fabric-cement-based composites reinforced with non-continuous load bearing yarns. Constr. Build. Mater. 2020, 236, 117432. [Google Scholar] [CrossRef]
- Larrinaga, P.; Chastre, C.; Biscaia, H.C.; San-Jose, J.T. Experimental and numerical modeling of basalt textile reinforced mortar behavior under uniaxial tensile stress. Mater. Des. 2014, 55, 66–74. [Google Scholar] [CrossRef]
- Carozzi, F.G.; Poggi, C. Mechanical properties and debonding strength of Fabric Reinforced Cementitious Matrix (FRCM) systems for masonry strengthening. Compos. Part B 2015, 70, 215–230. [Google Scholar] [CrossRef]
- Hung, C.C.; Su, Y.F.; Su, Y.M. Mechanical properties and self-healing evaluation of strain-hardening cementitious composites with high volumes of hybrid pozzolan materials. Compos. Part B 2018, 133, 15–25. [Google Scholar] [CrossRef]
- Li, V.C. Engineered Cementitious Composites (ECC) Material, Structural, and Durability Performance; University of Michigan: Ann Arbor, MI, USA, 2008. [Google Scholar]
- Yang, X.; Gao, W.Y.; Dai, J.G.; Lu, Z.D.; Yu, K.Q. Flexural strengthening of RC beams with CFRP grid-reinforced ECC matrix. Compos. Struct. 2018, 189, 9–26. [Google Scholar] [CrossRef]
- Zheng, Y.Z.; Wang, W.W.; Brigham, J.C. Flexural behaviour of reinforced concrete beams strengthened with a composite reinforcement layer: BFRP grid and ECC. Constr. Build. Mater. 2016, 115, 424–437. [Google Scholar] [CrossRef] [Green Version]
- Chen, X.; Zhu, G.Y.; Al-Gemeel, A.N.; Xiong, Z.M. Compressive behaviour of concrete column confined with basalt textile reinforced ECC. Eng. Struct. 2021, 243, 112651. [Google Scholar] [CrossRef]
- Li, V.C.; Horii, H.; Kabele, P.; Kanda, T.; Lim, Y.M. Repair and retrofit with engineered cementitious composites. Eng. Fract. Mech. 2000, 65, 317–334. [Google Scholar] [CrossRef] [Green Version]
- Fischer, G.; Li, V.C. Effect of matrix ductility on deformation behavior of steel reinforced ECC flexural members under reversed cyclic loading conditions. ACI Struct. J. 2002, 99, 781–790. [Google Scholar]
- Zheng, Y.Z.; Wang, W.W.; Mosalam, K.M.; Zhu, Z.F. Mechanical behavior of ultra-high toughness cementitious composite strengthened with Fiber Reinforced Polymer grid. Compos. Struct. 2018, 184, 1–10. [Google Scholar] [CrossRef]
- Li, B.B.; Xiong, H.B.; Jiang, J.F.; Dou, X.X. Tensile behavior of basalt textile grid reinforced Engineering Cementitious Composite. Compos. Part B. 2019, 156, 185–200. [Google Scholar] [CrossRef]
- Zhang, W.; Deng, M.K.; Han, Y.G.; Li, R.Z.; Yang, S. Uniaxial tensile performance of high ductile fiber-reinforced concrete with built-in basalt textile grids. Constr. Build. Mater. 2021, 315, 125716. [Google Scholar] [CrossRef]
- Dai, J.G.; Bai, Y.L.; Teng, J.G. Behavior and modeling of concrete confined with FRP composites of large deformability. J. Compos. Constr. 2011, 15, 963–973. [Google Scholar] [CrossRef]
- Huang, L.; Zhang, S.S.; Yu, T.; Wang, Z.Y. Compressive behaviour of large rupture strain FRP-confined concrete-encased steel columns. Constr. Build. Mater. 2018, 183, 513–522. [Google Scholar] [CrossRef]
- Han, Q.; Yuan, W.Y.; Ozbakkaloglu, T.; Bai, Y.L.; Du, X. Compressive behavior for recycled aggregate concrete confined with recycled polyethylene naphthalate/terephthalate composites. Constr. Build. Mater. 2020, 261, 120498. [Google Scholar] [CrossRef]
- Dai, J.G.; Lam, L.; Ueda, T. Seismic retrofit of square RC columns with polyethylene terephthalate (PET) fibre reinforced polymer composites. Constr. Build. Mater. 2012, 27, 206–217. [Google Scholar] [CrossRef]
- Yao, W.; Li, J.; Wu, K. Mechanical properties of hybrid fiber-reinforced concrete at low fiber volume fraction. Cem. Concr. Res. 2003, 33, 27–30. [Google Scholar] [CrossRef]
- Fu, C.; Guo, R.; Lin, Z.; Xia, H.; Yang, Y.; Ma, Q. Effect of nanosilica and silica fume on the mechanical properties and microstructure of lightweight engineered cementitious composites. Constr. Build. Mater. 2021, 298, 123788. [Google Scholar] [CrossRef]
- Fu, C.; Chen, M.; Guo, R.; Qi, R.Q. Green-Engineered Cementitious Composite Production with High-Strength Synthetic Fiber and Aggregate Replacement. Materials 2022, 15, 3047. [Google Scholar] [CrossRef] [PubMed]
- Rokugo, K. Recommendations for Design and Construction of High Performance Fiber Reinforced Cement Composites With Multiple Fine Cracks (HPFRCC); The Japan Society of Civil Engineering: Tokyo, Japan, 2008. [Google Scholar]
- Bolster, E.D.; Cuypers, H.; Itterbeeck, P.V.; Wastiels, J. Use of hypar-shell structures with textile reinforced cement matrix composites in lightweight constructions. Compos. Sci. Technol. 2009, 69, 1341–1347. [Google Scholar] [CrossRef]
- Peled, A.; Bentur, A. Fabric structure and its reinforcing efficiency in textile reinforced cement composites. Compos. Part A 2003, 34, 107–118. [Google Scholar] [CrossRef]
- Cuypers, H.; Wastiels, J. A stochastic cracking theory for the introduction of matrix multiple cracking in textile reinforced concrete under tensile loading. In Finds and Results from the Swedish Cyprus Expedition: A Gender Perspective at the Medelhavsmuseet; RILEM: Paris, France, 2006; pp. 193–202. [Google Scholar]
- Barhum, R.; Mechtcherine, V. Effect of short, dispersed glass and carbon fibres on the behaviour of textile-reinforced concrete under tensile loading. Eng. Fract. Mech. 2012, 92, 56–71. [Google Scholar] [CrossRef]
- Barhum, R.; Mechtcherine, V. Influence of short dispersed and short integral glass fibres on the mechanical behaviour of textile-reinforced concrete. Mater. Struct. 2013, 46, 557–572. [Google Scholar] [CrossRef]
- Contamine, R.; Larbi, A.S.; Hamelin, P. Contribution to direct tensile testing of textile reinforced concrete (TRC) composites. Mater. Sci. Eng. 2011, 528, 8589–8598. [Google Scholar] [CrossRef]
- Liu, D.J.; Huang, H.W.; Zuo, J.P.; Duan, K.; Xue, Y.D.; Li, Y.J. Experimental and numerical study on short eccentric columns strengthened by textile-reinforced concrete under sustaining load. J. Reinf. Plast. Compos. 2017, 36, 1712–1726. [Google Scholar] [CrossRef]
- Larrinaga, P.; Chastre, C.; San-José, J.T.; Garmendia, L. Non-linear analytical model of composites based on basalt textile reinforced mortar under uniaxial tension. Compos. Part B 2013, 55, 518–527. [Google Scholar] [CrossRef]
- Dvorkin, D.; Poursaee, A.; Peled, A.; Weiss, W.J. Influence of bundle coating on the tensile behavior, bonding, cracking and fluid transport of fabric cement-based composites. Cem. Concr. Compos. 2013, 42, 9–19. [Google Scholar] [CrossRef]
- Peled, A.; Bentur, A. Geometrical characteristics and efficiency of textile fabrics for reinforcing cement composites. Cem. Concr. Res. 2000, 30, 781–790. [Google Scholar] [CrossRef]
- Portal, N.W.; Perez, I.F.; Thrane, L.N.; Lundgren, K. Pull-out of textile reinforcement in concrete. Constr. Build. Mater. 2014, 71, 63–71. [Google Scholar] [CrossRef] [Green Version]
- Peled, A.; Cohen, Z.; Pasder, Y.; Roye, A.; Gries, T. Influences of textile characteristics on the tensile properties of warp knitted cement based composites. Cem. Concr. Compos. 2008, 30, 174–183. [Google Scholar] [CrossRef]
- Meng, D.; Huang, T.; Zhang, Y.X.; Lee, C.K. Mechanical behaviour of a polyvinyl alcohol fibre reinforced engineered cementitious composite (PVA-ECC) using local ingredients. Constr. Build. Mater. 2017, 141, 259–270. [Google Scholar] [CrossRef]


















| Types | PP-1 | PP-2 | BFRP-F | BFRP-T-1 | BFRP-T-2 | BFRP-T-3 |
|---|---|---|---|---|---|---|
| Textile size | 30 mm | 30 mm | 25 mm | 50 mm | 50 mm | 50 mm |
| Cross-section area | 4.76 mm2 | 1.59 mm2 | 1.47 mm2 | 7.95 mm2 | 13.86 mm2 | 23.32 mm2 |
| Specimen ID a | Reinforcement Rate (%) | Material Types | Textile Grid Plies |
|---|---|---|---|
| PP-1-1.30 | 1.30 | PP textile | 1 |
| PP-2-1.30 | 1.30 | PP textile | 2 |
| PP-3-1.30 | 1.30 | PP textile | 3 |
| PP-2-2.41 | 2.41 | PP textile | 2 |
| PP-3-4.82 | 4.82 | PP textile | 3 |
| BF-1-0.42 | 0.42 | BFRP textile | 1 |
| BF-2-0.84 | 0.84 | BFRP textile | 2 |
| BF-3-1.29 | 1.29 | BFRP textile | 3 |
| BT-1-1.30 | 1.30 | BFRP grid | 1 |
| BT-1-2.70 | 2.70 | BFRP grid | 1 |
| BT-1-4.21 | 4.21 | BFRP grid | 1 |
| Cracking Stress (MPa) | Cracking Strain (%) | Ultimate Stress (MPa) | Ultimate Strain (%) |
|---|---|---|---|
| 5.5 MPa | 0.037% | 8.8 MPa | 7.8% |
| Cement | Fly Ash | Nanosilica | Fly Ash Cenospheres | Water | Superplasticizer | PE Fiber |
|---|---|---|---|---|---|---|
| 874 | 391.5 | 39 | 195.8 | 238.7 | 91.7 | 20 |
| Material Types | Ultimate Tension (KN) | Young’s Elastic Modulus (GPa) | Ultimate Stress (MPa) | Ultimate Strain (%) |
|---|---|---|---|---|
| PP | 0.646 | - | 102.17 | 12.14 |
| BFRP-T | 5.068 | 18.2 | 365.65 | 2.01 |
| BFRP-F | 1.061 | 25.5 | 719.56 | 2.82 |
Publisher’s Note: MDPI stays neutral with regard to jurisdictional claims in published maps and institutional affiliations. |
© 2022 by the authors. Licensee MDPI, Basel, Switzerland. This article is an open access article distributed under the terms and conditions of the Creative Commons Attribution (CC BY) license (https://creativecommons.org/licenses/by/4.0/).
Share and Cite
Chen, M.; Deng, X.; Guo, R.; Fu, C.; Zhang, J. Tensile Experiments and Numerical Analysis of Textile-Reinforced Lightweight Engineered Cementitious Composites. Materials 2022, 15, 5494. https://doi.org/10.3390/ma15165494
Chen M, Deng X, Guo R, Fu C, Zhang J. Tensile Experiments and Numerical Analysis of Textile-Reinforced Lightweight Engineered Cementitious Composites. Materials. 2022; 15(16):5494. https://doi.org/10.3390/ma15165494
Chicago/Turabian StyleChen, Mingzhao, Xudong Deng, Rongxin Guo, Chaoshu Fu, and Jiuchang Zhang. 2022. "Tensile Experiments and Numerical Analysis of Textile-Reinforced Lightweight Engineered Cementitious Composites" Materials 15, no. 16: 5494. https://doi.org/10.3390/ma15165494
APA StyleChen, M., Deng, X., Guo, R., Fu, C., & Zhang, J. (2022). Tensile Experiments and Numerical Analysis of Textile-Reinforced Lightweight Engineered Cementitious Composites. Materials, 15(16), 5494. https://doi.org/10.3390/ma15165494

